گلوكوز
گلوكوز Glucose | |
---|---|
![]() ![]() ![]() | |
الاسم الكيميائي | 6-(hydroxymethyl)oxane-2,3,4,5-tetrol |
مرادفات D-glucose | dextrose |
تنوعات D-glucose | α-D-glucose; β-D-glucose |
اختصارات | Glc, CHO |
الصيغة الكيميائية | C6H12O6 |
الكتلة الجزيئية | 180.16 g mol−1 |
نقطة الانصهار | α-D-glucose: 146°C β-D-glucose: 150°C |
الكثافة | 1.54 g cm−3 |
CAS number | 50-99-7 (D-glucose) |
CAS number | 921-60-8 (L-glucose) |
SMILES | C(C1C(C(C(C(O1)O)O)O)O)O |
القيم الاكلينيكية العادية | blood 75-115 mg/dl, urine 50-300 mg/24 hr.[1] |
الگلوكوز Glucose (Glc), سكر أحادي monosaccharide (أو سكر بسيط), هو من النشويات الهامة في علم الأحياء. الخلية تستعمله كمصدر للطاقة وكوسيط أيضي. والگلوكوز هو أحد المنتجات الرئيسية في عملية التمثيل الضوئي وتبدأ التنفس الخلوي في كل من أوليات النوى Prokaryotes و حقيقيات النوى Eukaryotes. الاسم مشتق من (باليونانية: glykys (γλυκύς)), والتي تعني "حلو", بالاضافة إلى اللاحقة "-اوز ose" والتي تعني نشوي carbohydrate.
مصاوغان isomer اثنان من سكريات ألدوهكسوز aldohexose يُعرفان باسم گلوكوز, فقط واحد منهما (D-glucose) هو النشط بيولوجياً. هذه الصيغة (D-glucose) غالباً ما تُسمى باسم دكستروز dextrose (مونوهيدرات الدكستروز dextrose monohydrate), خاصة في الصناعات الغذائية. هذه المقالة تتعامل مع صيغة D- من الگلوكوز. الشكل المتطابق (بالمرآة) لجزيء , L-glucose, لا يمكن للخلايا استعماله.
گلوكوز يتواجد على نطاق واسع على هيئة مادة بيضاء أو كبلورات صلبة. ويمكن كذلك العثور عليه بكثرة على هيئة محلول مائي aqueous solution.
والجلوكوز هو أحد أنواع السكر، ويطلق عليه أحيانًا سكر العنب. والجلوكوز من منتجات التركيب الضوئي في النبات الأخضر، وهو عنصر الطاقة الأساسي لمعظم الكائنات الحية بما فيها الإنسان. ويحتوي العسل وبعض الفواكه كالتين والعنب، على نسبة عالية من الجلوكوز. لون الجلوكوز النقي أبيض بلوري. تبلغ حلاوته ثلاثة أرباع حـلاوة السكروز أو السكـر الـعـادي. وصيغته الكيميــائية C6H12O 6. ينتمي الجلوكوز إلى مجموعة الكربوهيدرات الغذائية، وهو أكثر أحاديات السكريد أو المواد الكربوهيدراتية وفرة. ويمتصه الدم مباشرة من الأمعاء، بسبب تركيبه البسيط، أما المواد الكربوهيدراتية المعقدة، مثل السكروز والنشاء، فيتم تحليلها إلى أحاديات السكريد قبل أن يتمكن الدم من امتصاصها.
التركيب الكيميائي
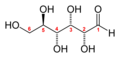
الگلوكوز (C6H12O6) يحتوي ست ذرات كربون و an aldehyde group and is therefore referred to as an aldohexose. جزيء الگلوكوز يمكن أن يتواجد في شكل سلسلة مفتوحة (غير حلقية acyclic) وشكل حلقي (cyclic) (في وضع الاتزان), الشكل الأخير هو نتيجة تفاعل داخل الجزيء بين the aldehyde C atom and the C-5 hydroxyl group to form an intramolecular hemiacetal. In water solution both forms are in equilibrium, and at pH 7 the cyclic form is predominant. As the ring contains five carbon atoms and one oxygen atom, which resembles the structure of pyran, the cyclic form of glucose is also referred to as glucopyranose. In this ring, each carbon is linked to a hydroxyl side group with the exception of the fifth atom, which links to a sixth carbon atom outside the ring, forming a CH2OH group.
مصاوغات
مقارِبات
إنتاجه
طبيعياً
- الگلوكوز هو أحد منتجات التمثيل الضوئي في النبات وبعض prokaryotes.
- في الحيوانات والفطريات, الگلوكوز هو ناتج تكسر glycogen, وهي عملية تعرف باسم glycogenolysis. In plants - the breakdown substrate is starch.
- In animals, glucose is synthesized in the liver and kidneys from non-carbohydrate intermediates, such as pyruvate and glycerol, by a process known as gluconeogenesis.
تجارياً
يتم إنتاج الجلوكوز تجاريًا عن طريق معالجة النشاء بحمض تحت ضغط البخار، حيث ينتج الدكستروز إذا تحول جميعه إلى جلوكوز. أما إذا لم يكن التحول كاملاً، وكان الناتج مزيجًا من الجلوكوز وأنواع أخرى من السكر، سُمي الناتج رب سكر الذرة. ويدخل الدكستروز ورب سكر الذرة في تشكيلة كبيرة من المواد الغذائية والمشروبات، مثل أنواع الخبز، والحلويات والفواكه المعلبة، والمرطبات. [2]
الگلوكوز في تحلل السكر
| ||||||||||||||||||||
Compound C00031 at KEGG Pathway Database. Enzyme 2.7.1.1 at KEGG Pathway Database. Compound C00668 at KEGG Pathway Database. Reaction R01786 at KEGG Pathway Database. |
التمثيل الغذائي
تبلغ نسبة الجلوكوز في الدم 0,1%، وتزيد هذه النسبة بعد الوجبات الغنية بالكربوهيدرات، وتبقى أعلى من المعدل الطبيعي لفترة قصيرة، حيث يتم استبعاد الجلوكوز الزائد من الدم وتخزينه في الكبد والعضلات في شكل مادة كربوهيدراتية معقدة تسمى الجليكوجين.
يتحول الجليكوجين إلى جلوكوز عند الحاجة السريعة إلى الطاقة. وعند امتلاء الأماكن المخصصة لتخزين الجليكوجين يتم تحويل الجلوكوز الزائد إلى دهون.
وتكون استفادة خلايا الجسم من الجلوكوز دون الكفاءة المطلوبة عند الإصابة بمرض الداء السكري، حيث تكون كمية الجلوكوز في الدم فوق المعدل العادي. وعندما يمر الدم من الكلية، يمر بعض الجلوكوز الزائد مع البول، ويتم تحليل البول لمعرفة وجود الجلوكوز فيه عند إجراء الفحص لمعرفة وجود الداء السكري.
معرض الصور
The Fischer projection of the chain form of D-glucose Chain form: ball-and-stick model Chain form: space-filling model
انظر أيضاً
- گلوكوز الدم أو سكر الدم
- HbA1c
- DMF (potential glucose-based biofuel)
- Glycation
- Glycosylation
- تمثيل ضوئي
- فركتوز
وصلات خارجية

- EINECS number 200-075-1 (D-glucose)
- EINECS number 213-068-3 (L-glucose)
- CID 5793 from PubChem (D-glucose)
- CID 206 from PubChem (L-glucose)
- More on the chemistry and function of glucose in biology at EvoWiki
- Computational Chemistry Wiki
المصادر
- ^ Devlin, D. (2006). Textbook of biochemistry with clinical correlations. Wiley-Liss. p. 1208. ISBN 978-0-471-67808-3.
- ^ الموسوعة المعرفية الشاملة
|