ثنائي الوحدات
(تم التحويل من دايمر)

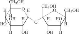
السكروز, أو سكر المائدة العادي, يتكون من جلوكوز وفركتوز.
فى الكيمياء ثنائي الوحدات Dimer هو جزيء يتكون من وحدتان متشابهتان أو مونومران مرتبطان معا. وهو حالة خاصة من البوليمرات. ومن بين أشهر ثنائيات الواحدات السكر, السكروز, والسكروز ثنائي وحدات يتكون من جزيء جلوكوز وجزيء فركتوز.
ثنائي الوحدات في الفيزياء هو مصطلح مخصص في حالة أن التجاذب البين جزيئي يعمل على تقريب جزيئين لمسافة أقرب من باقي الجزيئات. ولا توجد رابطة كيميائية بين ثنائي الوحدات الفيزيائي.
وفى الأحياء, فإن ثنائي الوحدات هو بروتين معقد تم إنتاجه من وحدتين أصغر. وفى حالة أنه ثنائي وحدات متشابه فإن هذه الوحدات تكون متماثلة, أمل ثنائي الوحدات الغير متجانس فإن الوحدات تكون مختلفة (على الرغم من أنهم قد يكونوا متقاربين لبعض في البناء). ولا يشترط أن ترتبط هذه الوحدات تساهمياً، وغالبا ما لا يكونوا.
شاهد أيضا
المصادر
- ويكيبيديا الإنجليزية.
This article contains content from Wikimedia licensed under CC BY-SA 4.0. Please comply with the license terms.