بطارية المركبة الكهربائية
بطارية المركبة الكهربائية (إنگليزية: electric vehicle battery، اختصاراً EVB، أو بطارية السيارة الكهربائية أو بطارية الجر)، هي بطارية قابلة للشحن تستخدم لتشغيل المحركات الكهربائية في المركبات الكهربائية الخالصة (BEV) أو المركبات الكهربائية الهجينة (HEV).
تختلف بطاريات السيارات الكهربائية عن بطاريات بدء التشغيل والإضاءة والإشعال (SLI)، حيث أنها عادةً ما تكون بطاريات ليثيوم-أيون مصممة لتوفير نسبة القدرة إلى الوزن وكثافة طاقة عالية. من المستحسن استخدام بطاريات أصغر حجمًا وأخف وزنًا لأنها تقلل من وزن السيارة وبالتالي تحسن أدائها. بالمقارنة مع الوقود السائل، تتمتع معظم تقنيات البطاريات الحالية بطاقة محددة أقل بكثير، وهذا غالبًا ما يؤثر على المدى الأقصى للسيارات الكهربائية بالكامل. على عكس كيمياء البطاريات السابقة، ولا سيما بطاريات النيكل-كادميوم، يمكن تفريغ بطاريات الليثيوم-أيون وإعادة شحنها يوميًا وفي أي حالة شحن. تشمل الأنواع الأخرى من البطاريات القابلة لإعادة الشحن المستخدمة في السيارات الكهربائية الرصاص-الحمض، النيكل-كادميوم، نيكل-هيدريد الفلز، وغيرها.[1]
تشكل البطارية جزءًا كبيرًا من التكلفة والأثر البيئي للمركبة الكهربائية. وقد ولّد النمو في الصناعة الاهتمام بتأمين سلاسل توريد البطاريات الأخلاقية، والتي تمثل العديد من التحديات وأصبحت قضية جيوسياسية هامة. اعتبارًا من 2019، انخفضت تكلفة بطاريات المركبات الكهربائية بنسبة 87% منذ عام 2010 لكل كيلووات/ساعة.[2] اعتباراً من 2018، كانت المركبات ذات النطاق الكهربائي بالكامل سرعات تزيد عن 400 كم، مثل تسلا موديل إس، متوافرة.[3]
يمثل سعر الكهرباء لتشغيل المركبة الكهربائية جزءًا صغيرًا من تكلفة الوقود لمحركات الاحتراق الداخلي المكافئة، مما يعكس ارتفاع كفاءة الطاقة.
أنواع بطاريات المركبات الكهربائية

الرصاص-الحمض
تعد بطاريات الرصاص-الحمض المغمورة بالمياه هي أقدم بطاريات المركبات المتوفرة وأرخصها وأكثرها شيوعًا في الماضي. هناك نوعان رئيسيان من بطاريات الرصاص-الحمض: بطاريات بدء تشغيل محرك السيارات، وبطاريات الدورة العميقة. تم تصميم بطاريات تشغيل محرك السيارات لاستخدام نسبة صغيرة من قدرتها لتوفير معدلات شحن عالية لبدء تشغيل المحرك، بينما تُستخدم بطاريات الدورة العميقة لتوفير الكهرباء المستمرة لتشغيل المركبات الكهربائية مثل الرافعات الشوكية أو عربات الجولف. تُستخدم بطاريات الدورة العميقة أيضًا كبطاريات مساعدة في المركبات الترفيهية، ولكنها تتطلب شحنًا مختلفًا ومتعدد المراحل.[4] يجب عدم تفريغ بطارية الرصاص-الحمض لأقل من 50% من سعتها، حيث أن ذلك يقلل من عمر البطارية.[4] تتطلب البطاريات المغمورة بالمياه فحص مستويات الإلكتروليت واستبدال الماء من حين لآخر، والذي ينطلق غازًا أثناء دورة الشحن العادية.
في السابق، كانت معظم السيارات الكهربائية تستخدم بطاريات الرصاص-الحمض نظرًا لتقنيتها الناضجة وتوافرها العالي وتكلفتها المنخفضة، مع استثناء ملحوظ لبعض السيارات الكهربائية التي تعمل بالبطارية في وقت مبكر، مثل دترويت إلكتريك التي استخدمت بطارية النيكل-حديد. تعد بطاريات الرصاص ذات الدورة العميقة باهظة الثمن ولها عمر افتراضي أقصر من عمر السيارة نفسها، وعادةً ما تحتاج إلى الاستبدال كل 3 سنوات.
ينتهي الأمر ببطاريات الرصاص-الحمض المستخدمة في تطبيقات المركبات الكهربائية إلى أن تمثل جزءًا كبيرًا (25-50%) من الكتلة النهائية للمركبة. مثل جميع البطاريات، تحتوي على طاقة نوعية أقل بكثير من الوقود البترولي - في هذه الحالة، 30-50 وات/ساعة/كجم. في حين أن الفرق ليس شديدًا كما يبدو للوهلة الأولى بسبب مجموعة القيادة الأخف وزنًا في السيارة الكهربائية، فحتى أفضل البطاريات تميل إلى أن تؤدي إلى كتل أعلى عند تطبيقها على المركبات ذات النطاق الطبيعي. تتناقص الكفاءة (70-75%) والقدرة التخزينية للجيل الحالي من بطاريات الرصاص الحمضية ذات الدورة العميقة الشائعة مع انخفاض درجات الحرارة، كما أن تحويل الطاقة لتشغيل ملف التسخين يقلل من الكفاءة والمدى بنسبة تصل إلى 40%.[بحاجة لمصدر]
يؤدي شحن البطاريات وتشغيلها عادةً إلى انبعاث الهيدروجين، الأكسجين والكبريت، والذي يحدث بشكل طبيعي ويكون غير ضار عادةً إذا تم تهويتها بشكل صحيح. اكتشف أصحاب سيتي كار الأوائل أنه إذا لم يتم تهويتها بشكل صحيح، فإن روائح الكبريت الكريهة سوف تتسرب إلى المقصورة مباشرة بعد الشحن.
تعمل بطاريات الرصاص-الحمض على تشغيل السيارات الكهربائية الحديثة المبكرة مثل الإصدارات الأصلية من EV1.
النيكل-هيدريد الفلك
تعتبر بطاريات النيكل-هيدريد الفلز (NiMH) اليوم تقنية ناضجة نسبياً.[5] على الرغم من أنها أقل كفاءة (60-70%) في الشحن والتفريغ حتى من حمض الرصاص، إلا أنها تتمتع بطاقة محددة تبلغ 30-80 واط ساعة/كجم، وهي أعلى بكثير من بطارية الرصاص-الحمض. عند استخدامها بشكل صحيح، يمكن أن تتمتع بطاريات النيكل-هيدريد الفلز بعمر طويل بشكل استثنائي، كما ثبت في استخدامها في السيارات الهجينة وفي الجيل الأول من سيارات تويوتا راڤ فور الباقية والتي لا تزال تعمل بشكل جيد بعد السير لمسافة 160.000 كم وأكثر من سنوات من الخدمة. تشمل الجوانب السلبية ضعف الكفاءة، والتفريغ الذاتي العالي، ودورات الشحن الدقيقة للغاية، والأداء الضعيف في الطقس البارد.
أنتجت جي إم أوڤاينك بطارية النيكل-هيدريد الفلز المستخدمة في الجيل الثاني من EV-1، وتصنع Cobasys بطارية متطابقة تقريبًا (عشر خلايا بطارية النيكل-هيدريد الفلز بقوة 1.2 ڤولت، 85 أمبير/الساعة متسلسلة على النقيض من إحدى عشرة خلية لبطارية أوڤاينك). لقد نجح هذا بشكل جيد جدًا في EV-1.[6] حد عبء براءات الاختراع من استخدام هذه البطاريات في السنوات الأخيرة.
بطارية زبرا
تستخدم بطارية كلوريد النيكل-الصوديوم أو بطارية "زبرا" ملحًا منصهرًا كلوروألومينات الصوديوم (NaAlCl4) باعتباره إلكتروليت. تتمتع بطارية زبرا، وهي تقنية ناضجة نسبيًا، بطاقة محددة تبلغ 120 وات/ساعة/كجم. وبما أنه يجب تسخين البطارية للاستخدام، فإن الطقس البارد لا يؤثر بشدة على تشغيلها باستثناء زيادة تكاليف التدفئة. لقد تم استخدامها في العديد من المركبات الكهربائية مثل مركبات مودك التجارية.[7] يمكن أن تدوم بطاريات زبرا لبضعة آلاف من دورات الشحن وهي غير سامة. تشمل الجوانب السلبية لبطارية زبرا ضعف الطاقة النوعية (<300 واط/كجم) ومتطلبات الاضطرار إلى تسخين الإلكتروليت لحوالي 260 درجة مئوية، مما يهدر بعض الطاقة، ويمثل صعوبات على المدى الطويل تخزين الشحنة، ومن المحتمل أن يشكل خطرًا.
الليثيوم-أيون
تم تطوير بطاريات الليثيوم-أيون (وبطاريات الليثيوم بوليمر المماثلة ميكانيكيًا) في البداية وتسويقها تجاريًا لاستخدامها في أجهزة الحاسوب المحمولة والأجهزة الإلكترونية الاستهلاكية. بفضل كثافة الطاقة العالية ودورة الحياة الطويلة، أصبحت نوع البطارية الرائد للاستخدام في المركبات الكهربائية. كانت أول كيمياء أيون الليثيوم تجاريًا عبارة عن مهبد أكسيد كوبالت الليثيوم ومصعد الجرافيت التي عرضها لأول مرة ن. جودشال عام 1979، وبواسطة جون گودِنـَف، وأكيرا يوشينو بعد ذلك بوقت قصير.[8][9][10][11] يشمل الجانب السلبي لبطاريات الليثيوم-أيون التقليدية الحساسية لدرجة الحرارة، وأداء الطاقة في درجات الحرارة المنخفضة، وتدهور الأداء مع تقدم العمر.[12] نظرًا لتطاير الشوارد العضوية، ووجود أكاسيد فلزية عالية الأكسدة، وعدم الاستقرار الحراري لطبقة المصعد SEI، تشكل بطاريات الليثيوم-أيون التقليدية خطرًا على السلامة من الحرائق إذا تم ثقبها أو شحنها بشكل غير صحيح.[13] لم تكن هذه الخلايا المبكرة تقبل الشحن أو توفره عندما تكون شديدة البرودة، ولذلك قد تكون السخانات ضرورية في بعض المناخات لتدفئتها. نضج هذه التكنولوجيا معتدل. استخدمت تسلا رودستر (2008) وغيرها من السيارات التي تنتجها الشركة شكلاً معدلاً من خلايا "بطارية الحاسوب المحمول" التقليدية المصنوعة من الليثيوم-أيون.
تستخدم المركبات الكهربائية الحديثة اختلافات جديدة في كيمياء الليثيوم-أيون التي تضحي بطاقة محددة وقوة محددة لتوفير مقاومة الحريق، والصداقة للبيئة، والشحن السريع (بسرعة تصل إلى بضع دقائق)، وعمر أطول. لقد ثبت أن هذه المتغيرات (الفوسفات، والتيتانات، والإسبنيل، وما إلى ذلك) تتمتع بعمر أطول بكثير، حيث تدوم أنواع A123 التي تستخدم فوسفات الليثيوم حديد أكثر من 10 سنوات على الأقل وأكثر من 7000 دورة شحن/تفريغ،[14] وتتوقع LG Chem أن تدوم بطارياتها سبنيل الليثيوم-منجنيز لمدة تصل إلى 40 عامًا.[بحاجة لمصدر]
يتم إنجاز الكثير من العمل على بطاريات الليثيوم-أيون في المختبر.[15] لقد شق أكسيد الڤاناديوم الليثيوم طريقه بالفعل إلى النموذج الأولي سوبارو G4e، مما أدى إلى مضاعفة كثافة الطاقة.[بحاجة لمصدر] كانت أسلاك السليكون النانوية،[16][17] جسيمات السليكون النانوية،[18] وجسيمات القصدير النانوية[19][20] واعدة بكثافة طاقة أكبر بعدة مرات، في المصعد، بينما المهابط الشبكية المركبة [مطلوب توضيح] [21][22] والفائقة[23] تبشر أيضًا بتحسينات كبيرة في الكثافة.
أظهرت بيانات جديدة أن التعرض للحرارة واستخدام الشحن السريع يعززان تدهور بطاريات الليثيوم-أيون أكثر من العمر والاستخدام الفعلي، وأن متوسط بطارية السيارة الكهربائية ستحتفظ بنسبة 90% من سعتها الأولية بعد ست سنوات وستة أشهر. بالخدمة. على سبيل المثال، سوف تتحلل البطارية في سيارة نيسان ليف بسرعة مضاعفة مقارنة بالبطارية في سيارة تسلا، لأن سيارة ليف لا تحتوي على نظام تبريد نشط لبطاريتها.[24]
قدرة البطارية
تتمتع السيارات الهجينة غير المزودة بقابس بسعات بطارية تتراوح بين 0.65 كيلووات/ساعة (2012 هوندا سيڤيد هايبرد) و1.8 كيلووات/ساعة (2001 تويوتا پريوس).
تتمتع السيارات الهجينة القابلة للشحن بقدرات بطارية تتراوح بين 4.4 كيلووات/الساعة (Toyota Prius Plug-in Hybrid) عام 2012 و40.6 كيلووات/الساعة (لي أوتو وان).
تتمتع جميع السيارات الكهربائية بسعات بطارية تتراوح بين 6.0 كيلووات/الساعة (رينو تويزي 2012) و212.7 كيلووات/الساعة (2022 GMC Hummer EV.[25]).
سلسلة الإمداد
دورة حياة البطاريات المعتمدة على الليثيوم

هناك أربع مراحل أساسية خلال دورة حياة بطاريات السيارات الكهربائية المعتمدة على الليثيوم: مرحلة المواد الخام، ومرحلة تصنيع البطارية، ومرحلة التشغيل، ومرحلة إدارة نهاية العمر الافتراضي. كما هو موضح في الرسم التخطيطي لدورة حياة بطاريات السيارات الكهربائية، خلال المرحلة الأولى، يتم استخراج المواد الأرضية النادرة في أجزاء مختلفة من العالم. وبعد أن يتم تكريرها من قبل مصانع المعالجة المسبقة، تتولى شركات تصنيع البطاريات هذه المواد وتبدأ في إنتاج البطاريات وتجميعها في عبوات. بعد ذلك تُرسل حزم البطاريات هذه إلى شركات تصنيع السيارات لدمج المركبات الكهربائية. في المرحلة الأخيرة، إذا لم تكن هناك إدارة، فمن المحتمل أن يتم إهدار المواد القيمة الموجودة في البطاريات. ستحاول مرحلة الإدارة الجيدة لنهاية العمر إغلاق الحلقة. سيعاد استخدام حزم البطاريات المستخدمة كمخزن ثابت أو إعادة تدويرها اعتمادًا على حالة البطارية الصحية (SOH).[26]
إن دورة حياة البطارية طويلة نوعًا ما وتتطلب تعاونًا وثيقًا بين الشركات والبلدان. حاليًا، مرحلة المواد الخام ومرحلة تصنيع البطارية وتشغيلها راسخة. وتواجه مرحلة إدارة نهاية العمر صعوبات في النمو، وخاصة عملية إعادة التدوير لأسباب اقتصادية بشكل رئيسي. على سبيل المثال، تم جمع 6% فقط من بطاريات الليثيوم-أيون لإعادة تدويرها في الفترة 2017-2018 في أستراليا.[27]
ومع ذلك، فإن إغلاق الحلقة هام للغاية. ليس فقط بسبب النقص المتوقع في إمدادات النيكل والكوبالت والليثيوم في المستقبل، فإن إعادة تدوير بطاريات السيارات الكهربائية لديها القدرة على تعظيم الفوائد البيئية. شو وآخرون. توقع أنه في سيناريو التنمية المستدامة، سيصل الليثيوم والكوبالت والنيكل إلى كمية الاحتياطيات المعروفة أو تتجاوزها في المستقبل إذا لم يعاد التدوير.[28] وجد سيز وويتاكر أنه من خلال نشر إعادة تدوير البطاريات، يمكن تجنب بعض انبعاثات الغازات الدفيئة (GHG) الناتجة عن التعدين.[29]

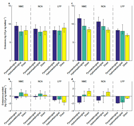
لتطوير فهم أعمق لدورة حياة بطاريات السيارات الكهربائية، من المهم تحليل الانبعاثات المرتبطة بالمراحل المختلفة. وباستخدام الخلايا الأسطوانية NMC كمثال، وجد سييز وويتاكر أن حوالي 9 كجم من بطارية CO2e kg −1 تنبعث أثناء المعالجة المسبقة للمواد الخام وتصنيع البطاريات في ظل متوسط شبكة الكهرباء في الولايات المتحدة. وجاء الجزء الأكبر من الانبعاثات من إعداد المواد وهو ما يمثل أكثر من 50% من الانبعاثات. إذا استخدمت خلية الحقيبة NMC، فإن إجمالي الانبعاثات يزيد إلى ما يقرب من 10 كجم منCO2e kg battery−1 بينما لا يزال تصنيع المواد يساهم بأكثر من 50% من الانبعاثات.[29] أثناء مرحلة إدارة نهاية العمر الافتراضي، تضيف عملية التجديد القليل من الانبعاثات إلى انبعاث دورة الحياة. من ناحية أخرى، فإن عملية إعادة التدوير، كما اقترحها سييز وويتاكر، تبعث كمية كبيرة من غازات الدفيئة. كما هو موضح في مخطط انبعاث إعادة تدوير البطارية (أ) و(ج)، يختلف انبعاث عملية إعادة التدوير باختلاف عمليات إعادة التدوير والكيمياء المختلفة وعامل الشكل المختلف. في لمحة سريعة، كما هو موضح في الرسم البياني ب و د، فإن عملية إعادة التدوير المباشرة هي العملية الأكثر مثالية لإعادة تدوير بطاريات الخلايا الحقيبةية، في حين أن عملية التعدين المائي هي الأكثر ملاءمة للبطارية من النوع الأسطواني. ومع ذلك، مع ظهور أشرطة الخطأ، لا يمكن اختيار النهج الأفضل بثقة. ومن الجدير بالذكر أنه بالنسبة لكيمياء فوسفات الحديد الليثيوم (LFP)، فإن صافي الفائدة سلبي. نظرًا لأن خلايا LFP تفتقر إلى الكوبالت والنيكل، وهي غالية الثمن وتستهلك الكثير من الطاقة لإنتاجها، فهي أكثر كفاءة من حيث الطاقة في التعدين. بشكل عام، بالإضافة إلى تعزيز نمو قطاع واحد، ينبغي بذل جهد أكثر تكاملاً للحد من انبعاثات دورة حياة بطاريات السيارات الكهربائية. من الواضح أن إجمالي العرض المحدود من المواد الأرضية النادرة يمكن أن يبرر الحاجة إلى إعادة التدوير. لكن الفوائد البيئية لإعادة التدوير تحتاج إلى تدقيق أكثر دقة. واستنادًا إلى تكنولوجيا إعادة التدوير الحالية، تعتمد الفائدة الصافية لإعادة التدوير على عوامل الشكل والكيمياء وعملية إعادة التدوير المختارة.
التصنيع
هناك ثلاث مراحل أساسية أثناء عملية تصنيع بطاريات المركبات الكهربائية: تصنيع المواد، وتصنيع الخلايا، والتكامل، كما هو موضح في الرسم البياني لعملية تصنيع بطاريات المركبات الكهربائية باللون الرمادي والأخضر والبرتقالي على التوالي. لا تتضمن هذه العملية الموضحة تصنيع الأجهزة الخلوية، مثل الأغلفة ومجمعات التيار. أثناء عملية تصنيع المواد، يتم أولاً خلط المادة الفعالة، وإضافات التوصيل، ومادة البوليمر الرابطة والمذيبات. بعد ذلك، يتم تغليفها على المجمعات الحالية الجاهزة لعملية التجفيف. خلال هذه المرحلة، تعتمد طرق صنع المواد الفعالة على الإلكتروليت والكيمياء. بالنسبة للمهبط، اثنان من الكيمياء الأكثر شعبية هما أكاسيد المعادن الانتقالية، أي أكاسيد الكوبالت والمنجنيز الليثيوم (Li-NMC) وفوسفات معدن الليثيوم، أي فوسفات حديد الليثيوم (LFP). بالنسبة للمصعد، الكيمياء الأكثر شعبية الآن هي الجرافيت. ومع ذلك، في الآونة الأخيرة، بدأت العديد من الشركات في تصنيع مهبط السليكون المختلط (سيلا نانوتك، ProLogium) ومهبط سيليكون-فلز (كوبرگ، Solid Power). بشكل عام، لإنتاج المواد الفعالة، هناك ثلاث خطوات: إعداد المواد، ومعالجة المواد وصقلها. شموتش وآخرون. ناقش تصنيع المواد بمزيد من التفاصيل.[30]
في مرحلة تصنيع الخلية، ستتم معالجة القطب المجهز بالشكل المطلوب لتغليفه بشكل أسطواني أو مستطيل أو كيس. ثم بعد ملء الشوارد الكهربائية وإغلاق الخلايا، يتم تدوير خلايا البطارية بعناية لتكوين SEI لحماية الأنود. بعد ذلك، يتم تجميع هذه البطاريات في عبوات جاهزة لدمجها في السيارة. كواد وآخرون. ناقش عملية تصنيع البطارية الشاملة بمزيد من التفصيل.
إعادة الاستخدام وإعادة التخصيص
عندما تتدهور مجموعة بطارية المركبة الكهربائية إلى 70% إلى 80% من سعتها الأصلية، فإنها تصل إلى نهاية العمر الافتراضي. إحدى طرق إدارة النفايات هي إعادة استخدام العبوة. ومن خلال إعادة استخدام الحزمة للتخزين الثابت، يمكن استخلاص المزيد من القيمة من حزمة البطارية مع تقليل تأثير دورة الحياة لكل كيلووات/الساعة. ومع ذلك، فإن تمكين عمر البطارية الثاني ليس بالأمر السهل. هناك العديد من التحديات التي تعيق تطوير صناعة تجديد البطاريات.
أولاً، يحدث تدهور غير متساوٍ وغير مرغوب فيه في البطارية أثناء تشغيل السيارة الكهربائية. يمكن أن تتحلل كل خلية بطارية بشكل مختلف أثناء التشغيل. حاليًا، يمكن استخراج معلومات الحالة الصحية (SOH) من نظام إدارة البطارية (BMS) على مستوى العبوة. يتطلب الحصول على حالة المعلومات الصحية للخلية الجيل التالي من BMS. بالإضافة إلى ذلك، نظرًا لأن الكثير من العوامل يمكن أن تساهم في انخفاض SOH في نهاية العمر، مثل درجة الحرارة أثناء التشغيل ونمط الشحن/التفريغ وتدهور التقويم، فقد تكون آلية التدهور مختلفة. وبالتالي، فإن مجرد معرفة SOH لا يكفي لضمان جودة العبوة المجددة. ولحل هذا التحدي، يمكن للمهندسين التخفيف من التدهور من خلال هندسة الجيل التالي من نظام الإدارة الحرارية. لفهم التدهور داخل البطارية بشكل كامل، يجب أن تعمل الأساليب الحسابية بما في ذلك طريقة المبدأ الأول والنموذج القائم على الفيزياء والطريقة القائمة على التعلم الآلي معًا لتحديد أوضاع التدهور المختلفة وتحديد مستوى التدهور بعد العمليات الشديدة. وأخيرًا، يجب استخدام أدوات أكثر كفاءة لخصائص البطارية، على سبيل المثال، التحليل الطيفي للمقاومة الكهروكيميائية (EIS) لضمان جودة حزمة البطارية.[31][32]

ثانياً، يعد تفكيك الوحدات والخلايا أمراً مكلفاً ويستغرق وقتاً طويلاً. بعد النقطة الأخيرة، الخطوة الأولى هي اختبار لتحديد SOH المتبقية من وحدات البطارية. يمكن أن تختلف هذه العملية لكل نظام متقاعد. بعد ذلك، يجب تفريغ الوحدة بالكامل. بعد ذلك، يجب تفكيك العبوة وإعادة تكوينها لتلبية متطلبات الطاقة والطاقة لتطبيق الحياة الثانية. ومن المهم ملاحظة أن هناك حاجة إلى عمال مؤهلين وأدوات متخصصة لتفكيك بطاريات السيارات الكهربائية ذات الوزن العالي والجهد العالي. إلى جانب الحلول التي تمت مناقشتها في القسم السابق، يمكن لشركة التجديد بيع أو إعادة استخدام الطاقة المفرغة من الوحدة لتقليل تكلفة هذه العملية. لتسريع عملية التفكيك، كانت هناك عدة محاولات لدمج الروبوتات في هذه العملية. وفي هذه الحالة، يمكن للروبوتات القيام بمهام أكثر خطورة مما يزيد من سلامة عملية التفكيك.[31][33]
ثالثا، تكنولوجيا البطاريات غير شفافة وتفتقر إلى المعايير. نظرًا لأن تطوير البطارية هو الجزء الأساسي من السيارة الكهربائية، فمن الصعب على الشركة المصنعة تحديد الكيمياء الدقيقة للكاثود والأنود والإلكتروليتات على العبوة. بالإضافة إلى ذلك، تتغير سعة وتصميم الخلايا والعبوات على أساس سنوي. تحتاج شركة التجديد إلى العمل بشكل وثيق مع الشركة المصنعة للحصول على تحديث لهذه المعلومات في الوقت المناسب. ومن ناحية أخرى، يمكن للحكومة وضع معايير لوضع العلامات.[31]
وأخيرًا، تضيف عملية التجديد تكلفة للبطاريات المستخدمة. منذ عام 2010، انخفضت تكاليف البطارية بنسبة تزيد عن 85% وهو أسرع بكثير من المتوقع. بسبب التكلفة الإضافية للتجديد، قد تكون الوحدة المجددة أقل جاذبية من البطاريات الجديدة للسوق.[31]
ومع ذلك، فقد تحققت العديد من النجاحات في تطبيق الحياة الثانية كما هو موضح في أمثلة مشاريع التخزين التي تستخدم بطاريات السيارات الكهربائية ذات الحياة الثانية. تستخدم في تطبيقات التخزين الثابتة الأقل تطلبًا مثل الحلاقة القصوى أو التخزين الإضافي لمصادر التوليد المتجددة.[31]
إعادة التدوير

على الرغم من أنه يمكن إطالة عمر البطارية من خلال تمكين تطبيق العمر الثاني، إلا أن بطاريات المركبات الكهربائية في نهاية المطاف تحتاج إلى إعادة التدوير. لا تعد قابلية إعادة التدوير حاليًا أحد الاعتبارات التصميمية المهمة لمصنعي البطاريات، وفي عام 2019، أعيد تدوير 5٪ فقط من بطاريات المركبات الكهربائية.[34] تفتقر تقنيات المركبات الكهربائية التي تعمل بالبطارية إلى إطار إعادة التدوير الراسخ في العديد من البلدان، مما يجعل استخدام المركبات الكهربائية التي تعمل بالبطارية وغيرها من المعدات الكهربائية التي تعمل بالبطاريات بمثابة إنفاق كبير للطاقة، مما يؤدي في النهاية إلى زيادة انبعاثات ثاني أكسيد الكربون - خاصة في البلدان التي تفتقر إلى موارد الطاقة المتجددة.[35]
حاليًا، هناك خمسة أنواع من عمليات إعادة التدوير: استخلاص الفلزات الحرارية، وفصل المواد الفيزيائية، واستخلاص المعادن الهيدروميتالورجية، وطريقة إعادة التدوير المباشرة، واستخلاص المعادن البيولوجية. العمليات الأكثر استخدامًا هي العمليات الثلاث الأولى المدرجة، كما هو موضح في أمثلة مرافق إعادة تدوير بطاريات الليثيوم أيون الحالية. لا تزال الطريقتان الأخيرتان قيد الاختبار أو على نطاق تجريبي، ومع ذلك، من المحتمل أن تتجنبا أكبر كمية من الانبعاثات الناتجة عن التعدين.
تتضمن عملية المعالجة الفلزية الحرارية حرق مواد البطارية مع الخبث والحجر الجيري والرمل وفحم الكوك لإنتاج سبيكة معدنية باستخدام فرن عالي الحرارة. المواد الناتجة هي سبيكة معدنية وخبث وغازات. تشتمل الغازات على جزيئات تتبخر من مكونات الإلكتروليت والمواد الرابطة. يمكن فصل السبائك المعدنية من خلال العمليات الميتالورجية المائية إلى مواد مكونة. يمكن استخلاص الخبث، وهو عبارة عن خليط من معادن الألومنيوم والمنجنيز والليثيوم، عن طريق العمليات التعدينية المائية أو استخدامه في صناعة الأسمنت. هذه العملية متعددة الاستخدامات وآمنة نسبيًا. ونظرًا لعدم الحاجة إلى فرز مسبق، فيمكن أن تعمل مع مجموعة واسعة من البطاريات. بالإضافة إلى ذلك، نظرًا لحرق الخلية بأكملها، يمكن أن يساعد المعدن الموجود في المجمعات الحالية في عملية الصهر، وبسبب التفاعل الطارد للحرارة لحرق البلاستيك الرملي المنحل بالكهرباء، يمكن أيضًا تقليل استهلاك الطاقة. ومع ذلك، لا تزال هذه العملية تتطلب استهلاكًا أعلى للطاقة نسبيًا ولا يمكن استخلاص سوى عدد محدود من المواد. يقوم فصل المواد الفيزيائية باستعادة المواد عن طريق التكسير الميكانيكي واستغلال الخصائص الفيزيائية للمكونات المختلفة مثل حجم الجسيمات والكثافة والمغناطيسية الحديدية والكارهة للماء. يمكن استعادة أغلفة النحاس والألومنيوم والصلب عن طريق الفرز. أما المواد المتبقية، والتي تسمى "الكتلة السوداء"، والتي تتكون من النيكل والكوبالت والليثيوم والمنجنيز، فتحتاج إلى معالجة ثانوية حتى تتعافى. بالنسبة لعملية التعدين المائي، يجب سحق مواد الكاثود لإزالة المجمع الحالي. ثم يتم ترشيح المواد الكاثودية بواسطة المحاليل المائية لاستخلاص الفلزات المطلوبة من مواد المهبط. إعادة تدوير المهبط المباشر كما هو الاسم المقترح يستخرج المواد مباشرة، مما ينتج عنه طاقة مهبط جاهزة للاستخدام كمادة كاثود جديدة. تتضمن هذه العملية استخلاص الإلكتروليت باستخدام ثاني أكسيد الكربون السائل أو فوق الحرج 2. بعد تقليل حجم المكونات المستردة، يمكن فصل مواد الكاثود. بالنسبة لاستخلاص المعادن البيولوجية أو الترشيح الحيوي، تستخدم العملية العضيات الدقيقة لهضم أكاسيد المعادن بشكل انتقائي. ومن ثم، يمكن للقائمين بإعادة التدوير تقليل هذه الأكاسيد لإنتاج جسيمات معدنية نانوية. على الرغم من أن الترشيح الحيوي قد تم استخدامه بنجاح في صناعة التعدين، إلا أن هذه العملية لا تزال ناشئة في صناعة إعادة التدوير وتوجد الكثير من الفرص لمزيد من البحث.[29][31][33]
لقد كانت هناك العديد من الجهود في جميع أنحاء العالم لتعزيز تطوير ونشر تقنيات إعادة التدوير. في الولايات المتحدة، أنشأت مكاتب تقنيات مركبات الطاقة (VTO) مجهودين يستهدفان الابتكار والتطبيق العملي لعمليات إعادة التدوير. يضم مركز ReCell Lithium Recycling RD ثلاث جامعات وثلاثة مختبرات وطنية معًا لتطوير تقنيات إعادة التدوير المبتكرة والفعالة. يجمع مركز ReCell Lithium Recycling RD ثلاث جامعات وثلاثة مختبرات وطنية معًا لتطوير تقنيات إعادة التدوير المبتكرة والفعالة. وأبرزها أن طريقة إعادة التدوير بالكاثود المباشر تم تطويرها من قبل مركز ReCell. من ناحية أخرى، أنشأت VTO أيضًا جائزة إعادة تدوير البطاريات لتحفيز رواد الأعمال الأمريكيين على إيجاد حلول مبتكرة لحل التحديات الحالية.[36]
الأثر البيئي
تشير التقديرات إلى أن التحول إلى السيارات الكهربائية يتطلب زيادة بنسبة 87.000٪ في المعروض من فلزات محددة بحلول عام 2060 والتي يجب استخراجها في البداية، مع إعادة التدوير (انظر أعلاه) التي تغطي جزءًا من الطلب في المستقبل.[37] في المملكة المتحدة وحدها، تشير التقديرات إلى أن تحويل 31.5 مليون سيارة تعمل بالبنزين إلى السيارات الكهربائية سيتطلب "207.900 طن من الكوبالت، و264.600 طن من كربونات الليثيوم، و7.200 طن من النيوديميوم والديسبروسيوم، و2.362.500 طن من النحاس"، وسيتطلب التحول العالمي. 40 ضعف هذه المبالغ.[38] عام 2022، خططت الحكومة الأمريكية لمنح الولايات الأمريكية 5 بليون دولار على مدى خمس سنوات لشواحن السيارات الكهربائية.[39] وفقًا لدراسة وكالة الطاقة الدولية 2021، يجب زيادة الإمدادات المعدنية من 400 كيلو طن عام 2020 إلى 11800 كيلوطن عام 2040 من أجل تغطية الطلب بواسطة السيارات الكهربائية. تخلق هذه الزيادة عددًا من التحديات الرئيسية، بدءًا من سلسلة التوريد (حيث يتركز 60٪ من الإنتاج في الصين) وحتى التأثير الكبير على المناخ والبيئة نتيجة لهذه الزيادة الكبيرة في عمليات التعدين.[40]
تكلفة البطارية

عام 2010، دفع العلماء في الجامعة التقنية في الدنمارك 10.000 دولار أمريكي مقابل بطارية مركبة كهربائية معتمدة بقدرة 25 كيلووات/ساعة (أي 400 دولار أمريكي/كيلووات/ساعة)، بدون حسومات أو رسوم إضافية.[43] يستطيع اثنان من أصل 15 منتجًا للبطاريات توفير المستندات الفنية اللازمة حول الجودة والسلامة من الحرائق.[44] عام 2010، قُدر أنه قد تمر 10 سنوات على الأكثر قبل أن ينخفض سعر البطارية إلى الثلث.[43]
وفقًا لدراسة أجريت عام 2010، بواسطة المجلس الوطني الأمريكي للبحوث، بلغت تكلفة حزمة بطارية الليثيوم-أيون حوالي 1.700/kWh من الطاقة القابلة للاستخدام، وبالنظر إلى أن 10 بطارايت مركبة كهربائية هجين تتطلب حوالي 2.0 كيلووات/ساعة و40 منها تتطلب حوالي 8 كيلووات/ساعة، فإن تكلفة الشركة المصنعة لحزمة البطارية لعشر بطاريات مركبات كهربائية هجين تبلغ حوالي 3.000 دولار وتصل تكلفة 40 بطارية منها إلى 14.000.[45][46] بحلول 2020 قدرت تكنولوجي رڤيو تكلفة حزم بطاريات السيارات ما بين 225 إلى 500 دولار لكل كيلووات/ساعة.[47] أفادت دراسة أجراها المجلس الأمريكي لاقتصاد كفاءة الطاقة عام 2013 أن تكاليف البطاريات انخفضت من 1.300 دولار/كيلووات/ساعة عام 2007 إلى 500 دولار /كيلووات/ساعة عام 2012. حددت وزارة الطاقة أهداف التكلفة لأبحاث البطاريات التي ترعاها بقيمة 300 دولار/كيلوواط/ساعة عام 2015 و125 دولار/كيلوواط/ساعة بحلول عام 2022. انخفاض التكلفة من خلال التقدم في تكنولوجيا البطاريات وزيادة أحجام الإنتاج سيسمح للمركبات الكهربائية أن تكون أكثر قدرة على المنافسة مع المركبات التقليدية ذات محركات الاحتراق الداخلي.[48] عام 2016، كان لدى العالم قدرة إنتاج بطارية ليثيوم-أيون تبلغ قدرتها 41.57 جيجاوات/ساعة.[49]
تخضع التكاليف الفعلية للخلايا للكثير من الجدل والتكهنات حيث يرفض معظم مصنعي السيارات الكهربائية مناقشة هذا الموضوع بالتفصيل. ومع ذلك، في أكتوبر 2015، كشفت شركة تصنيع السيارات جنرال موتورز في مؤتمر الأعمال العالمي السنوي الخاص بها أنها تتوقع سعرًا يبلغ {145 دولار/كيلوواط/ساعة لخلايا الليثيوم-أيون مع دخول عام 2016، وهو أقل بكثير من تقديرات التكلفة التي وضعها محللون آخرون. وتتوقع جنرال موتورز أيضًا أن تصل التكلفة إلى 100 دولار/كيلوواط/ساعة بحلول نهاية عام 2021.[50]
وفقًا لدراسة نشرتها بلومبرگ إنرجي نيوز فاينانس (BNEF) في فبراير 2016، انخفضت أسعار البطاريات بنسبة 65% منذ عام 2010، وبنسبة 35% فقط عام 2015، لتصل إلى 350 دولار/كيلوواط/ساعة. وخلصت الدراسة إلى أن تكاليف البطاريات تسير على مسار يجعل المركبات الكهربائية بدون الإعانات الحكومية ميسورة التكلفة مثل سيارات محركات الاحتراق الداخلي في معظم البلدان بحلول عام 2022. وتتوقع BNEF أنه بحلول عام 2040، -ستكلف السيارات الكهربائية أقل من 22.000 دولار أمريكي عام 2016. تتوقع BNEF أن تكون تكاليف بطاريات السيارات الكهربائية أقل بكثير من 120 دولار/كيلوواط/ساعة بحلول عام 2030، وأن تنخفض أكثر بعد ذلك مع توفر مواد كيميائية جديدة.[51][52]
- مقارنة تقديرات سعر البطارية
نوع البطارية | السنة | التكلفة (US$/kWh) |
---|---|---|
الليثيوم-أيون | 2021 | 132[53] |
الليثيوم-أيون | 2016 | 130[54]-145[50] |
الليثيوم-أيون | 2014 | 200–300[55] |
الليثيوم-أيون | 2012 | 500–600[56] |
الليثيوم-أيون | 2012 | 400[57] |
الليثيوم-أيون | 2012 | 520–650[58] |
الليثيوم-أيون | 2012 | 752[58] |
الليثيوم-أيون | 2012 | 689[58] |
الليثيوم-أيون | 2013 | 800–1000[59] |
الليثيوم-أيون | 2010 | 750[60] |
النيكل-هيدريد الفلز | 2004 | 750[61] |
النيكل-هيدريد الفلز | 2013 | 500–550[59] |
النيكل-هيدريد الفلز | 350[62] | |
الرصاص-الحمض | 256.68 |
تكافؤ البطارية
عام 2010، صرح أستاذ البطاريات پول نوربي أنه يعتقد أن بطاريات الليثيوم ستحتاج إلى مضاعفة طاقتها المحددة وخفض السعر من 500 دولار (2010) إلى 100 دولار لسعة كيلوواط/ساعة من أجل إحداث تأثير على السيارات التي تعمل بالبنزين.[64] تشير سيتيگروپ إلى 230 دولار/كيلووات/ساعة.
الصفحة الرسمية للبطاريات الكهربائية لسيارات تويوتا پريوس 2012 أعلن عن نطاق يبلغ 21 كم وسعة بطارية تبلغ 5.2 كيلووات/ساعة بمعدل 4 كم/كيلووات/ساعة، في حين تصل مركبة المرافق أداكس (طراز 2015) بالفعل إلى 110 كم أو نسبة 7.5 كم/كيلووات/ساعة.[65]
تتمتع السيارات الكهربائية التي تعمل بالبطارية باستهلاك طاقة يتراوح بين 4.0 كم/كيلوواط/ساعة و8.0 كم/كيلوواط/ساعة.
توقع وزير الطاقة الأمريكي ستيڤن تشو انخفاض تكاليف بطارية يبلغ مداها 40 ميلًا من سعر 12000 دولار عام 2008 إلى 3600 دولار في 2015 وإلى 1500 دولار بحلول عام 2020.[66][67] أظهرت بطاريات اللثيوم-أيون، الليثيوم-بوليمر، الألومنيوم-الهواء والزنك-الهواء طاقات محددة عالية بما يكفي لتوفير نطاق وأوقات إعادة شحن مماثلة للبطاريات التقليدية. المركبات التي تعمل بالوقود الأحفوري.
تكافؤ التكلفة
التكاليف المختلفة هامة. إحدى القضايا هي سعر الشراء، والمسألة الأخرى هي التكلفة الإجمالية للملكية. اعتبارًا من عام 2015، أصبحت السيارات الكهربائية أكثر تكلفة للشراء في البداية، لكنها أرخص في التشغيل، وفي بعض الحالات على الأقل، قد تكون التكلفة الإجمالية للملكية أقل.[بحاجة لمصدر]
بحسب كامن وزملائه، 2008، ستصبح المركبات الكهربائية القابلة للشحن فعالة من حيث التكلفة بالنسبة للمستهلكين إذا انخفضت أسعار البطاريات من 1300 دولار/كيلوواط/ساعة إلى حوالي 500 دولار/كيلوواط/ساعة (بحيث تتمكن البطارية من تغطية تكاليفها بنفسها).[68]
عام 2010، انتجت مجموعة بطارية نيسان ليف بتكلفة قدرها 18.000 دولار.[69] وبالتالي، بلغت تكاليف الإنتاج الأولية لشركة نيسان عند إطلاق سيارة ليف حوالي 750 دولارًا لكل كيلووات/ساعة (بالنسبة للبطارية التي تبلغ طاقتها 24 كيلووات/ساعة)..[69]
عام 2012، ربطت مكنزي كوارترلي أسعار البطاريات بأسعار البنزين على أساس التكلفة الإجمالية للملكية لمدة 5 سنوات للسيارة، حيث قدرت أن 3.50 دولارًا للغالون يعادل 250 دولارًا/لكيلووات/ساعة.[70] عام 2017، قدرت مكنزي أن السيارات الكهربائية ستكون قادرة على المنافسة بتكلفة حزمة بطارية تبلغ 100 دولار/كيلوواط/ساعة (متوقع حوالي عام 2030)، وتتوقع أن تبلغ تكاليف العبوة 190 دولارًا/كيلوواط/ساعة بحلول عام 2020.[71]
في أكتوبر 2015، كشفت شركة تصنيع السيارات جنرال موتورز في مؤتمر الأعمال العالمي السنوي أنها تتوقع سعرًا قدره 145 دولارًا لكل كيلووات ساعة لخلايا الليثيوم-أيون بحلول عام 2016.[50]
تكافؤ المدى
يعني تكافؤ مدى القيادة أن المركبة الكهربائية تتمتع بنفس المدى الذي تتمتع به مركبة متوسطة تعمل بالاحتراق بالكامل (500 كم)، مع بطاريات ذات طاقة محددة أكبر من 1 كيلووات/ساعة/كجم.[72] المدى الأعلى يعني أن المركبات الكهربائية ستقطع كيلومترات أكثر دون إعادة شحنها. في الوقت الحالي، تعد مبيعات المركبات الكهربائية أقل من المتوقع بسبب القلق بشأن المدى - حتى مع نفس المدى مثل سيارة متوسطة تعمل بالاحتراق الكامل، يجب التأكد من المشترين أن هناك محطات شحن متاحة على مدى واسع ومتوافقة لمركباتهم، والتي ليست شائعة حاليًا مثل محطات الوقود.[73]
يجري المسؤولون اليابانيون والأوروبيون محادثات لتطوير بطاريات متقدمة قابلة لإعادة الشحن للسيارات الكهربائية بشكل مشترك لمساعدة البلدان على تقليل انبعاثات الغازات الدفيئة. قال صانع البطاريات الياباني جي إس يواسا إن تطوير بطارية يمكنها تشغيل سيارة كهربائية لمسافة 500 كيلومتر بشحنة واحدة أمر ممكن. شارپ كورپ وجي إس يواسا من بين خلايا الطاقة الشمسية اليابانية وصانعي البطاريات الذين قد يستفيدون من التعاون.[74]
- توفر بطارية الليثيوم أيون في إيه سي پروپولشن تزيرو مدى يتراوح من 400-500 كيلومتر لكل شحنة (مدى شحن واحد).[75] كان سعر هذه السيارة عند إصدارها في 2003 هو 220.000 دولار أمريكي.[76]
- القيادة بسيارة دايهاتسو ميرا المجهزة ببطاريات ليثيوم-أيون سعتها 74 كيلووات/ساعة حقق، Japan EV Club رقمًا قياسيًا عالميًا لسيارة كهربائية: 1003 كم دون إعادة الشحن.
- زوندا للحافلات، في جيانگسو، الصين تقدم حافلة زوندا نيو إنرجي بمدى 500 كيلومتر بالكهرباء فقط.[77][مطلوب توضيح]
- السيارة الخارقة ريماك كونسپت وان المزودة ببطارية سعتها 82 كيلووات/ساعة يصل مداها إلى 500 كيلومتر. أنتجت السيارة منذ عام 2013.
- السيارة الكهربائية الخالصة BYD e6 ببطارية سعتها 60 كيلووات/ساعة يصل مداها إلى 300 كيلومتر.[78]
المواصفات
المكونات الداخلية


تعتبر تصميمات حزم بطاريات المركبات الكهربائية معقدة وتختلف بشكل كبير حسب الشركة المصنعة والتطبيق المحدد. ومع ذلك، فإنها جميعًا تشتمل على مجموعة من أنظمة المكونات الميكانيكية والكهربائية البسيطة التي تؤدي الوظائف الأساسية المطلوبة للحزمة.
يمكن أن تحتوي خلايا البطارية الفعلية على كيمياء مختلفة.
تعتبر تصميمات حزم البطاريات للسيارات الكهربائية معقدة وتختلف بشكل كبير حسب الشركة المصنعة والتطبيق المحدد. ومع ذلك، فإنها جميعًا تشتمل على مجموعة من أنظمة المكونات الميكانيكية والكهربائية البسيطة التي تؤدي الوظائف الأساسية المطلوبة للحزمة.
يمكن أن تحتوي خلايا البطارية الفعلية على كيمياء وأشكال وأحجام فيزيائية مختلفة حسب ما تفضله الشركات المصنعة للحزم المختلفة. ستتضمن حزم البطاريات دائمًا العديد من الخلايا المنفصلة المتصلة على التوالي وبالتوازي لتحقيق إجمالي الجهد الكهربي ومتطلبات التيار للحزمة. يمكن أن تحتوي حزم البطاريات لجميع المركبات الكهربائية ذات المحرك الكهربائي على عدة مئات من الخلايا الفردية. تمتلك كل خلية جهدًا اسميًا يبلغ 3-4 ڤولت/ثانية، اعتمادًا على تركيبها الكيميائي.
للمساعدة في التصنيع والتجميع، يتم عادةً تجميع مجموعة الخلايا الكبيرة في مجموعات أصغر تسمى الوحدات. يوضع العديد من هذه الوحدات في حزمة واحدة. داخل كل وحدة يتم لحام الخلايا معًا لإكمال المسار الكهربائي لتدفق التيار. يمكن أن تتضمن الوحدات أيضًا آليات التبريد وأجهزة مراقبة درجة الحرارة وأجهزة أخرى. يجب أن تظل الوحدات ضمن نطاق درجة حرارة محدد للحصول على الأداء الأمثل.[79] في معظم الحالات، تسمح الوحدات أيضًا بمراقبة الجهد الذي تنتجه كل خلية بطارية في المجموعة باستخدام نظام إدارة البطارية (BMS).[80]
تحتوي مجموعة خلايا البطارية على فتيل رئيسي يحد من تيار العبوة في حالة حدوث ماس كهربائي. يمكن إزالة "قابس الخدمة" أو "قطع الخدمة" لتقسيم حزمة البطارية إلى نصفين معزولين كهربائيًا. مع إزالة قابس الخدمة، لا تشكل الأطراف الرئيسية المكشوفة للبطارية أي خطر كهربائي محتمل كبير على فنيي الخدمة.[80][81]
تحتوي حزمة البطارية أيضًا على مرحلات أو موصلات تتحكم في توزيع الطاقة الكهربائية لحزمة البطارية إلى أطراف الإخراج. في معظم الحالات، سيكون هناك ما لا يقل عن مرحلتين رئيسيتين لتوصيل مجموعة خلايا البطارية بأطراف الإخراج الإيجابية والسلبية الرئيسية للحزمة، والتي تقوم بعد ذلك بتزويد محرك الدفع الكهربائي بتيار عالٍ. تشتمل بعض تصميمات العبوات على مسارات تيار بديلة للشحن المسبق لنظام القيادة من خلال مقاوم الشحن المسبق أو لتشغيل ناقل مساعد والذي سيكون له أيضًا مرحلات التحكم المرتبطة به. لأسباب تتعلق بالسلامة، تكون جميع هذه المرحلات مفتوحة بشكل طبيعي.[80][81]
تحتوي حزمة البطارية أيضًا على مجموعة متنوعة من أجهزة استشعار درجة الحرارة والجهد والتيار. يتم جمع البيانات من مستشعرات العبوة وتنشيط مرحلات الحزمة بواسطة وحدة مراقبة بطارية العبوة (BMU) أو BMS. يعد نظام إدارة البطارية (BMS) مسؤولًا أيضًا عن الاتصالات مع السيارة خارج حزمة البطارية.[80]
إعادة الشحن
يجب إعادة شحن البطاريات الموجودة في المركبات الكهربائية التي تعمل بالبطارية بشكل دوري. تُشحن المكربات الكهربائية التي تعمل بالبطارية بشكل شائع من شبكة الطاقة (في المنزل أو باستخدام شارع أو متجر نقطة إعادة الشحن)، والتي يتم توليدها بدورها من مجموعة متنوعة من الموارد المحلية، مثل الفحم، الكهرباء الكهرومائية، النووية، الغاز الطبيعي، وغيرها. يمكن أيضًا استخدام الطاقة المنزلية أو طاقة الشبكة، مثل الخلايا الكهروضوئية، أو الرياح، أو ميكروهيدرو ويتم الترويج لها بسبب المخاوف المتعلقة بالاحترار العالمي.
باستخدام مصادر الطاقة المناسبة، يتم عادةً تحقيق عمر جيد للبطارية بمعدلات شحن لا تتجاوز نصف سعة البطارية في الساعة ("0.5C"),[82] وبالتالي يستغرق الشحن الكامل ساعتين أو أكثر، ولكن يتوفر شحن أسرع حتى بالنسبة للبطاريات ذات السعة الكبيرة.[83]
يقتصر وقت الشحن في المنزل على سعة المأخذ الكهربائي بالمنزل، ما لم تُجرى أعمال توصيلات كهربائية متخصصة. في الولايات المتحدة وكندا واليابان ودول أخرى بقوة 120 ڤولت من الكهرباء، يوفر منفذ منزلي عادي 1.5 كيلوواط/ثانية. وفي بلدان أخرى يمكن توصيل كهرباء بقدرة 230 ڤولت تتراوح بين 7 و14 كيلووات (230 ڤولت على مرحلة واحدة و400 ڤولت على ثلاث مراحل، على التوالي). في أوروبا، يحظى اتصال الشبكة بقدرة 400 ڤولت (230 ڤولت على ثلاث مراحل) بشعبية متزايدة نظرًا لأن المنازل الجديدة لا تتمتع بتوصيلات الغاز الطبيعي بسبب لوائح السلامة الخاصة بالاتحاد الأوروبي.
وقت الشحن
يمكن للسيارات الكهربائية مثل تسلا مودل إس، رينو زو، بي إم دبليو آي3، وما إلى ذلك، إعادة شحن بطارياتها بنسبة 80 بالمائة في محطات الشحن السريع خلال 30 دقيقة.[84][85][86][87]
على سبيل المثال، انتقل شحن سيارة تسلا مودل 3 طويلة المدى باستخدام شاحن تسلا الإصدار 3 الفائق بقدرة 250 كيلووات من حالة شحن 2% مع مدى 9.7 كم إلى حالة شحن 80% مع نطاق يبلغ 240 3390 كم خلال 27 دقيقة أي ما يعادل 840 كم في الساعة.[88]
الموصلات
يمكن توصيل طاقة الشحن بالسيارة بطريقتين. الأول هو التوصيل الكهربائي المباشر المعروف باسم الاقتران الموصل. قد يكون هذا بسيطًا مثل توصيل الأنابيب الرئيسية إلى مقبس مقاوم للعوامل الجوية من خلال كابلات خاصة عالية السعة مزودة بموصلات لحماية المستخدم من الجهد العالي. المعيار الحديث لشحن المركبات بالقابس هو الموصل SAE-1772 (IEC-62196 النوع-1) في الولايات المتحدة. اختارت رابطة مصنعي السيارات الأوروبية الطراز VDE-AR-E 2623-2-2 (IEC-62196 النوع -2) للنشر في أوروبا، وهو ما يعني، بدون مزلاج، زيادة غير ضرورية متطلبات الطاقة لآلية الإغلاق.[بحاجة لمصدر]
ويعرف النهج الثاني باسم الشحن الاستقرائي. يُدخل "مجداف" خاص في الفتحة الموجودة في المركبة. المجداف عبارة عن ملف واحد من محول، بينما الآخر مدمج في السيارة. عند إدخال المجداف، فإنه يكمل الدائرة المغناطيسية التي توفر الطاقة لحزمة البطارية. في نظام الشحن الاستقرائي الواحد،[89] يُربط أحد الملفين بالجانب السفلي من المركبة، بينما يبقى الآخر على أرضية المرآب. تتمثل ميزة النهج الاستقرائي في عدم وجود إمكانية الصعق الكهربائي حيث لا توجد موصلات مكشوفة، على الرغم من أن التشابكات والموصلات الخاصة وكاشفات الأعطال الأرضية يمكنها عمل اقتران موصل آمنة تقريبًا. يمكن أن يؤدي الشحن الاستقرائي أيضًا إلى تقليل وزن السيارة، عن طريق نقل المزيد من مكونات الشحن خارج المركبة.[90] أكد أحد مؤيدي الشحن الاستقرائي من تويوتا عام 1998، أن فروق التكلفة الإجمالية كانت ضئيلة، في حين أكد أحد مؤيدي الشحن التوصيلي من شركة فورد أن الشحن التوصيلي كان أكثر فعالية من حيث التكلفة.[90]
نقاط الشحن
عتبارًا من أبريل 2020، يوجد 93.439 موقعًا و178.381 محطة شحن للسيارات الكهربائية حول العالم.[91]
على الرغم من وجود الكثير من محطات الشحن في جميع أنحاء العالم، والعدد آخذ في التزايد، إلا أن المشكلة تكمن في أن سائق السيارة الكهربائية قد يجد نفسه في محطة شحن بعيدة مع سيارة أخرى موصولة بالشاحن الوحيد أو قد يجد سيارة أخرى متوقفة في بقعة مركبة كهربائية الوحيدة. في الوقت الحالي، لا توجد قوانين تحظر فصل سيارة شخص آخر، فهذا ببساطة تحكمه آداب السلوك.[73]
مدى السفر قبل الشحن
يعتمد مدى السيارة الكهربائية التي تعمل بالبطارية على عدد البطاريات المستخدمة ونوعها. يؤثر أيضًا وزن ونوع السيارة بالإضافة إلى التضاريس والطقس وأداء السائق، تمامًا كما تؤثر على المسافة المقطوعة في المركبة التقليدية. يعتمد أداء تحويل السيارة الكهربائية على عدد من العوامل بما في ذلك كيمياء البطارية:
- بطاريات الرصاص-الحمض هي الأكثر توفرًا ورخيصة الثمن. يتراوح نطاق هذه التحويلات عمومًا بين 30 و80 كيلومترًا. يمكن للمركبات الكهربائية المنتجة ببطاريات الرصاص-الحمض أن تسير مسافة تصل إلى 130 كيلومترًا لكل شحنة.
- تتمتع بطاريات NiMH بطاقة نوعية أعلى من بطاريات الرصاص-الحمض؛ توفر النماذج الأولية للمركبات الكهربائية نطاقًا يصل إلى 200 كيلومتر.
- توفر السيارات الكهربائية الجديدة المجهزة ببطارية الليثيوم-أيون نطاقًا يتراوح بين 320 إلى 480 كيلومترًا لكل شحنة.[92] الليثيوم أيضًا أقل تكلفة من النيكل.[93]* بطاريات النيكل-زنك أرخص وأخف وزنا من بطاريات النيكل-كادميوم. كما أنها أرخص من بطاريات الليثيوم-أيون (لكنها ليست خفيفة مثلها).[94]
قد تزداد المقاومة الداخلية لبعض البطاريات بشكل ملحوظ عند درجة حرارة منخفضة[95] مما قد يؤدي إلى انخفاض ملحوظ في مدى السيارة وفي عمر البطارية.
إن العثور على التوازن الاقتصادي بين المدى مقابل الأداء، وسعة البطارية مقابل الوزن، ونوع البطارية مقابل التكلفة يمثل تحديًا لكل مصنع للسيارات الكهربائية.
مع نظام التيار المتردد أو نظام التيار المستمر المتقدم، يمكن للكبح المتجدد توسيع المدى بما يصل إلى 50% في ظل ظروف المرور القاسية دون توقف كامل. وبخلاف ذلك، يتم توسيع المدى بنحو 10 إلى 15% أثناء القيادة في المدينة، وبنسبة ضئيلة فقط في القيادة على الطرق السريعة، اعتمادًا على التضاريس.[بحاجة لمصدر]
يمكن أيضًا للمركبات الكهربائية التي تعمل بالبطارية (بما في ذلك الحافلات والشاحنات) استخدام مقطورات مجموعة المولدات والمقطورات الدافعة من أجل توسيع نطاقها عند الرغبة دون الوزن الإضافي أثناء الاستخدام العادي قصير المدى. يمكن استبدال مقطورات السلة الفارغة بأخرى معاد شحنها في الطريق. إذا كانت مستأجرة، فيمكن تأجيل تكاليف الصيانة إلى الوكالة.
يمكن أن تصبح بعض المركبات الكهربائية بالبطارية مركبات هجينة اعتمادًا على أنواع الطاقة التي توفرها المقطورة والسيارة ومجموعة نقل الحركة.
المقطورات
يمكن أن تزيد سعة البطارية المساعدة المحمولة في المقطورات من النطاق الإجمالي للمركبة، ولكنها تزيد أيضًا من فقدان الطاقة الناتج عن السحب الديناميكي الهوائي، وتزيد من تأثيرات نقل الوزن وتقلل من سعة الجر.
التبديل والإزالة
أحد البدائل لإعادة الشحن هو استبدال البطاريات المستنفدة أو شبه المستنفدة (أو وحدة موسع نطاق البطارية) ببطاريات مشحونة بالكامل. وهذا ما يسمى بتبديل البطارية ويتم إجراؤه في محطات التبديل.[96]
تشمل ميزات محطات التبديل:[97]
- لم يعد المستهلك مهتمًا بالتكلفة الرأسمالية للبطارية، أو دورة الحياة، أو التكنولوجيا، أو الصيانة، أو مشكلات الضمان؛
- التبديل أسرع بكثير من الشحن: لقد أظهرت معدات تبديل البطاريات التي صنعتها الشركة بتر پليس عمليات تبديل تلقائية في أقل من 60 ثانية؛[98]
- محطات التبديل تزيد من جدوى تخزين الطاقة الموزعة عبر الشبكة الكهربائية؛
وتتضمن المخاوف الخاصة بمحطات التبديل:
- احتمالية الاحتيال (لا يمكن قياس جودة البطارية إلا من خلال دورة تفريغ كاملة؛ ولا يمكن قياس عمر البطارية إلا من خلال دورات تفريغ متكررة؛ ولا يستطيع المشاركون في معاملة المبادلة معرفة ما إذا كانوا سيحصلون على بطارية مهترئة أو منخفضة الفعالية؛ وتتدهور جودة البطارية ببطء بمرور الوقت، سيتم إدخال البطاريات البالية تدريجيًا إلى النظام).
- عدم رغبة الشركات المصنعة في توحيد تفاصيل الوصول/التنفيذ للبطارية.[99]
- مخاوف السلامة.[99]
إعادة الملء
بطاريات تدفق الزنك-البروم يمكن إعادة تعبئتها باستخدام سائل، بدلاً من إعادة شحنها بواسطة الموصلات، مما يوفر الوقت.
المركبة-إلى-الشبكة
تسمح الشبكة الذكية للمركبات الكهربائية التي تعمل بالبطارية بتوفير الطاقة للشبكة في أي وقت، وخاصة:
- خلال فترات ذروة الحمل (عندما يكون سعر بيع الكهرباء مرتفعًا جدًا. ويمكن بعد ذلك إعادة شحن المركبات خلال ساعات خارج أوقات الذروة بأسعار أرخص مما يساعد على استيعاب التوليد الزائد أثناء الليل. تعمل المركبات كنظام تخزين بطارية موزع لتخزين الطاقة.)
- أثناء انقطاع التيار، كمصادر طاقة احتياطية.
السلامة
يتم التعامل مع مشكلات السلامة الخاصة بالمركبات الكهربائية التي تعمل بالبطارية إلى حد كبير وفقًا للمعايير الدولية الأيزو 6469. وينقسم هذا المعيار إلى ثلاثة أجزاء:
- تخزين الطاقة الكهربائية على متن المركبة، أي البطارية.
- وسائل السلامة الوظيفية والحماية من الأعطال.
- حماية الأشخاص من المخاطر الكهربائية.
يتلقى رجال الإطفاء وأفراد الإنقاذ تدريبًا خاصًا للتعامل مع الڤولتية العالية والمواد الكيميائية التي تواجهها حوادث المركبات الكهربائية والهجينة. في حين أن حوادث المركبات الكهربائية التي تعمل بالبطارية قد تسبب مشاكل غير عادية، مثل الحرائق والأبخرة الناتجة عن التفريغ السريع للبطارية، يتفق العديد من الخبراء على أن المركبات الكهربائية التي تعمل بالبطارية آمنة في المركبات المتاحة تجاريًا وفي الاصطدامات الخلفية، وهي أكثر أمانًا من السيارات التي تعمل بالبنزين والمزودة بخزانات بنزين خلفية.[100]
عادة ما يتضمن عادةً اختبار أداء البطارية تحديد ما يلي:
- حالة الشحن (SOC)
- صحة البطارية (SOH)
- كفاءة الطاقة
يحاكي اختبار الأداء دورات القيادة لمجموعات القيادة الخاصة بالمركبات الكهربائية التي تعمل بالبطارية (BEV)، والمركبات الكهربائية الهجينة (HEV)، والمركبات الكهربائية الهجينة القابلة للشحن (PHEV) وفقًا للمواصفات المطلوبة من الشركات المصنعة للمركبات (مصنعي المعدات الأصلية). خلال دورات القيادة هذه، يمكن إجراء تبريد متحكم فيه للبطارية، ومحاكاة الظروف الحرارية في السيارة.
بالإضافة إلى ذلك، تتحكم الغرف المناخية في الظروف البيئية أثناء الاختبار وتسمح بمحاكاة نطاق درجة حرارة السيارة بالكامل والظروف المناخية.[بحاجة لمصدر]
براءات الاختراع
يمكن استخدام براءات الاختراع لمنع تطوير أو نشر تكنولوجيا البطاريات. على سبيل المثال، كانت براءات الاختراع المتعلقة باستخدام خلايا هيدريد معدن النيكل في السيارات مملوكة لشركة تابعة لشڤرون، وهي شركة بترولية، والتي احتفظت بحق النقض على أي بيع أو ترخيص لتكنولوجيا NiMH.[101][102]
البحث والتطوير والابتكار
اعتبارًا من ديسمبر 2019، من المقرر استثمار عدة بلايين يورو في الأبحاث حول العالم لتحسين البطاريات.[103][104]
توصل الباحثون إلى بعض اعتبارات التصميم لشواحن بطاريات المركبات الكهربائية غير التلامسية. تم تصميم أنظمة نقل الطاقة المزدوجة الحثية (ICPT) لنقل الطاقة بكفاءة من المصدر الأساسي (محطة الشحن) إلى واحد أو أكثر من المصادر الثانوية (BEVs) بطريقة غير تلامسية عبر الاقتران المغناطيسي.[105]
لدى أوروبا خطط لاستثمارات ضخمة في تطوير وإنتاج بطاريات السيارات الكهربائية، وتهدف إندونيسيا أيضًا إلى إنتاج بطاريات السيارات الكهربائية بحلول عام 2023، ودعت شركتي GEM وأمپركس للتكنولوجيا المعاصرة المحدودة الصينية للبطاريات للاستثمار في إندونيسيا.[106][107][108][109][110][111][112][113]
المكثفات الفائقة
تستخدم المكثفات الكهربائية مزدوجة الطبقة (أو "المكثفات الفائقة") في بعض المركبات الكهربائية، مثل النموذج الأولي لمفهوم AFS Trinity، لتخزين الطاقة المتوفرة بسرعة مع طاقة محددة، من أجل الحفاظ على البطاريات ضمن حدود التسخين المقاومة الآمنة وإطالة عمر البطارية.[114][115]
نظرًا لأن المكثفات الفائقة المتاحة تجاريًا تتمتع بطاقة نوعية منخفضة، فلا توجد سيارات كهربائية تستخدم المكثفات الفائقة حصريًا.
في يناير 2020، صرح إلون مسك، الرئيس التنفيذي لشركة تسلا، أن التقدم في تكنولوجيا بطاريات الليثيوم-أيون جعل المكثفات الفائقة غير ضرورية للمركبات الكهربائية.[116]
الترويج في الولايات المتحدة
هناك عدة أنواع من التدابير السياسية لجعل المركبات الكهربائية التي تعمل بالبطارية مرغوبة أكثر. تشمل الحوافز القائمة على الشراء خصمًا ضريبيًا أو إعانة مالية عند شراء أو تسجيل سيارة كهربائية حديثة. تتضمن تدابير السياسة القائمة على الاستخدام توفير إعفاء من رسوم الازدحام لمستخدمي المركبات الكهربائية التي تعمل بالبطارية، أو السماح لمستخدمي المركبات التي تعمل بالبطارية باستخدام ممرات الحافلات، أو توفير مواقف مجانية للسيارات التي تعمل بالبطارية. ويمكن تصنيفها إلى حوافز سياسية محلية وعالمية. الحوافز المحلية، بما في ذلك الإعفاءات من رسوم الازدحام أو المواقف المجانية للسيارات الكهربائية في المدينة، تؤثر فقط على تلك الموجودة في هذه المنطقة المحددة. تنطبق حوافز السياسة العالمية، بما في ذلك الإعانات أو التخفيضات الضريبية الوطنية، على أي شخص في أي بلد.[117]
عام 2009، أعلن الرئيس باراك أوباما عن 48 مشروعًا جديدًا متقدمًا للبطاريات والمحركات الكهربائية ستتلقى تمويلًا بقيمة 2.4 بليون دولار بموجب القانون الأمريكي للتعافي وإعادة الاستثمار. وزعمت الحكومة أن هذه المشاريع من شأنها تسريع تطوير القدرة التصنيعية الأمريكية للبطاريات ومكونات المحركات الكهربائية، فضلاً عن نشر المركبات الكهربائية، مما يساعد على ترسيخ الريادة الأمريكية في إنشاء الجيل التالي من المركبات المتقدمة.[118] يمثل هذا الإعلان أكبر استثمار منفرد في تكنولوجيا البطاريات المتقدمة للمركبات الهجينة والكهربائية على الإطلاق. وتوقع مسؤولو الصناعة أن يؤدي هذا الاستثمار الذي تبلغ قيمته 2.4 بليون دولار، إلى جانب 2.4 بليون دولار أخرى في حصة التكاليف من الفائزين بالجوائز، بشكل مباشر إلى خلق عشرات الآلاف من فرص العمل في مجال التصنيع في صناعات البطاريات والسيارات الأمريكية. تغطي الجوائز 1.5 بليون دولار في شكل منح للشركات المصنعة في الولايات المتحدة لإنتاج البطاريات ومكوناتها ولتوسيع قدرة إعادة تدوير البطاريات.
- أعلن نائب الرئيس الأمريكي جو بايدن في ذلك الحين، في دترويت عن منح تزيد قيمتها عن بليون دولار للشركات والجامعات الموجودة في مشيگن. وفي انعكاس لقيادة الولاية في مجال تصنيع الطاقة النظيفة، حصلت شركات ومؤسسات مشيگن على الحصة الأكبر من تمويل المنح مقارنة بأي ولاية أخرى. ستحصل شركتان، إيه 123 سيستمز وجونسون كونترولز، على إجمالي ما يقرب من 550 مليون دولار لإنشاء قاعدة تصنيع في الولاية للبطاريات المتقدمة، وشركتان أخريان، كومپكت پاور وداو كوكام،[119] ستحصل على إجمالي يزيد عن 300 مليون دولار لتصنيع خلايا ومواد البطاريات. وسوف تحصل شركات صناعة السيارات الكبرى التي مقرها في مشيگن، بما في ذلك جنرال موتورز، وكرايسلر، وفورد، على ما يزيد في مجموعه عن 400 مليون دولار لتصنيع البطاريات ومكونات المحركات الكهربائية. ستتلقى ثلاث مؤسسات تعليمية في مشيگن- جامعة مشيگن، وجامعة واين ستيت في دترويت، وجامعة مشيگن التكنولوجية في هوتون، في شبه الجزيرة العليا - مبلغًا إجماليًا يزيد عن 10 مليون دولار لبرامج التعليم وتدريب القوى العاملة لتدريب الباحثين والفنيين ومقدمي الخدمات، وإجراء أبحاث المستهلك لتسريع التحول نحو المركبات والبطاريات المتقدمة.
- زار وزير الطاقة الأمريكي ستيفن تشو سلگارد،[120] في شارلوت، كارولينا الشمالية، للإعلان عن منحة بقيمة 49 مليون دولار للشركة لتوسيع طاقتها الإنتاجية للفاصل لخدمة الطلب المتزايد المتوقع على بطاريات الليثيوم-أيون من منشآت التصنيع في الولايات المتحدة. كانت سلگارد تخطط لتوسيع طاقتها التصنيعية في شارلوت وكونكورد المجاورة،[121] وتوقعت الشركة أن يبدأ إنتاج الفواصل الجديدة عام 2010. وتوقعت سلگارد إمكانية إنشاء مئات الوظائف تقريبًا، على أن تبدأ أولى هذه الوظائف في وقت مبكر من خريف عام 2009.
- كانت مديرة وكالة حماية البيئة، ليزا جاكسون، في سانت پطرسبرگ، فلوريدا، للإعلان عن منحة بقيمة 95.5 مليون دولار لشركة سافت أمريكا.[122][123] لبناء مصنع جديد في جاكسونڤيل في موقع قاعدة سسيل فيلد العسكرية السابقة، لتصنيع خلايا ووحدات وبطاريات الليثيوم-أيون للمركبات العسكرية والصناعية والزراعية.
- نائب وزير النقل جون پوركاري زار شركة إيست پن للتصنيع،[124] في ليون ستيشن، پنسلڤانيا، لمنح الشركة منحة بقيمة 32.5 مليون دولار لزيادة الطاقة الإنتاجية بطاريات الرصاص-الحمض الخاضعة للتنظيم بالصمام وألتراباتري، بطارية الرصاص-الحمض المدمجة مع مكثف فائق من الكربون، للتطبيقات الهجينة الصغيرة والخفيفة.[125]
في 2 مايو 2022، أعلن الرئيس بايدن أن الإدارة ستبدأ خطة بقيمة 3.16 بليون دولار لتعزيز التصنيع المحلي وإعادة تدوير البطاريات، في جهد أكبر لتحويل البلاد بعيدًا عن السيارات التي تعمل بالغاز إلى السيارات الكهربائية. هدف إدارة بايدن هو أن يكون نصف إنتاج السيارات الأمريكية كهربائيًا بحلول عام 2030.[126]
يهدف قانون الحد من التضخم، الذي تم إقراره في 16 أغسطس 2022، إلى تحفيز تصنيع الطاقة النظيفة من خلال إعفاء ضريبي استهلاكي بقيمة 7500 دولار للمركبات الكهربائية المزودة ببطاريات أمريكية الصنع، وتقديم إعانات لمصانع السيارات الكهربائية. بحلول أكتوبر 2022، تم الإعلان عن استثمارات بمليارات الدولارات لأكثر من عشرين مصنعًا للبطاريات الأمريكية، مما دفع بعض المعلقين إلى تسمية الغرب الأوسط باسم "حزام البطاريات".[127][128]
الترويج في النرويج
أصبحت النرويج مثالاً رائدًا على الترويج للمركبات الكهربائية التي تعمل بالبطاريات. تعد حصة سوق السيارات الكهربائية بالبطارية هي الأعلى في العالم في النرويج، والسبب الرئيسي هو الحوافز القوية لتشجيع شراء وملكية السيارات الكهربائية بالبطارية. لدى النرويج حزمة حوافز للسيارات الكهربائية التي تعمل بالبطارية والتي غالبًا ما تعادل أو حتى تجعل شراء السيارة الكهربائية بالبطارية أرخص من شراء مركبة ذات محرك احتراق داخلي (ICEV). بالإضافة إلى حوافز سعر الشراء، هناك أيضًا حوافز تجعل المركبات الكهربائية بالبطارية أكثر فعالية من حيث التكلفة وملاءمة للاستخدام اليومي. حققت سياسات الحوافز نجاحًا واضحًا في زيادة مبيعات السيارات الكهربائية في النرويج، مما يجعلها حالة رائعة للتعلم منها بالنسبة للبلدان الأخرى الراغبة في التوجه في نفس الاتجاه.[129]
انظر أيضاً
أمثلة
- قائمة المركبات الهجين
- قائمة إنتاج بطارية المركبة الكهربائية
- قائمة مصنعي بطارية المركبة الكهربائية
- حوادث حريق السيارات الكهربائية القابلة للشحن
متعلقة
المصادر
- ^ "Axeon Receives Order for 50 Zebra Packs for Modec Electric Vehicle; Li-Ion Under Testing". Green Car Congress. 2016-11-24. Retrieved 2019-12-15.
- ^ "Battery prices are falling, which is good news for EVs". Marketplace (in الإنجليزية الأمريكية). 2019-12-03. Retrieved 2020-04-25.
- ^ "EV Database". EV Database (in الإنجليزية). Retrieved 2020-04-25.
- ^ أ ب Barre, Harold (1997). Managing 12 Volts: How To Upgrade, Operate, and Troubleshoot 12 Volt Electrical Systenms. Summer Breeze Publishing. pp. 63–65. ISBN 978-0-9647386-1-4.(discussing damage caused by sulfation due to discharge below 50%)
- ^ "Nickel Metal Hydride NiMH Batteries". www.mpoweruk.com. Retrieved 2020-04-26.
- ^ "GM, Chevron and CARB killed the sole NiMH EV once, will do so again – Plug-in Electric cars and solar power reduce dependence on foreign oil by living oil-free, we review the options" (in الإنجليزية الأمريكية). Retrieved 2020-04-26.
- ^ "Modec electric truck - DIY Electric Car Forums". www.diyelectriccar.com. Retrieved 2020-04-26.
- ^ Godshall, N.A.; Raistrick, I.D.; Huggins, R.A. (1980). "Thermodynamic investigations of ternary lithium-transition metal-oxygen cathode materials". Materials Research Bulletin. 15 (5): 561. doi:10.1016/0025-5408(80)90135-X.
- ^ Godshall, Ned A. (18 May 1980) Electrochemical and Thermodynamic Investigation of Ternary Lithium-Transition Metal-Oxygen Cathode Materials for Lithium Batteries. Ph.D. Dissertation, Stanford University
- ^ "goodenough"&Refine=Refine+Search&Refine=Refine+Search&Query=in%2F"goodenough,+john" "USPTO search for inventions by "Goodenough, John"". Patft.uspto.gov. Retrieved 8 October 2011.
- ^ Mizushima, K.; Jones, P. C.; Wiseman, P. J.; Goodenough, J. B. (1980). "Li xCoO 2(0<x<-1): A new cathode material for batteries of high energy density". Materials Research Bulletin. 15 (6): 783–789. doi:10.1016/0025-5408(80)90012-4. S2CID 97799722.
- ^ Jalkanen, K.; Karrpinen, K.; Skogstrom, L.; Laurila, T.; Nisula, M.; Vuorilehto, K. (2015). "Cycle aging of commercial NMC/graphite pouch cells at different temperatures". Applied Energy. 154: 160–172. doi:10.1016/j.apenergy.2015.04.110.
- ^ "Lithium-Ion Batteries Hazard and Use Assessment" (PDF). Retrieved 2013-09-07.
- ^ "A123 Inks Deal to Develop Battery Cells for GM Electric Car". 2007-08-10. Retrieved 2016-12-10.
- ^ "Li-Ion Rechargeable Batteries Made Safer". Nikkei Electronics Asia. February 2008. Archived from the original on 2011-09-12.
- ^ "Nanowire battery can hold 10 times the charge of existing lithium-ion battery". 2008-01-09. Retrieved 2016-12-10.
- ^ Cui, Yi. "Inorganic Nanowires as Advanced Energy Conversion and Storage Materials" (PDF). US: Stanford University. Retrieved 2019-03-31.
- ^ Jaques, Robert (2008-04-14). "Nanotech promises lithium ion battery boost". vnunet.com. Archived from the original on 2009-04-08. Retrieved 2013-10-03.
- ^ "Using nanotechnology to improve Li-ion battery performance". Retrieved 2016-12-10.
- ^ Zhang, Wei-Ming; Hu, Jin-Song; Guo, Yu-Guo; Zheng, Shu-Fa; Zhong, Liang-Shu; Song, Wei-Guo; Wan, Li-Jun (2008). "Tin-Nanoparticles Encapsulated in Elastic Hollow Carbon Spheres for High-Performance Anode Material in Lithium-Ion Batteries". Advanced Materials. 20 (6): 1160–1165. Bibcode:2008AdM....20.1160Z. doi:10.1002/adma.200701364. S2CID 95337256.
- ^ "Argonne's lithium-ion battery technology to be commercialized by Japan's Toda Kogyo". Retrieved 2016-12-10.
- ^ Johnson, Christopher S. (2007). "Journal of Power Sources : Development and utility of manganese oxides as cathodes in lithium batteries". Journal of Power Sources. 165 (2): 559–565. doi:10.1016/j.jpowsour.2006.10.040.
- ^ "Hybrid Develops New "Superlattice Structure" Lithium Battery Capable of Increasing Drive Ranges in Excess of 200 Miles". Hybrid Technologies. US. 2008-02-24. Archived from the original on 2008-03-02.
- ^ "New Data Shows Heat & Fast-Charging Responsible For More Battery Degradation Than Age Or Mileage". CleanTechnica. 16 December 2019.
- ^ (in en)GMC Hummer EV's Battery is Heavier Than a Mazda3, https://www.guideautoweb.com/en/articles/64706/gmc-hummer-ev-s-battery-is-heavier-than-a-mazda3, retrieved on 2022-06-28
- ^ أ ب "Electric vehicles, second life batteries, and their effect on the power sector | McKinsey". www.mckinsey.com. Retrieved 2021-05-10.
- ^ Zhao, Yanyan; Pohl, Oliver; Bhatt, Anand I.; Collis, Gavin E.; Mahon, Peter J.; Rüther, Thomas; Hollenkamp, Anthony F. (2021-03-09). "A Review on Battery Market Trends, Second-Life Reuse, and Recycling". Sustainable Chemistry. 2 (1): 167–205. doi:10.3390/suschem2010011. ISSN 2673-4079.
- ^ Xu, Chengjian; Dai, Qiang; Gaines, Linda; Hu, Mingming; Tukker, Arnold; Steubing, Bernhard (December 2020). "Future material demand for automotive lithium-based batteries". Communications Materials. 1 (1): 99. Bibcode:2020CoMat...1...99X. doi:10.1038/s43246-020-00095-x. hdl:1887/138961. ISSN 2662-4443.
- ^ أ ب ت ث Ciez, Rebecca E.; Whitacre, J. F. (February 2019). "Examining different recycling processes for lithium-ion batteries". Nature Sustainability. 2 (2): 148–156. doi:10.1038/s41893-019-0222-5. ISSN 2398-9629. S2CID 188116440.
- ^ Schmuch, Richard; Wagner, Ralf; Hörpel, Gerhard; Placke, Tobias; Winter, Martin (April 2018). "Performance and cost of materials for lithium-based rechargeable automotive batteries". Nature Energy. 3 (4): 267–278. Bibcode:2018NatEn...3..267S. doi:10.1038/s41560-018-0107-2. ISSN 2058-7546. S2CID 139370819.
- ^ أ ب ت ث ج ح خ د Global EV Outlook 2020. Global EV Outlook. 2020-06-18. doi:10.1787/d394399e-en. ISBN 9789264616226. S2CID 242162623.
- ^ Assessment of Technologies for Improving Light-Duty Vehicle Fuel Economyâ€"2025-2035. The National Academies Press. 2021. doi:10.17226/26092. ISBN 978-0-309-37122-3. S2CID 234202631.
- ^ أ ب Harper, Gavin; Sommerville, Roberto; Kendrick, Emma; Driscoll, Laura; Slater, Peter; Stolkin, Rustam; Walton, Allan; Christensen, Paul; Heidrich, Oliver; Lambert, Simon; Abbott, Andrew (2019-11-06). "Recycling lithium-ion batteries from electric vehicles". Nature. 575 (7781): 75–86. Bibcode:2019Natur.575...75H. doi:10.1038/s41586-019-1682-5. ISSN 0028-0836. PMID 31695206.
- ^ Jacoby, Mitch (July 14, 2019). "It's time to get serious about recycling lithium-ion batteries". Chemical & Engineering News.
- ^ Manzetti, Sergio; Mariasiu, Florin (2015-11-01). "Electric vehicle battery technologies: From present state to future systems". Renewable and Sustainable Energy Reviews (in الإنجليزية). 51: 1004–1012. doi:10.1016/j.rser.2015.07.010. ISSN 1364-0321.
- ^ Author, Not Given (2019-04-01). "FY2018 Batteries Annual Progress Report". doi:10.2172/1525362. OSTI 1525362. S2CID 243075830.
{{cite journal}}
:|last=
has generic name (help); Cite journal requires|journal=
(help) - ^ Månberger, André; Stenqvist, Björn (2018-08-01). "Global metal flows in the renewable energy transition: Exploring the effects of substitutes, technological mix and development". Energy Policy (in الإنجليزية). 119: 226–241. doi:10.1016/j.enpol.2018.04.056. ISSN 0301-4215. S2CID 52227957.
- ^ "Move to net zero 'inevitably means more mining'". BBC News (in الإنجليزية البريطانية). 2021-05-24. Retrieved 2021-06-16.
- ^ Newburger, Emma. "White House rolls out $5 billion funding plan to states for electric vehicle chargers". CNBC (in الإنجليزية). Retrieved 2022-12-02.
- ^ "The Role of Critical Minerals in Clean Energy Transitions – Analysis". IEA (in الإنجليزية البريطانية). Archived from the original on 2021-06-17. Retrieved 2021-06-16. Alt URL[dead link]
- ^ Ziegler, Micah S.; Trancik, Jessika E. (2021). "Re-examining rates of lithium-ion battery technology improvement and cost decline". Energy & Environmental Science (in الإنجليزية). 14 (4): 1635–1651. doi:10.1039/D0EE02681F. hdl:1721.1/132660. ISSN 1754-5692. S2CID 220830992.
- ^ "The price of batteries has declined by 97% in the last three decades". Our World in Data. Retrieved 2022-04-26.
- ^ أ ب Bredsdorff, Magnus (2010-06-22). "Et batteri til en elbil koster 60.000 kroner" [Electrical Vehicle battery costs $10,000]. Ingeniøren (in الدانمركية). Retrieved 2017-01-30.
- ^ Bredsdorff, Magnus (2010-06-22). "EV batteries still prototypes". Ingeniøren (in الدانمركية). Denmark. Archived from the original on 25 June 2010. Retrieved 2010-06-22.
- ^ National Research Council (2010). Transitions to Alternative Transportation Technologies--Plug-in Hybrid Electric Vehicles. The National Academies Press. doi:10.17226/12826. ISBN 978-0-309-14850-4. Archived from the original on 2011-06-07. Retrieved 2010-03-03.
- ^ Jad Mouawad and Kate Galbraith (2009-12-14). "Study Says Big Impact of the Plug-In Hybrid Will Be Decades Away". New York Times. Retrieved 2010-03-04.
- ^ Tommy McCall (2011-06-25). "THE PRICE OF BATTERIES" (PDF). MIT Technology Review. Retrieved 2017-05-05.
- ^ Siddiq Khan and Martin Kushler (June 2013). "Plug-in Electric Vehicles: Challenges and Opportunities" (PDF). American Council for an Energy-Efficient Economy. Retrieved 2013-07-09. ACEEE Report Number T133.
- ^ Gibbs, Nick (2017-01-02). "Automakers hunt for battery cell capacity to deliver on bullish EV targets". Automotive News. Archived from the original on 2017-01-09. Retrieved 2017-01-09.
- ^ أ ب ت Cobb, Jeff (2015-10-02). "Chevy Bolt Production Confirmed For 2016". Hybrid cars. Retrieved 2015-12-14.
- ^ Randall, Tom (2016-02-25). "Here's How Electric Cars Will Cause the Next Oil Crisis". Bloomberg News. Retrieved 2016-02-26. See embedded video.
- ^ Bloomberg New Energy Finance (2016-02-25). "Here's How Electric Cars Will Cause the Next Oil Crisis" (Press release). London and New York: PR Newswire. Retrieved 2016-02-26.
- ^ Firth, James (2021-11-30). "Battery Price Declines Slow Down in Latest Pricing Survey". Bloomberg Green. Bloomberg News. Retrieved 2021-12-01.
- ^ Dalløkken, Per Erlien (2016-12-23). "Her produseres elbilen og bensinbilen på samme linje" [Electric car and petrol truck produced on the same line]. Teknisk Ukeblad (in النرويجية). Norway. Retrieved 2018-08-16.
- ^ "Tesla to Miss 2020 Delivery Target by 40%, Analyst Forecasts". greentechmedia.com. 2014-12-17. Retrieved 2015-01-28.
Tesla's current batteries cost $200-$300 per kilowatt hour.
- ^ "Battery technology charges ahead | McKinsey & Company". mckinsey.com. Archived from the original on 22 January 2014. Retrieved 2014-02-01.
- ^ "Lithium-ion battery costs will still be about $400/kW⋅h by 2020". green.autoblog.com. Retrieved 2014-02-01.
- ^ أ ب ت "McKinsey: Lithium Ion Battery Prices to Reach $200/kW⋅h by 2020 | PluginCars.com". plugincars.com. Retrieved 2014-02-01.
- ^ أ ب "Tesla Debacle Highlights Need For New EV Battery Technology - Forbes". forbes.com. Retrieved 2014-02-01.
- ^ "WSJ: Nissan Leaf profitable by year three; battery cost closer to $18,000". green.autoblog.com. Retrieved 2014-02-01.
- ^ Anderman, Menahem (2003). "Brief Assessment of Improvements in EV BatteryTechnology since the BTAP June 2000 Report" (PDF). California Air Resources Board. Archived from the original (PDF) on 4 March 2016. Retrieved 2018-08-16.
- ^ "GM, Chevron and CARB killed the NiMH EV once, will do so again". ev1.org. Retrieved 2014-02-01.
- ^ أ ب "Race to Net Zero: The Pressures of the Battery Boom in Five Charts". 21 July 2022. Archived from the original on 7 September 2023.
- ^ Simonsen, Torben (2010-09-23). "Density up, price down". Electronic Business (in الدانمركية). Archived from the original on 2010-09-25. Retrieved 2010-09-24.
- ^ "Addax, c'est belge, utilitaire, électrique… et cocasse". L'Echo (in الفرنسية). 2018-04-06. Retrieved 2018-04-11.
- ^ "Electric Car Battery Prices on Track to Drop 70% by 2015, Says Energy Secretary : TreeHugger". treehugger.com. Retrieved 2014-02-01.
- ^ Klayman, Ben (2012-01-11). "Electric vehicle battery costs coming down: Chu". Reuters. Retrieved 2016-12-04.
- ^ Daniel Kammen, Samuel M Arons, Derek Lemoine, Holmes Hummel (November 2008). "Cost-Effectiveness of Greenhouse Gas Emission Reductions from Plug-In Hybrid Electric Vehicles". Goldman School of Public Policy Working Paper: GSPP08-014. Retrieved 2021-09-16.
{{cite web}}
: CS1 maint: multiple names: authors list (link) - ^ أ ب "Nissan Leaf profitable by year three; battery cost closer to $18,000". AutoblogGreen. 2010-05-15. Retrieved 2010-05-15.
- ^ Russell Hensley, John Newman, and Matt Rogers (July 2012). "Battery technology charges ahead". McKinsey & Company. Archived from the original on 2017-01-09. Retrieved 2017-01-12.
{{cite web}}
: CS1 maint: multiple names: authors list (link) - ^ Lambert, Fred (2017-01-30). "Electric vehicle battery cost dropped 80% in 6 years down to $227/kWh – Tesla claims to be below $190/kWh". Electrek. Retrieved 2017-01-30.
- ^ "Google Answers: Driving range for cars". Retrieved 2014-02-01.
- ^ أ ب Bonges, Henry A.; Lusk, Anne C. (2016-01-01). "Addressing electric vehicle (EV) sales and range anxiety through parking layout, policy and regulation". Transportation Research Part A: Policy and Practice (in الإنجليزية). 83: 63–73. doi:10.1016/j.tra.2015.09.011. ISSN 0965-8564.
- ^ Okada, Shigeru Sato & Yuji (2009-03-08). "EU, Japan may study advanced solar cells | Business Standard". Business Standard India. business-standard.com. Retrieved 2014-02-01.
- ^ Mitchell, T. (2003), AC Propulsion Debuts tzero with LiIon Battery (press release), AC Propulsion, http://www.acpropulsion.com/LiIon_tzero_release.pdf, retrieved on 2009-04-25
- ^ Lienert, Dan (2003-10-21), The World's Fastest Electric Car, https://www.forbes.com/2003/10/21/cx_dl_1021vow.html, retrieved on 2009-09-21
- ^ "Leaders of Yancheng Political Consultative Conference investigated Zonda New Energy Bus - ZondaBus". Archived from the original on 2012-03-06. Retrieved 2010-07-28. قام قادة مؤتمر يانتشنگ الاستشاري السياسي بالتحقق من حافلة زوندا نيو إنرجزي
- ^ "40(min) / 15(min 80%)". byd-auto.net. Archived from the original on 2016-02-06.
- ^ Duan, X.; Naterer, G. F. (2010-11-01). "Heat transfer in phase change materials for thermal management of electric vehicle battery modules". International Journal of Heat and Mass Transfer (in الإنجليزية). 53 (23): 5176–5182. doi:10.1016/j.ijheatmasstransfer.2010.07.044. ISSN 0017-9310.
- ^ أ ب ت ث "PHEV, HEV, and EV Battery Pack Testing in a Manufacturing Environment | DMC, Inc". www.dmcinfo.com.
- ^ أ ب "Leader of Battery Safety & Battery Regulation Programs - PBRA" (PDF). Archived from the original on 7 October 2011. Retrieved 2020-09-07.
- ^ Coren, Michael J. (15 December 2019). "Fast charging is not a friend of electric car batteries". Quartz (in الإنجليزية). Retrieved 2020-04-26.
- ^ "How Long Does It Take to Charge an Electric Car?". J.D. Power (in الإنجليزية). Retrieved 2020-04-26.
- ^ "Neue Stromtankstelle: Elektroautos laden in 20 Minuten". golem.de (in الألمانية). 2011-09-15.
- ^ Lübbehüsen, Hanne (2013-10-24). "Elektroauto: Tesla errichtet Gratis-Schnellladestationen" [Electric car: Tesla builds free fast charging stations]. ZEIT ONLINE (in الألمانية). German. Retrieved 2019-12-15.
- ^ Die Akkus im Renault Zoe können in der schnellsten von vier Ladegeschwindigkeiten in 30 Minuten bis zu 80 Prozent aufgeladen werden, bild.de
- ^ Mit einem Schnellladegerät lässt sich der Akku des i3 in nur 30 Minuten zu 80 Prozent aufladen, golem.de
- ^ "Tesla Model 3 V3 Supercharging Times: 2% To 100% State of Charge (Video)". CleanTechnica (in الإنجليزية الأمريكية). 2019-11-18. Retrieved 2020-04-26.
- ^ "Site homepage". Retrieved 2016-12-10 – via scitation.aip.org.
{{cite journal}}
: Cite journal requires|journal=
(help) - ^ أ ب "Car Companies' Head-on Competition In Electric Vehicle Charging." (Website). The Auto Channel, 1998-11-24. Retrieved on 2007-08-21.
- ^ "Open Charge Map - Statistics". openchargemap.org. Retrieved 2020-04-26.
- ^ Mitchell, T (2003). "AC Propulsion Debuts tzero with LiIon Battery" (PDF) (Press release). AC Propulsion. Archived from the original (PDF) on 2003-10-07. Retrieved 2006-07-05.
- ^ Gergely, Andras (2007-06-21). "Lithium batteries power hybrid cars of future: Saft". Reuters. US. Retrieved 2007-06-22.
- ^ Gunther, Marc (2009-04-13). "Warren Buffett takes charge". CNN. US. Retrieved 2017-02-11.
- ^ "US NREL: Electric Vehicle Battery Thermal Issues and Thermal Management" (PDF).
- ^ "Electric cars wait in the wings". Manawatu Standard. 2008-09-17. Retrieved 2011-09-29.
- ^ "Volkswagen Says 'No' to Battery Swapping, 'Yes' to Electrics in U.S. : Greentech Media". greentechmedia.com. 2009-09-17. Retrieved 2014-02-01.
- ^ "What's Hot: Car News, Photos, Videos & Road Tests | Edmunds.com". blogs.edmunds.com. Archived from the original on 2012-07-07. Retrieved 2014-02-01.
- ^ أ ب "Battery swap model ?won?t work? | carsguide.com.au". carsguide.com.au. Retrieved 2014-03-03.
- ^ Walford, Lynn (2014-07-18). "Are EV batteries safe? Electric car batteries can be safer than gas cars". auto connected car. Retrieved 2014-07-22.
- ^ "ECD Ovonics Amended General Statement of Beneficial Ownership". 2004-12-02. Archived from the original on 2009-07-29. Retrieved 2009-10-08.
- ^ "ECD Ovonics 10-Q Quarterly Report for the period ending March 31, 2008". 2008-03-31. Archived from the original on 2009-07-28. Retrieved 2009-10-08.
- ^ "EU approves 3.2 billion euro state aid for battery research". Reuters (in الإنجليزية). 2019-12-09. Retrieved 2019-12-10.
- ^ "StackPath". www.tdworld.com. Retrieved 2019-12-10.
- ^ Wang, Chwei-Sen; Stielau, O.H.; Covic, G.A. (October 2005). "Design considerations for a contactless electric vehicle battery charger". IEEE Transactions on Industrial Electronics. 52 (5): 1308–1314. doi:10.1109/TIE.2005.855672. ISSN 1557-9948. S2CID 13046022.
- ^ "Indonesia to produce EV batteries by 2022 - report". 19 December 2019.
- ^ "Factbox: Plans for electric vehicle battery production in Europe". Reuters. 9 November 2018 – via www.reuters.com.
- ^ "European battery production to receive financial boost | DW | 02.05.2019". DW.COM.
- ^ "France and Germany commit to European electric battery industry". Reuters. 2 May 2019 – via www.reuters.com.
- ^ "Europe aims to take its place on the global EV battery production stage". 28 March 2019.
- ^ "CATL Plans Massive Increase In European Battery Production". CleanTechnica. 27 June 2019.
- ^ "The 2040 outlook for EV battery manufacturing | McKinsey". www.mckinsey.com.
- ^ "EU aims to become powerhouse of battery production | Platts Insight". blogs.platts.com.
- ^ Wald, Matthew L. (2008-01-13). "Closing the Power Gap Between a Hybrid's Supply and Demand". The New York Times. Retrieved 2010-05-01.
- ^ "Archived copy" (PDF). Archived from the original (PDF) on 2012-02-29. Retrieved 2009-11-09.
{{cite web}}
: CS1 maint: archived copy as title (link) - ^ Lambert, Fred (2020-01-21). "Elon Musk: Tesla acquisition of Maxwell is going to have a very big impact on batteries". Electrek (in الإنجليزية الأمريكية). Retrieved 2020-04-26.
- ^ Langbroek, Joram H. M.; Franklin, Joel P.; Susilo, Yusak O. (2016-07-01). "The effect of policy incentives on electric vehicle adoption". Energy Policy (in الإنجليزية). 94: 94–103. doi:10.1016/j.enpol.2016.03.050. ISSN 0301-4215.
- ^ "Recovery Act Announcement: President Obama Announces $2.4 Billion in Grants to Accelerate the Manufacturing and Deployment of the Next Generation of U.S. Batteries and Electric Vehicles". EERE News. U.S. Department of Energy. 2009-08-05. Archived from the original on 2009-08-26.
- ^ a consortium of Dow Chemical, Kokam America, SAIL Venture Partners, and Townsend Ventures
- ^ "Battery Separator - Battery Separators, Battery Membrane | Celgard". celgard.com. Retrieved 2014-02-01.
- ^ "Celgard | Press Releases | In The News". celgard.com. Retrieved 2014-02-01.
- ^ "Archived copy" (PDF). Archived from the original (PDF) on 2010-11-28. Retrieved 2009-08-07.
{{cite web}}
: CS1 maint: archived copy as title (link) - ^ "08/05/2009: EPA Administrator announces $95 million in Recovery Act funds to unleash American innovation and create jobs in Florida;". archive.epa.gov. Retrieved 2020-04-26.
- ^ "EAST PENN manufacturing co., inc.: Lead-Acid Batteries; Battery Manufacturers; Thousands of Different Types of Batteries, Cable & Wire Product". eastpenn-deka.com. Retrieved 2014-02-01.
- ^ "2.4 Billion in Grants to Accelerate the Manufacturing and Deployment of the Next Generation of US Batteries and Electric Vehicles". The White House (in الإنجليزية). Retrieved 2020-04-26.
- ^ Natter, Ari; Leonard, Jenny (2022-05-02). "Biden's Team Puts Up Over $3 Billion to Boost U.S. Battery Output". Bloomberg News. Retrieved 2022-05-02.
- ^ Weisbrod, Katelyn (2022-10-27). "The EV Battery Boom Is Here, With Manufacturers Investing Billions in Midwest Factories". Inside Climate News (in الإنجليزية الأمريكية). Retrieved 2022-10-29.
- ^ Lewis, Michelle (2022-10-13). "Here's where the new US EV 'Battery Belt' is forming – and why". Electrek (in الإنجليزية الأمريكية). Retrieved 2022-10-29.
- ^ Bjerkan, Kristin Ystmark; Nørbech, Tom E.; Nordtømme, Marianne Elvsaas (2016-03-01). "Incentives for promoting Battery Electric Vehicle (BEV) adoption in Norway". Transportation Research Part D: Transport and Environment (in الإنجليزية). 43: 169–180. doi:10.1016/j.trd.2015.12.002. ISSN 1361-9209.
وصلات خارجية
- CS1 الإنجليزية الأمريكية-language sources (en-us)
- CS1 errors: generic name
- CS1 الإنجليزية البريطانية-language sources (en-gb)
- Articles with dead external links from November 2022
- CS1 الدانمركية-language sources (da)
- CS1 النرويجية-language sources (no)
- CS1 الفرنسية-language sources (fr)
- CS1 الألمانية-language sources (de)
- Articles with long short description
- Short description is different from Wikidata
- Articles containing إنگليزية-language text
- Pages using Lang-xx templates
- Articles with unsourced statements from September 2007
- Articles with hatnote templates targeting a nonexistent page
- Articles with unsourced statements from January 2012
- Articles with unsourced statements from November 2018
- جميع الصفحات التي تحتاج تنظيف
- مقالات بالمعرفة تحتاج توضيح from November 2018
- Articles with broken excerpts
- مقالات ذات عبارات بحاجة لمصادر
- مقالات بالمعرفة تحتاج توضيح from April 2011
- Articles with unsourced statements from January 2022
- Articles with unsourced statements from July 2014
- تقنيات المركبات الكهربائية
- بطاريات يعاد شحنها
- تطبيقات البطارية