حمض
الحمض (إنجليزية : Acid) (يمثل عادة بالصيغة HA) قديما كانت صفة حمض تطلق على أي مركب كيميائى يعطي محلول درجة حموضته أقل من 7,0 عند إذابته في الماء.
وكثير من الأحماض توجد بصورة طبيعية، وبعضها ضروري للحياة. فحمض الهيدروكلوريك (HCl) على سبيل المثال يتم إنتاجه في المعدة ويعين على الهضم. وتُستخدم الأحماض كذلك وبصورةٍ واسعةٍ في الصناعة، وهي جزء من عددٍ ضخم من الأطعمة والمشروبات. وعلى كل حال، فإنّ كثيراً من الأحماض سامّة، وبإمكان الأحماض القويّة أن تسبب حروقاً حادة. [1]
تعريفات
مقالة مفصلة: تفاعل حمض-قلوي
يعرف الحمض على أنه أيُّ من مجموعة مركبات كيميائية تشترك في خواص مماثلة. ولمحاليل الأحماض مذاق حمضي وتنتج إحساسًا حارقًا إذا ما لامست الجلد . وتذيب الأحماض عدة فلزات وتحول ورق دوار الشمس الأزرق إلى اللون الأحمر. وتقوم المركّبات الكيميائية المسمّاة القواعد أو القلويات بتحييد الأحماض.
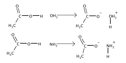
يستعمل الكيميائيون عدة تعريفات لوصف سلوك الأحماض . فإذا كان الماء هو المذيب، فإنّ الحمض يتم تعريفه في الغالب على أنه مركّب يعطي عند إذابته أيونات الهيدروجين (H+) في المحلول. وتتكون ذرة الهيدروجين من بروتون واحد مشحون بشحنة كهربائية موجبة وإلكترون واحد مشحون بشحنة كهربائية سالبة. وأيون الهيدورجين بروتون يتكون حين تفقد ذرّة الهيدروجين إلكترونها. وفي المحلول يتحد البروتون بشدة مع جزيئات المذيب مكونًا أيونات الهيدرونيوم. (H3O+).
ويمكن تعريف الحمض أيضًا بأنه مادة تعمل كمانح للبروتون ـ بمعنى أنها تتخلى بسهولة عن البروتون لمادةٍ أخرى. وعلى كل، فإنّ الأحماض تُعرف بصورةٍ واسعة بوصفها مركبات قابلة للزوج الإلكتروني. يصف هذا التعريف كل الأحماض، بما في ذلك الأحماض التي ليس لها هيدروجين تطلقه، والتي لاتعمل مانحة للبروتون. يقبل الحمض زوجاً من الإلكترونات من ذرة أخرى أو جزيء؛ وفي مثل هذه الحالات، يشكّل الحمض ومانح الزوج الإلكتروني جزيئًا جديدًا يشاركان فيها الإلكترونات .
التفكك والتوازن
التسمية
نظام التسمية الكلاسيكية:
Anion Prefix | Anion Suffix | Acid Prefix | Acid Suffix | Example |
---|---|---|---|---|
per | ate | per | ic acid | perchloric acid (HClO4) |
ate | ic acid | chloric acid (HClO3) | ||
ite | ous acid | chlorous acid (HClO2) | ||
hypo | ite | hypo | ous acid | hypochlorous acid (HClO) |
ide | hydro | ic acid | hydrochloric acid (HCl) |
الخصائص
قوة الحمْض
مقالة مفصلة: قوة الحمض
تعتمد على الدرجة التي يتفكك (يتكسّر) بها الحمض في محلول لتكوين أيونات الهيدروجين. ففي محلول الماء على سبيل المثال، يطلق كل جزيء من كلوريد الهيدروجين (HCl) أيون هيدروجين لتكوين حمض الهيدروكلوريك. ولذا فإن حمض الهيدروكلوريك يُعدُّ حمضًا قويًا. ويكوِّن حمض الخل (CH3COOH) قليلاً من أيونات الهيدروجين في المحلول . فهو إذن حمض ضعيف .
أنماط الحموض
يدعى الجذر (A) في الجزيء الحمضي بجذر الحمض ويمكن أن يكون:
أ ـ عنصراً أو شاردة عنصرية سالبة مثل:
1 ـ الحموض الهالوجينية الهدروجينية (حمض كلور الماء HCl)
2 ـ حمض كبريت الهدروجين H2S
ب ـ شاردة معقدة لاعضوية لا أكسجينية سالبة مثل:
1ـ حمض آزوت ماء HN3
2حموض الحاوية على السيانوجين CN كحمض سيان الماء HCN وما شابهه.
ج ـ شاردة معقدة سالبة لا عضوية أكسجينية مثل:
1ـ الحموض الهالوجينية والتي تشمل حموض: تحت هالو - هالو - فوق هالو (حمض تحت كلوري HOCl - حمض الكلور HO3Cl - حمض فوق الكلور HO4Cl).
2ـ الحموض غير هالوجينية:
2ـ1ـ كبريتية (حمض الكبريت H2SO4)
2ـ2ـ سيلينية (حمض السيليني H2SeO3)
2ـ3ـ تللورية (حمض التللوري H2TeO3)
2ـ4ـ نتروجينية (حمض الآزوت HNO3)
2ـ5ـ فوسفورية (حمض الفوسفور H3PO4)
2ـ6ـ زرنيخية (حمض الزرنيخ H3ASO4)
2ـ7ـ أنتموانية (حمض الأنتموان H3SbO4)
2ـ8ـ كربونية (حمض الكربون H2SO3)
2ـ9ـ حموض لعناصر أخرى كالسيليس والقصدير والرصاص والبزموت والبور والألمنيوم والتوتياء والمنغنيز والكروم والموليبدنيوم والتنغستين.
الخصائص الكيميائية
Monoprotic acids
Polyprotic acids
المعادلة

توازن حمض ضعيف/قاعدة ضعيفة
مقالة مفصلة: معادلة هندرسون، هاسلبالگ
أهم مشتقات الحموض
أ - أملاح لا عضوية وعضوية
ب - مشتقات هالوجينية عضوية
ت - إيستيرات (بما فيها اللاكتونات)
ث - الأميدات
ج - كلور الحمض
ح - بلا ماء الحمض
طرق الحصول على الحموض
أ - الاستخلاص
ب - تحويل المركبات بعضها إلى بعضها الآخر
ج - الاختمارات السكرية
د - الاصطناع الكيميائي
تطبيقات الأحماض
Acid catalysis
في المجال التحليلي
1- تحضير محاليل حامضة عيارية تُستخدم في معايرة المواد القلوية اعتماداً على خاصة تعديلها بالحموض.
2- تحضير مشعرات الحموضة والقلوية: إن هذه المشعرات من النمط (Ar-R) غالباً وهي حموض ضعيفة حيث يكون لون الجزيء الكامل غير المتشرد من لون يختلف عن لون الشاردة السالبة (A-)، وتستخدم هذه المشعرات في كشف الحموضة والقلوية ومعايرتها.
3- تحضير الوقاءات buffers: إن كلمة وقاء أو دارئ يطلق على مزيج محلول حمض ضعيف (حمض الخل) مع محلول ملح صودي لهذا الحمض الضعيف (خلات الصوديوم). إن الوقاءات ضرورية لعمل الأنزيمات في الخلية الحية وفي أعمال التحليل الكيميائي بصورة عامة.
في المجال الصناعي
هناك جملة واسعة من الحموض المستخدمة في الصناعة عالمياً والتي تقدر بمئات آلاف الأطنان سنوياً وتُذكر بعض الأمثلة على ذلك:
1 - الصناعات البتروكيميائية
2 - صناعة الطلاءات والدهانات
3 - صناعة الأنسجة والحرير الصناعي
4 - صناعة الأسمدة
5 - صناعة المواد البلاستيكية ومبادلات الشوارد
6 - صناعة المبيدات الحشرية والعشبية والفطرية
7 - صناعة الصوابين والمنظفات
8 - صناعة العطور
ج ـ في المجال الدوائي:
1 - اصطناع السلفاميدات المضادة للإنتان والخافضة لسكر الدم
2 - اصطناع الصادات
3 - اصطناع المنومات الباربيتورية
4 - عدد كبير من المركبات الدوائية الأخرى
د ـ في المجال الغذائي:
1 - تحضير العصارات النباتية الحامضة وتحضير العصارات الحامضة الاصطناعية
2 - استخدام الحموض في صناعة الألبان والأجبان
3 - استخدام الحموض في حفظ المواد الغذائية
4 - استعمالات أخرى متعددة
التواجد في الطبيعية

أنواع الأحماض
الأحماض غير العضوية
وهي لاتحتوي عموماً على ذرات الكربون. ومعظم الأحماض غير العضوية أحماض قوية، وتُستخدم في إنتاج كيميائيات أخرى ومتفجرات وأسمدة وفلزات وطلاءات ومواد بلاستيكية وألياف اصطناعية وفي تكرير النفط. ويعدُّ حمض الكبريتيك ( H2 SO4) ـ وهو حمض غير عضوي قوي ـ إحدى المواد الكيميائية كثيرة الاستعمال. وأحد استخدامات حمض الكبريتيك المألوفة هو استخدامه كمادة سائلة في بطاريات السيارات. وتشمل بعض الأحماض غير العضوية الأخرى حمض الهيدروكلوريك وحمض النيتريك HNO3 وحمض الفوسفوريك (H3PO4).
الأحماض العضوية
وهي تحتوي على ذرات الكربون، وتُستخدم في المشروبات وأدوات التجميل والمطهرات والأطعمة والعقاقير والمواد البلاستيكية وأنواع الصابون. وتشمل الأحماض العضوية العامة حمض الليمونيك (الستريك) (C6H8O7) الذي يوجد في الفواكه الحمضية (من فصيلة الليمون) وحمض الأسكوربيك C6H8O6 أو فيتامين سي وحمض أستيل السالسليك (C9H8O4) أو الأسبيرين. وتُعَدُّ الأحماض الأمينية التي تحتوي على النيتروجين أحماضاً عضوية كذلك. كما أن الأحماض الأمينية تعد الكتل البنائية للبروتينات، وبعضها ضروري للحياة البشرية.محمود دلول. "الحموض". الموسوعة العربية.
الأحماض الشائعة
الأحماض المعدنية (الأحماض غير العضوية)
- Hydrogen halides and their solutions, such as hydrochloric acid (HCl) and hydrobromic acid (HBr)
- Sulfuric acid (H2SO4)
- Nitric acid (HNO3)
- Phosphoric acid (H3PO4)
- Chromic acid (H2CrO4)
أحماض السلفونيك
أحماض كبريتية
- Methanesulfonic acid (aka mesylic acid) (MeSO3H)
- Ethanesulfonic acid (aka esylic acid) (EtSO3H)
- Benzenesulfonic acid (aka besylic acid) (PhSO3H)
- Toluenesulfonic acid (aka tosylic acid, or (C6H4(CH3) (SO3H))
أحماض كربوكسيلية
Vinylogous أحماض كربوكسيلية
الأحماض النووية
انظر أيضا
- كيماء
- بيئة
المصادر
![]() | This article includes a list of references, but its sources remain unclear because it has insufficient inline citations. (May 2009) |
- Listing of strengths of common acids and bases
- Zumdahl, Chemistry, 4th Edition.
- Ebbing, D.D., & Gammon, S. D. (2005). General chemistry (8th ed.). Boston, MA: Houghton Mifflin. ISBN 0-618-51177-6
- Pavia, D.L., Lampman, G.M., & Kriz, G.S. (2004). Organic chemistry volume 1: Organic chemistry 351. Mason, OH: Cenage Learning. ISBN 978-0-7593-4272-4 قالب:Please check ISBN
وصلات خارجية
- Science Aid: Acids and Bases Information for High School students
- UC Berkeley video lecture on acids and bases
- Curtipot: Acid-Base equilibria diagrams, pH calculation and titration curves simulation and analysis - freeware
- A summary of the Properties of Acids for the beginning chemistry student
- The UN ECE Convention on Long-Range Transboundary Air Pollution