تخليق اوكسو

(تم التحويل من Hydroformylation)

تخليق اوكسو أو الفورملة المائية Hydroformylation هو عملية صناعية مهمة لإنتاج الألدهيدات والأغوال من الألكينات. يتضمن هذا التفاعل الكيميائي إضافة مجموعة فورميل (CHO) وهيدروجين إلى رابطة مضاعفة كربون-كربون. وقد شهد هذا التفاعل تطورا ملحوظاً منذ اكتشافه في الثلاثينيات من القرن العشرين ليطبق في الصناعة حيث بلغ حجم الإنتاج في عام 1995 م حوالي 6.6×106 طن. تأتي أهمية هذا التفاعل كون الألدهيدات الناتجة يمكن تحويلها بسهولة إلى منتجات أخرى كثيرة. فعلى سبيل المثال يمكن هدرجة الألدهيدات الناتجة عن تفاعل أوكسو للحصول على الأغوال والتي تستخدم بالعديد من الصناعات كصناعة المنظفات مثلاً. كذلك تستخدم هذه الألدهيدات في تفاعلات الاصطناع العضوي للعطورات والمنتجات الطبيعية.

عادة ما تتم هذه العملية عند معاملة الألكينات مع مزيج من أول أكسيد الكربون والهيدروجين تحت ضغط يتراوح بين (10-100 جو) في درجة حرارة تتراوج بين (20-200) درجة مئوية مع وجود حفّاز من معقدات المعادن الانتقالية.

الحفازات

حفّاز روديوم عام، حيث PAr3 = ثلاثي فنيل فوسفين الروديوم أو مشتقه السلفوني Tppts.

الحفّاز الأصلي المستخدم هو HCo(CO)4 الذي أكتشف من قبل اوتو رولن. [1][2] الأعمال اللاحقة أثبتت أنه يمكن تحسين انتقائية التفاعل المحفز بالكوبالت وذلك باستخدام ثلاثي بوتيل فوسفين (PBu3) كمرتبطة. يعد إدخال حفّازات كربونيل الروديوم من أهم التطورات التي طرأت على هذا التفاعل حيث استخم أول نوع من هذه الحفازات عام 1976 متمثلة بمركب ثلاثي فنيل فوسفين الروديوم. منذ ذلك الحين والحفّازات المستخدمة في هذا التفاعل تعتمد على الروديوم كحفّاز.[3][4] أدت الدراسات اللاحقة إلى تطوير الحفّازات لجعلها منحلة بالماء مما يتيح سهولة فصل المنتجات وكذلك الحفاظ على الحفّاز المستخدم.[5]

آلية التفاعل

يجري التفاعل حسب المعادلة العامة التالية:

تفاعل أوكسو

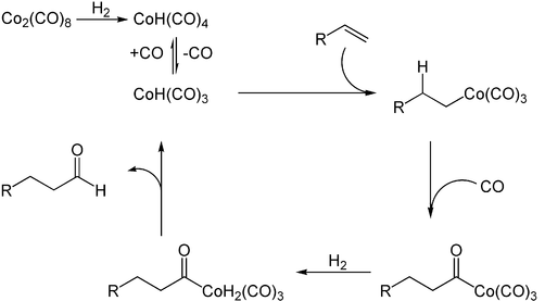
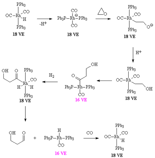
يبدأ التفاعل بتشكيل معقد غير مشبع من هيدرو كربونيل المعدن مثل: HCo(CO)3 و HRh(CO)(PPh3)2 أي يتحرر لدينا نتيجة لذلك موقع تساند ويصبح المعقد قادراً على التساند مع الألكينات و يتشكل لدينا معقد من النوع π. يعاني هذا المعقد من تفاعل إعادة ترتيب (تفاعل إقحام مهاجر) لتشكيل معقد ألكيل المعدن غير المشبع.

آلية تفاعل أوكسو

الانتقائية

نحصل نتيجة لتفاعل أوكسو على نظامي أو إيزو الألدهيد فعلى سبيل المثال نحصل من تفاعل أوكسو للبروبيلين على مماكبين إما بوتير ألدهيد أو إيزوبوتير ألدهيد

("نظامي") H2 + CO + CH3CH=CH2 → CH3CH2CH2CHO
("إيزو") H2 + CO + CH3CH=CH2 → (CH3)2CHCHO

يتشكل هذان المتماكبان نتيجة لطرائق إضافة الألكين إلى الرابطة M-H لتشكيل معقد ألكيل المعدن, هذه الإضافة تكون إما حسب قاعدة ماركوفنيكوف "ليعطي المماكب إيزو" أو عكس ماركوفنيكوف "نظامي". ليس كلا المتماكبين مرغوبين بنفس الدرجة, فمعظم الأبحاث ركزت للحصول على نظامي الألدهيد بنسبة أعلى.

التأثيرات الفراغية

تؤدي إضافة الهيدروجين إلى الكربون المتصل عدد ذرات هيدروجين أكثر (قاعدة ماركوفنيكوف) إلى تشكل مجموعة ألكيل أكثر إعاقة فراغية قريبة من الربيطة الموجودة على فلز الروديوم فإذا كانت الربيطة كبيرة نسبيا مثل ثلاثي بوتيل فوسفين فإن التأثير الفراغي (الإعاقة الفراغية) سيكون أكبر مما يقلل من احتمالية الإضافة حسب قاعدة ماركوفنيكوف وبالتالي تزيد الإنتقائية باتجاه المنتج الخطي (نظامي).

Migatory insertion step for propylene for a cobalt carbonyl bis-tributyl phosphine complex


تفاعل أوكسو اللامتناظر

إن إجراء تفاعل أوكسو على الألكينات الداخلية يعطي مراكز فراغية جديدة. باستعمال ربيطات فوسفين يدوية فإن تفاعل أوكسو يمكن أن يوجه بأن يفضل مشابه ضوئي واحد. [6]

تكون الأستيل

After the alkyl formation a second migatory insertion converts the alkyl into an acetyl ligand (this is when the alkyl carbon forms a bond with the carbon of a carbonyl ligand). The vacant site on the metal is filled by two hydrogens (from the oxidative insertion of a hydrogen molecule. One of these hydrides then takes part in a reductive elimination to form the molecule of the aldehyde and the complex [HCo(CO)3].

Hydroformylation of ethylene using a cobalt carbonyl
Hydroformylation of 2-octene

العمليات الصناعية

عملية أوكسو باسف

عملية إكسون

عملية شل

عملية يونيون كاربايد

عملية روركمي/رون-پولان

Process scheme of the Ruhrchemie/Rhône-Poulenc process


Other substrates

Cobalt carbonyl and rhodium complexes catalyse the hydroformylation of formaldehyde and ethylene oxide to give 2-hydroxyacetaldehyde and 3-hydroxypropanaldehyde, which can then be hydrogenated to ethylene glycol and 1,3-propanediol, respectively. The reactions work best when the solvent is basic (such as pyridine).[7][8]

Conversion of ethylene oxide to the hydroxyaldehyde using a rhodium carbonyl phosphine complex
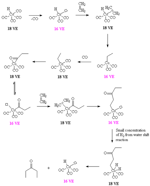
Conversion of ethylene to diethyl ketone using a cobalt carbonyl, while the reaction used a cobalt carbonyl diphosphine complex for clarity the reaction has been drawn out, assuming that a cobalt carbonyl is responsible for the reaction


المراجع

  1. ^ Boy Cornils, Wolfgang A. Herrmann, Manfred Rasch (1994). "Otto Roelen, Pioneer in Industrial Homogeneous Catalysis". Angewandte Chemie International Edition in English. 33 (21): 2144–2163. doi:10.1002/anie.199421441.{{cite journal}}: CS1 maint: multiple names: authors list (link)
  2. ^ [1]
  3. ^ Imyanitov N.S., Rudkovskij D.M. (1963). "Hydrogenation and hydroformylation in the presence of Co, Rh, and Ir carbonyls". Neftekhimiya (Rus). 3 (2): 198–200.
  4. ^ Evans D., Osborn J. A., Wilkinson G. (1968). "Hydroformylation of Alkenes by Use of Rhodium Complex Catalyst" (PDF). Journal of the Chemical Society. 33 (21): 3133–3142. doi:10.1039/J19680003133.{{cite journal}}: CS1 maint: multiple names: authors list (link)
  5. ^ Cornils, B.; Herrmann, W. A. (eds.) “Aqueous-Phase Organometallic Catalysis” VCH, Weinheim: 1998
  6. ^ Watkins, A. L.; Hashiguchi, B. G.; Landis, C. R., Highly Enantioselective Hydroformylation of Aryl Alkenes with Diazaphospholane Ligands. Organic Letters 2008, 10 (20), 4553-4556.
  7. ^ Chan A.S.C., Shieh H-S. (1994). "A mechanistic study of the homogeneous catalytic hydroformylation of formaldehyde: synthesis and characterization of model intermediates". Inorganica Chimica Acta. 218 (1–2): 89–95. doi:10.1016/0020-1693(94)03800-7.
  8. ^ Spencer A. (1980). "Hydroformylation of formaldehyde catalysed by rhodium complexes". Journal of Organometallic Chemistry. 194 (1–2): 113–123. doi:10.1016/S0022-328X(00)90343-7.
الكلمات الدالة: