علاقة کلاوزیوس-کلاپیرون

(تم التحويل من Clausius–Clapeyron relation)
معادلات ثرموديناميكية
علاقات ماكسويل
معادلة گيبس-دوهم
معادلة فان در ڤالز
علاقة کلاوزیوس-کلاپیرون
معادلات بريدجمان
تحرير

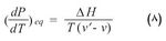
علاقة کلاوزیوس-کلاپیرون (إنگليزية: Clausius–Clapeyron relation) تعبر هذه العلاقة عن كمية الحرارة التي يجب تقديمها إلى مولٍ واحد من مادة الجسم (أو سحبها منه) كي ينتقل من طور إلى آخر. وتعرف هذه الحرارة بالحرارة اللاطية latent heat. ويترافق هذا الانتقال بتغير حجم المول الواحد من v إلى v´. وبما أن درجة الحرارة والضغط لايتغيران عند التحول الطوري من النوع الأول ينتج من تطبيق العلاقة الأولى في (1) على مول واحد، حجمه v، أن:

dQ =L= / ldv=l / (v´ -v)

ومنه نجد - بعد التعويض عن l كما في (3) وضرورة المحافظة على وضع التوازن الترموديناميكي - العلاقة الآتية:

9997-1.jpg

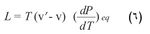
المعروفة بمعادلة کلاوزیوس-کلاپیرون (Clapeyron-Clausius equation). ويعبر الرمز eq عن وضع التوازن. وتسمح العلاقة (6) بتعيين منحني التحول الطوري أي إنها تعطي العلاقة المطلوبة بين تغيري الضغط ودرجة الحرارة اللازمين للحفاظ على وضع التوازن الترموديناميكي بين الطورين المعتبرين. وغالباً ماتكتب العلاقة (6) كما يأتي:

9997-2.jpg

ويمكن كتابة العلاقة (7) على النحو الآتي:

9997-6.jpg


حيث H إنثالپيا (enthalpy) الجملة المدروسة وv و´v حجمها قبل وبعد التحول.

الإشتقاقات

A typical phase diagram. The dotted green line gives the anomalous behavior of water. The Clausius–Clapeyron relation can be used to find the relationship between pressure and temperature along phase boundaries.
Metapedian Puzzle.png رجاءً وسّع هذا المقال.
المزيد من المعلومات قد تكون موجودة في صفحة النقاش أو في طلبات التوسيع.

Derivation from state postulate

Derivation from Gibbs–Duhem relation

تقريب الغاز المثالي عند درجات حرارة منخفضة

تطبيقات

الكيمياء والهندسة الكيميائية

الأرصاد الجوية وعلم المناخ

أمثلة

انظر أيضاً

المصادر

قائمة المراجع

  • M.K. Yau and R.R. Rogers, Short Course in Cloud Physics, Third Edition, published by Butterworth–Heinemann, January 1, 1989, 304 pages. EAN 9780750632157 ISBN 0-7506-3215-1
  • J.V. Iribarne and W.L. Godson, Atmospheric Thermodynamics, published by D. Reidel Publishing Company, Dordrecht, Holland, 1973, 222 pages
  • H.B. Callen, Thermodynamics and an Introduction to Thermostatistics, published by Wiley, 1985. ISBN 0-471-86256-8