هندريك لورنتس
هندريك أنتون لورنتس Hendrik Antoon Lorentz | |
|---|---|
| وُلِدَ | 18 يوليو 1853 |
| توفي | 4 فبراير 1928 (aged 74) |
| القومية | هولندا |
| المدرسة الأم | جامعة لايدن |
| عـُرِف بـ | تحويل لورنتس نظرية الاشعاع الكهرومغناطيسي قوة لورنتس انكماش لورنتس |
| الجوائز | جائزة نوبل في الفيزياء (1902) وسام رمفورد (1908) وسام فرانكلن (1917) وسام كوپلي (1918) |
| السيرة العلمية | |
| المجالات | فيزياء |
| المشرف على الدكتوراه | پيتر ريكه |
| طلاب الدكتوراه | گيرترويدا ل. ده هاس-لورنتس أدريان فوكر ليونارد أورنشتاين |
هندريك أنتون لورنتس Hendrik Antoon Lorentz (عاش 18 يوليو 1853، آرنهم – 4 فبراير 1928، هارلم) كان فيزيائياً هولندياً تقاسم جائزة نوبل في الفيزياء لعام 1902 مع پيتر زيمان للاكتشاف والشرج النظري لتأثير زيمان. كما اشتق أيضاً معادلات التحويل التي استعملها لاحقاً ألبرت أينشتاين ليصف الفراغ والزمن.
حصل على وسام رمفورد بعدها بست سنوات. في سنة 1917 فاز بوسام فرانكلن بفضل ابحاثه في طبيعة وبنية المادة وكانت آخر جوائزه وسام كوپلي سنة 1918. أشتهر بأبحاثه في الكهرومغناطيسية وترك بصمته فيها حتى أعطي اسمه لتحويلات لورينتس وهن أساس النظرية النسبية الخاصة.
تجدر الإشارة إلى الفيزيائي الدانمركي لودڤيگ لورنز والذي كان له أيضا ذاك الأثر في الكهرومغناطيسية وكانت العلاقة بين هذين العالمين رديئة للغاية خصوصا ان الكثير يمزج بين الإثنين.
سيرته
حياته المبكرة
ولد بمدينة آرنهم، خلدرلاند، في هولندا، وكان والده صاحب مشتل. وتوفيت والدته وهو ابن أربع سنين. بدت عليه معالم الذكاء منذ الصغر، دخل جامعة لايدن Leyden وحصل فيها على الإجازة في الرياضيات والفيزياء عام 1871، عاد بعدها إلى آرنهم حيث شرع يعلِّم فيها مساء ويُعِدُّ للحصول على شهادة الدكتوراه حول انعكاس الضوء وانكساره، وحاز وهو ابن اثنين وعشرين عاماً شهادة الدكتوراه، وعيِّن بعد تخرجه بثلاث سنين أستاذاً للفيزياء النظرية بجامعة لايدن.[1]
الحياة العملية
استاذ في ليدن
عام 1878، وعمره 24 عاماً، عـُيـِّن هندريك أنطون لورنتس أستاذاً للفيزياء النظرية بجامعة لايدن. وفي 25 يناير 1878، ألقى أولى محاضراته في نظريات الجزيئات في الفيزياء. في أول عشرين عام في ليدن، كان لورنتس مهتماً في المقام الأول بنظرية الكهرومغناطيسية لتفسير العلاقة بين الكهرباء، المغناطيسية، والضوء. بعد ذلك امتدت أبحاثه لمجالات أوسع بكثير بينما ظل مركزا في الفيزياء النظرية. من منشوراته، برزت اسهاماته في الميكانيكا، الديناميكا الحرارية، علم الموائع، نظريات الحركة، نظرية الحالة الصلبة، الضوء، والانتشار. أهم اسهاماته كانت في مجال الكهرومغناطيسية، نظرية الإلكترون، والنسبية.
وضع لورنتس نظرية تقول بأن الذرة قد تحتوى على جسيمات مشحونة واقترح ان تذبذب هذه الجسيمات هو مصدر الضوء. عندما قام زميله پيتر زيمان باكتشاف تأثير زيمان (1896)، أمد لورنتس ذلك الاكتشاف بالتفسير النظرى. وقد فازت اكتشافاتهما العملية والنظرية بجائزة نوبل في الفيزياء لعام 1902. وارتبط اسم لورنتس بصيغة لورنتس، قوة لورنتس، توزيع لورنتس، وتحويل لورنتس.
الديناميكا الكهربائية والنسبية
ركز لورنتس اهتماماته العلمية على توسيع آفاق نظرية ماكسويل في الكهرباء والضوء، وشرع يعالج ظاهرة انعكاس الضوء وانكساره منطلقاً من نظرية ماكسويل، وقاده ذلك إلى مفاهيم ثورية في بنية المادة.
نشر لورنتس عام 1878 بحثاً حول علاقة سرعة الضوء في الأوساط المادية بكثافتها، وتوصل هو والفيزيائي الدنماركي لورنز L.V. Lorenz إلى قانون عرف باسم قانون لورنتس-لورنز.
كما أسهم لورنتس في دراسة الأجسام المتحركة، واعتمدت تحويلاتٌ عُرِفت باسمه، تقدم بها عام 1904، على أن القوى الكهرمغنطيسية بين الشحنات تخضع إلى تغيرات طفيفة نتيجة حركة هذه الشحنات، الأمر الذي يؤدي إلى تقلص في أبعاد الجسم المتحرك، وبذلك مهَّد الطريق لأينشتاين ونظريته النسبية، وقد عرفت إسهاماته تلك باسم انكماش لورنتس-فتسجرالد Lorentz-Fitzgerald contraction
وفي عام 1919 سمي لورنتس رئيساً للجنة طُلِب منها دراسة تأثير أمواج البحر في الأراضي المكتسبة من البحر في هولندا. وقد عمل في هذه الدراسة مدة ثماني سنوات أنجز في أثنائها حسابات نظرية ثبتت صحتها بدقة فائقة، وتُعَدُّ إنجازاً بارزاً له في هندسة السوائل.
عُرف لورنتس بإتقانه عدة لغات، وبإدارته البارعة للِّقاءات والندوات العلمية وبدماثة خلقه، واختير عام 1923 ليكون عضواً في اللجنة الدولية للتعاون العلمي، وأصبح رئيساً لها عام 1925.
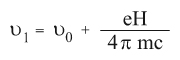
حصل لورنتز على جائزة نوبل عام 1902 مناصفة مع پيتر زيمان Pieter Zeeman، لاكتشافهما مفعول زيمان في الضوء، وهو مفعول يظهر بموجبه الخط الطيفي ذو التواتر υ0 لمنبع ضوئي موضوع في حقل مغنطيسي H عند النظر إليه بمطياف من اتجاه عمودي على اتجاه الحقل محاطاً بخطين آخرين تواتراهما υ1 وυ2 هما:
حيث e وm شحنة الإلكترون وكتلته على الترتيب، وc سرعة الضوء في الفراغ، وهذا ما يبينه الشكل (1).
انتخب لورنتز عضواً في الجمعية الملكية عام 1905.
لورنتس والنسبية الخاصة
في 1905، سيستخدم أينشتاين العديد من المفاهيم والأدوات والنتائج الرياضية التي تم نقاشها ليكتب ورقته المعنونة "في كهروديناميكا الأجسام المتحركة",[2] والتي تـُعرف اليوم بإسم نظرية النسبية الخاصة. ولأن لورنتس قد وضع أساسيات عمل أينشتاين، فتلك النظرية كانت تسمى في الأصل نظرية لورنتس-أينشتاين Lorentz-Einstein theory.[B 1]
لورنتس والنسبية العامة
تقييم الآخرين له
- پوانكاريه (1902) قال عن نظرية لورنتس في الديناميكا الكهربية:
إن نظرية لورنتز هي النظرية الأكثر شمولية;انها بلا شك أفضل نظرية لتفسير العديد من الحقائق، لقد استطاع التوصل للعديد من العلاقات... فالفضل يرجع للورنتس في ربط نتائج هيپوليت فيزو في علم بصريات الاجسام المتحركة بقوانين التشتت والامتصاص العادى والغير عادى... انظر كم كان سهلاً على ظاهرة زيمان اثبات فعاليتها، كما ساعدت أيضا على تصنيف نظرية فاراداي عن الدوران المغناطيسي، ما يعتبر تحدى لكل جهود جيمس كلرك ماكسويل.
- بول لانجفان (1911)قال عن لورنتز:
ان لورنتز جدير بان يرى المعادلات الأساسية للكهرومغناطيسية تعترف بمجموعة التحويلات التي تجعل من الممكن المرور من اطار مرجعى لاخر دون تغير للشكل، هذه التحويلات الجديدة لها أكبر تاثير في تحويلات الفراغ والوقت. لورنتس وإميل ويكرت (گوتنگن) حدثت بينهم مراسلات عدة عن الكهرومغناطيسية والنظرية النسبية، لورنتز كان يشرح أفكاره في رسائل لويكرت. هذه المراسلات بين لورنتز وويكرت قام بنشرها ويلفرد شرودر. لورنتز كان رئيس لأول مؤتمر سولڤاى انعقد في بروكسل في خريف 1911.بعد هذا المؤتمر بفترة قليلة، كتب هنري بوانكاريه مقال عن الفيزياء الكمية وذلك يوضح وضع لورنتز في ذلك الوقت. ... في كل لحظة (العشرين فيزيائى متعددى الجنسيات) كان يمكن سماعهم يتكلمون عن(الميكانيكا الكمية) التي تعارضت مع الميكانيكا القديمة. ولكن ما هي الميكانيكا القديمة؟ هل هي الميكانيكا من منظور نيوتن، الرجل الذي ما زال ملكاً متوجاً بلا منافس ونحن على مشارف نهاية القرن التاسع عشر؟ لا، إنها الميكانيكا من منظور لورنتس، الرجل الذي تعامل مع النسبية؛ الرجل الذي بدا عليه من خمسة أعوام إنه في قمة الجرأة.
- ألبرت اينشتاين (1953) كتب عن لورنتس:
بالنسبة لى شخصيا لقد عنى لى أكثر بكثير من غيره ممن قابلتهم في رحلة حياتى.
رغم ما يعرف عن لورنتز اهتمامه بالعمل على المبادئ النظرية، إلا أنه أيضا كان يهتم بالتطبيقات العملية. ففي الأعوام من 1918-1926، وبطلب من الحكومة الهولندية، ترأس لورنتس لجنة لحساب تأثير السد المقرر بناؤه لمواجهة الفيضانات على الأعمال البحرية الأخرى بهولندا. الهندسة الهيدروليكية في ذلك الوقت كانت علم تجريبي، ولكن اضطرابات المد والجزر التي تسبب فيها السد كانت غير مسبوقة مما جعل القوانين الناتجة عن تجارب أيضاً غير موثوق فيها. اقترح لورنتس البدء من المعادلات جريان الموائع الأساسية للحركة وحلها. هذه المهمة من الصعب أدائها إلا بحاسب آلى، بسبب طبيعة تدفق المياه في البحر. بدأ السد عمله عام 1933 وأثبتت توقعات لورنتز ولجنته دقتها. وقد سـُمِّي أحد الهويسين بهذا السد على اسم لورنتز.
حياته الخاصة
تزوج لورنتس عام 1881 ابنةً لأستاذ في أكاديمية الفنون الجميلة، ورزق من زوجته ابنتان وولد، وغدت إحدى بناته فيزيائية تزوجت من مدير مخبر درجات الحرارة المنخفضة بجامعة لايدن.
عام 1912، تقاعد لورنتز مبكرا ليصبح مديرا للبحوث بمتحف تيلرز في هارلم,إلا أنه ظل استاذ زائر بجامعة ليدن والقى محاضرات أسبوعية هناك. بول اهرينفست هو من تلاه في منصبه بجامعة ليدن، مؤسس معهد الفيزياء النظرية الذي أطلق عليه فيما بعد معهد لورنتز.بجانب جائزة نوبل, فاز لورنتز بالعديد من الجوائز لعمله البارز. وفي عام 1905، حصل لورنتس على زمالة الجمعية الملكية بالانتخاب. منحته الجمعية وسام رمفورد عام 1908 ووسام كوبلي عام 1918.
توفى لورنتس في هارلم، هولندا. ويظهر احترام هولندا له في وصف اوين ويلانز ريتشاردسون لجنازته:
الجنازة كانت في عصر الجمعة، 10 فبراير. لقد تم ايقاف خدمات التليفون والتلغراف لمدة ثلاث دقائق حداداً على أعظم رجل أنجبته هولندا. حضر الجنازة العديد من زملائه وفيزيائيين من بلاد عديدة. الرئيس، السير إرنست رذرفورد، ممثلا للجمعية الملكية، ألقى خطابا على قبر لورنتس مقدرا إنجازاته.
ذكراه
وصف اوين ويلانز ريتشاردسون للورنتس:
رجل ذو قوى فكرية رائعة... رغم استغراقه في أفكاره، إلا أنه دائما ما يدرك تشعبات تلك الأفكار في كل مكان في الكون... وضوح كتاباته يعكس قواه العظيمة... لقد امتلك الحيوية العقلية ووظفها بشكل ناجح في مناقشاته ومجادلاته، كما تميز بالبصيرة التي تمكنه من التغلب على الصعاب، كما تميز بالحكمة لقيادة المناقشة، لقد كان يقوم بذلك بمهارة عالية. لسنوات عديدة كان العلماء متشوقين بشدة لما سيقوله لورنتس عن أي نظرية جديدة، وحتى بلغ الثانية والسبعين، لم يخيب ظنهم.
ذكراه وتكريمه
- جائزة نوبل للفيزياء(1902)
- وسام رمفورد (1908)
- وسام كوپلي (1918)
انظر أيضا
المصادر
- ^ أحمد حصري. "لورنتز (هندريك أنطون -)". الموسوعة العربية. Retrieved 2012-09-01.
- ^ Einstein, Albert (1905), "Zur Elektrodynamik bewegter Körper", Annalen der Physik 322 (10): 891–921, doi:, Bibcode: 1905AnP...322..891E, http://www.physik.uni-augsburg.de/annalen/history/einstein-papers/1905_17_891-921.pdf. See also: English translation.
مصادر أولية
Many papers by Lorentz (mostly in English) are available for online viewing in the Proceedings of the Royal Netherlands Academy of Arts and Science, Amsterdam.
- Lorentz, Hendrik Antoon (1900), "Considerations on Gravitation", Proc. Acad. Science Amsterdam 2: 559–574, http://en.wikisource.org/wiki/Considerations_on_Gravitation
- Lorentz, Hendrik Antoon (1927–1931), Lectures on Theoretical Physics (vol. I-III), New York, [NY.]: Macmillan & Co., (Vol. I online)
مصادر ثانوية
- ^ Miller, Arthur I. (1981). Albert Einstein’s special theory of relativity. Emergence (1905) and early interpretation (1905–1911). Reading: Addison–Wesley. ISBN 0-201-04679-2.
خطأ استشهاد: الوسم <ref> ذو الاسم "Macrossan" المُعرّف في <references> غير مستخدم في النص السابق.
خطأ استشهاد: الوسم <ref> ذو الاسم "Przibram" المُعرّف في <references> غير مستخدم في النص السابق.
<ref> ذو الاسم "richardson" المُعرّف في <references> غير مستخدم في النص السابق.- de Haas-Lorentz, Geertruida L.; Fagginger Auer, Joh. C. (trans.) (1957), H.A. Lorentz: impressions of his life and work, Amsterdam: North-Holland Pub. Co.
- Langevin, Paul (1911), "L'évolution de l'espace et du temps", Scientia X: 31–54 :n.p.
- Poincaré, Henri (1900), "La théorie de Lorentz et le principe de réaction", Archives Néerlandaises des Sciences exactes et naturelles V: 253–278 See English translation.
- Poincaré, Henri (1902), La science et l'hypothèse, Paris, [France]: Ernest Flammarion : n.p.. The quotation is from the English translation (Poincaré, Henri (1952), Science and hypothesis, New York, [NY.]: Dover Publications, p. 175)
- Poincaré, Henri (1913), Dernières pensées, Paris, [France]: Ernest Flammarion :n.p.. The quotation in the article is from the English translation: (Poincaré, Henri; Bolduc, John W. (trans.) (1963), Mathematics and science: last essays, New York, [NY.]: Dover Publications :n.p.)
- Sri Kantha, S. Einstein and Lorentz. Nature, July 13, 1995; 376: 111. (Letter)
وصلات خارجية
- Publications of H.A. Lorentz
- Karl Grandin, ed. (1902). "Hendrik A. Lorentz Biography". Les Prix Nobel. The Nobel Foundation. Retrieved 2008-07-29.
{{cite web}}:|author=has generic name (help)
- Beenakker, Carlo, Lorentz and the Zuiderzee project, Leiden, [The Netherlands]: Instituut Lorentz, University of Leiden, http://ilorentz.org/history/zuiderzee/zuiderzee.html
- van Helden, Albert (1999), "Hendrik Antoon Lorentz 1853–1928", in van Berkel, Klaas; van Helden, Albert; Palm, Lodewijk (eds.), A History of Science in The Netherlands: Survey, Themes and Reference, Leiden, [The Netherlands]: Brill, pp. 514–518, ISBN 90-04-10006-7, http://www.historyofscience.nl/author.cfm?RecordId=5
- Kox, Anne J., Ph.D. students of H.A. Lorentz: 1881–1921, Leiden, [The Netherlands]: University of Leiden, http://www.lorentz.leidenuniv.nl/IL-publications/dissertations/lorentz.txt
- O'Connor, John J.; Robertson, Edmund F., Hendrik Lorentz, MacTutor History of Mathematics archive, http://www-history.mcs.st-andrews.ac.uk/Biographies/Lorentz.html, retrieved on 2008-05-01
- Movie of Lorentz's funeral
- Articles with hatnote templates targeting a nonexistent page
- Pages using infobox scientist with unknown parameters
- CS1 errors: generic name
- مواليد 1853
- وفيات 1928
- حائزو جائزة نوبل هولنديون
- فيزيائيون هولنديون
- خريجو جامعة لايدن
- طاقم تدريس جامعة لايدن
- حائزو وسام كوپلي
- أشخاص من آرنهم
- نسبيون
- أعضاء أجانب في الجمعية الملكية
- أعضاء مراسلون في أكاديمية العلوم بسانت پطرسبورگ
- أعضاء مراسلون في أكاديمية العلوم الروسية (1917–1925)
- أعصاء مراسلون ي أكايمية العلوم السوڤيتية
- أعضاء فخريون في أكاديمية العلوم السوڤيتية
- فيزيائيون نظريون
- Members of Teylers Tweede Genootschap
