تفاعل تبادل
تفاعل التبادل (Metathesis reaction) في الكيمياء هو حدوث عملية تبادل على المستوى الجزيئي بين الروابط بين نوعين كيميائيين متفاعلين بحيث يؤدي إلى الحصول على نواتج لها الارتباط الكيميائي نفسه أو مشابه له.[1]
أنواع تفاعل التبادل
هناك نوعين رئيسين من تفاعل التبادل ينبغي التمييز بينهما، وهما تفاعل التبادل الأيوني، وهو يخص التفاعلات الحاصلة بين المركبات اللاعضوية، وتفاعل اتبادل الأوليفيني الحاصل بين الأوليفينات في الكيمياء العضوية:
تفاعل التبادل الأيوني
ويقصد فيه حدوث عملية تبادل بين الأيونات الموجبة (الكانيونات) والسالبة (الأنيونات) كما في التفاعل العام أدناه:
- AX + BY → BX + AY
ويطلق عليه أحيانا اسم تفاعل التبادل المزدوج أو تفاعل الإزاحة المزدوج. يحدث هذا التفاعل في المحاليل المائية وأحياناً يرافق العملية حدوث تغير في الخصائص، فقد يؤدي تفاعل التبادل إلى حدوث تعديل للوسط، كما في تفاعلات حمض-قاعدة:
HCl (aq) + NaOH (aq) → NaCl (aq) + H2O (l)
أو لنشوء مادة غير منحلة في الوسط، كما في تفاعلات الترسيب:
AgNO3 (aq) + NaCl (aq) → AgCl↓ (s) + NaNO3 (aq)
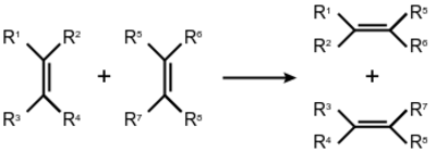
تفاعل التبادل الأوليفيني
مقالة مفصلة: تفاعل التبادل الأوليفيني
وهو تفاعل مهم في الكيمياء العضوية، ويتضمن حدوث عملية تبادل بين المجموعات المرتبطة إلى رابطة مضاعفة كما في الشكل الموضح. اكتشف هذا التفاعل من قبل كل من إيڤ شوڤان وريتشارد شروك وروبرت گربز الذين تقاسموا جائزة نوبل في الكيمياء عام 2005 نظير هذا الاكتشاف.
انظر أيضاً
المراجع
- ^ International Union of Pure and Applied Chemistry, (2006). IUPAC Gold Book
