غاز نوڤيتشوك
| جزء من سلسلة عن | |||
| العوامل الكيميائية | |||
|---|---|---|---|
| عوامل قاتلة | |||
| Incapacitating agents | |||
|
|||
نوڤيتشوك (روسية: Новичо́к، "الجديد"، إنگليزية: Novichok)، هي سلسلة من غازات الأعصاب طورها الاتحاد السوڤيتي في السبعينيات والثمانينيات.[1] يزعم العلماء الروس الذين عملوا على تطوير هذه الغازات بأنها أكثر غازات الأعصاب فتكاً، مع بعض المتغيرات التي قد تجعلها أقوى من خمسة إلى ثمانية أضعاف من ڤي إكس.[2][3]
تم تصميمها كجزء من البرنامج السوڤيتي الذي يحمل الاسم الكودي "فوليانت" Foliant.[4] في البداية تم تصميم ك-84 والذي أعيد تسميته لاحقاً أ-230، وهناك ما يزيد عن 100 نوع من غاز النوڤيتشوك.[5] The most versatile was A-232 (Novichok-5).[6]
لم يتم استخدام غازات نوڤيتشوك في الميدان. قالت تريسا ماي رئيسة وزراء المملكة المتحدة أنه تم استخدام أحد أنواع هذه الغازات في تسمم سرگي ويوليا سكريپال في إنگلترة في مارس 2018.[7]
الأهداف من التصميم
تم تصميم هذه الغازات لإنجاز أربع أهداف:[8][9]
- ليكون غير قابل للكشف باستخدام معيار السبعينات والثمانينات في أجهزة الناتو للتحقق الكيميائي.
- للتغلب على معدات الناتو للوقاية الكيميائية.
- لتكون أكثر أماناً في التعامل.
- لتفادي قائمة اتفاقية الأسلحة الكيميائية للسلائف الخاضعة للرقابة، وفئات الأشكال الكيميائية والمادية.
يزعم أنه قد تم إنجاز جميع هذه الأهداف.
الكشف عنه
التطوير ومواقع الاختبار
وصف غازات نوڤيتشوك
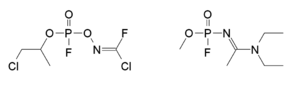
جاء أول وصف لهذه الغازات من نيل ميرزيانوڤ.[14] يتناثر على هيئة مسحوق شديد النعومة وليس كغاز أو بخار، فهو يتمتع بصفات فريدة. بعد ذلك تم تخليق عامل ثنائي يحاكي نفس الخصائص، ولكن تم تصنيعه باستخدام مواد قانوني بموجب اتفاقية الأسلحة الكيميائية[15] أو ليكون غير قابلاً للتحقق منه أثناء عمليات التفيش الخاصة بنظام الاتفاقية.[16] أقوى المركبات من هذه العائلة، نوڤيتشوك-5 ونوڤيتشوك-7، يفترض أنهما أقوى من خمسة لثمانية مرات عن غاز ڤي إكس.
يعطي ميرزيانوڤ بنى مختلفة نوعماً ما عن غازات ميرزيانوڤ في سيرته الغربية والتي تحقق منها المخبراء الغربيون. أوضع بأنه تم صنع عدد ضخم من المركبات، الكثير منها أقل قوة من المشتقات المذكورة في المراجع المفتوحة مثل مبيدات الفوسفات العضوي الحشرية الجديدة، ولذلك فإن برنامج الأسلحة الكيميائية السري يمكن أن يكون مقنعاً كبحث مبيدات مشروع.
يقال بأنه يمكن استخدام هذه الغازات كسائل، أيروسول أو غاز عن طريق مجموعة متنوعة من الأنظمة، منها القذائف الجوية، القنابل، الصواريخ وأجهزة الرش.[17]
التأثيرات
كغازات أعصاب، فإن غازات نوڤيتشوك تنتمي لرتبة مثبطات أستايلكولينستريز الفوسفات العضوي. تثبط هذه المركبات انزيم الأستايلكولينستريز، مما يمنع التفكك الطبيعي للناقل العصبي المسمى للأستايلكولين. بعدها تزيد تركيزات الأستايلكولين عند تقاطعات العضلية-العصبية مما يسبب تقلصاً لا إرادياً في جميع العضلات. يؤدي هذا فيما بعد إلى توقف التنفس والسكنة القلبية (يظهر مخطط القلب والعضلات للضحية توقفها عن العمل بشكل طبيعي) وفي النهاية تحدث الوفاة بسبب فشل القلب أو الاختناق حيث تملأ الافرازات الوفيرة رئتي الضحية.[18]
استخدام دواء مضاد الكولين طرفي سريع التأثير مثل الأتروپين يمكنه أن يغلق المستقبلات حيث يحمل الأستايلكولين على منع التسمم (مثل علاج التسمم بمثبطات أستايلكولينستريز الأخرى). إلا أنه من الصعب استخدام الأتروپين بأمان، لأن جرعته التأثيرية للتسمم بغاز الأعصاب تسبب تغير في دقات القلب وسماكة في إفرازات الشعب الهوائية التي تملأ رئتي الشخص الذي يعاني من التسمم بغازات الأعصاب، لذا فإن شفط هذه الإفرازات وتقنيات دعم الحياة المتقدمة الأخرى تعتبر أمراً ضرورياً عند استخدام الأتروپين لعلاج التسمم بغازات الأعصاب.[18]
عند علاج التسمم بغازات الأعصاب، عدة ما يستخدم الأتروپين مع الپراليدوكسيم، الذي ينشط الأستايلكولينستريز الذي تعطل عن طريق الفسفرة بواسطة غاز الأعصاب الفسفوري العضوي، مما يخفف من شلل العضلات التنفسي الناجم عن بعض غازات الأعصاب. الپراليدوكسيم غير فعال في اعادة تنشيط الأستايلكولينستريز المثبط بفعل بعض غازات الأعصاب الأقدم مثل السومان[18] أو غازات أعصاب نوڤيتشوك، الذي قيل أنه أكثر سمية بثمان مرات عن غاز ڤي إكس.[19]
أمثلة لاستخدامه
ورد بأنه قد تم استخدام غاز نوڤيتشوك عام 1995 لتسميم المصرفي الروسي إيڤان كيڤليدي، رئيس الطاولة المستديرة للأعمال الروسية، وزارا إسماعيلوڤيا، سكرتيرته.[20][21][22] لاحقاً أدين ڤلاديمير خوتسيشڤيلي، الشريك التجاري السابق للمصرفي، بتهمة القتل.[20][23][24] أصبحت هذه الجريمة "أولى سلاسل عمليات التسميم المنظمة من قبل الخدمات السرية الروسية"، تبعاً ليوري فلشتينسكي وڤلاديمير پريبيلوڤسكي. لاحقاً قامت وزارة الشئون الداخلية الروسية بتليل الحادث وأعلنت أنه تم باستخدام غاز أعصاب فسفوري "ذو تركيبة سرية للغاية".[25] تبعاً لنستروڤ، فإن رئيس الإدارة شيخاني، لم يكن على علم "ببيع هذا النوع من السم بشكل غير قانوني" وأشار إلى أنه تم استخدام السم من قبل جواسيس محترفة". [26]
هجوم المملكة المتحدة
في 12 مارس 2018، أعلنت حكومة المملكة المتحدة بأنه تم استخدام غاز نوڤيتشوك في هجوم وقع بمدينة سالزبري البريطانية في 4 مارس 2018 في محاولة لقتل ضابط مديرية المخابرات المركزية السابق سرگي سكريپال وابنته يوليا.[27] صرحت رئيسة الوزراء تريسا ماي في البرلمان: "إما أن هذا التحرك كان موجهاً بطريقة مباشرة من قبل الروس لبلادنا، أو كانت الحكومة الروسية قد فقدت السيطرة على غازات الأعصاب الروسية ذات الأثار الكارثية وسمحت بتواجدها في أيدي آخرين."[27] في 14 مارس 2018، طردت المملكة المتحدة 23 دبلوماسي روسي بعد رفضهما الالتزام بآخر موعد حددتها المملكة المتحدة لتقديم تفسير عن استخدام السلاح.[28].
بعد الهجوم، تم فحص 21 عضو من خدمة الطوارئ والعامة لتعرضهم المحتمل للغاز، وتم احتجاز ثلاثة منهم في المستشفى. في 12 مارس، تم احتجاز ضابط شرطة في المستشفى.[27] نُصح خمسمائة شخص من العامة بتطهير ممتلكاتهم لمنع التعرض المحتمل على المدى الطويل، وتم نشر 180 فرد من الجيش و18 عربة للمساعدة في عمليات التطهير في عدة مواقع داخل وحول سالزبري. لم يعلن عن الموقع الذي تم فيه الهجوم تحديداً.[27][29][30]
تسميم إيڤان كيڤليدي وزارا إسماعيلوڤا
تسميم شارلي رولي وداون ستروگس
تسميم أليكسي ناڤالني
في 20 أغسطس 2020 أصيب زعيم المعارضة الروسية ناڤالني، بوعكة أثناء طيرانه من تومسك إلى موسكو وأُدخل مستشفى الطوارئ رقم 1 في أومسك (روسية: Городская клиническая больница скорой медицинской помощи №1)، حيث قامت الطائرة بهبوط طاريء. كان التغير في حالته على متن الطائرة مفاجئاً وعنيفاً، وأظهرت لقطات مصورة لأفراد الطاقم على متن الطائرة وهم يندفعون نحوه وهو يبكي من الألم بصوت عالي.[31]
بعد ذلك، قالت المتحدثة باسمه إنه دخل في غيبوبة وعلى جهاز التنفس الصناعي في المستشفى. وقالت أيضاً إن ناڤالني لم يشرب منذ الصباح إلا الشاي، وهناك شبهات أنه تم وضع مادة ما في المشروب. قالت المستشفى إنه في حالة مستقرة ولكنها خطيرة، وبعد الاعتراف في البداية بأن ناڤالني ربما يكون قد تعرض للتسمم، قال نائب رئيس الأطباء بالمستشفى للصحفيين إن التسمم كان "أحد السيناريوهات العديدة" التي يجري النظر فيها.[31]
تم إجلاء ناڤالني بالطائرة من روسيا إلى ألمانيا ليتلقى العلاج في شاريتيه ببرلين، بعد أن أعلن الأطباء الذين عالجوه في أومسك في البداية أن حالته الصحية سيئة للغاية ولا يمكن نقله[32] لكنه نُقل لاحقاً.[33][34] في 24 أغسطس، أكد الأطباء في ألمانيا أن ناڤالني قد جرى تسميمه بأحد مثبطات الكولينستراز. وأظهرت التحاليل اللاحقة نوع السم على وجد التحديد.[35]
في 25 أغسطس، رفض الكرملين الاتهامات التي وجُهت لپوتين بالتورط في تسميم ناڤالني.[36] إيڤان ژدانوڤ، رئيس مؤسسة مكافحة الفساد، صرح بأن ناڤالني قد جرى تسميمه بسبب إحدى الاستقصاءات التي أجرتها مؤسسة.[37] في 2 سبتمبر 2020، أعلنت الحكومة الألمانية أن ناڤالني قد جرى تسميه بغاز نوڤيتشوك، من نفس عائلة غازات الأعصاب التي استخدمت لتسميم سرگي سكريپال وابنته. صرح المسئولون بأنهم قد حصلوا على ""دليل قاطع" من اختبارات السموم. وطالبوا الحكومة الروسية بتقديم تفسير.[38][39][40]
انظر أيضاً
المصادر
الهوامش
المصادر
- ^ Tucker 2006, p. 232-233
- ^ خطأ استشهاد: وسم
<ref>غير صحيح؛ لا نص تم توفيره للمراجع المسماةBirstein - ^ Albats 1994, p. 325-328
- ^ Tucker 2006, p. 231
- ^ Tucker 2006, p. 233
- ^ Tucker 2006, p. 253
- ^ Barry, Ellen; Pérez-Peña, Richard (12 March 2018). "Britain Blames Russia for Nerve Agent Attack on Former Spy". The New York Times. Retrieved 12 March 2018.
- ^ Salem & Katz 2014, p. 498-499
- ^ Kendall et al. 2008, p. 136
- ^ Hoenig 2007, p. 79-80
- ^ Mirzayanov 2008, p. 142-145, 179-180
- ^ Ellison, D. Hank (2007). Handbook of Chemical and Biological Warfare Agents. CRC Press. ISBN 978-1-420-00329-1.
- ^ Gupta 2015, p. 339–340
- ^ خطأ استشهاد: وسم
<ref>غير صحيح؛ لا نص تم توفيره للمراجع المسماةVil - ^ خطأ استشهاد: وسم
<ref>غير صحيح؛ لا نص تم توفيره للمراجع المسماةHoffman - ^ Hidalgo, Louise (9 August 1999). "US dismantles chemical weapons". BBC News. Retrieved 20 July 2007.
- ^ خطأ استشهاد: وسم
<ref>غير صحيح؛ لا نص تم توفيره للمراجع المسماةCroddy - ^ أ ب ت Meridian Medical Technologies, Inc. (30 September 2009). "LABEL: DUODOTE- atropine and pralidoxime chloride". Bethesda, MD: National Institutes of Health. Retrieved 9 April 2016.
- ^ Gupta 2015, p. 339–340
- ^ أ ب "И яд следовал за ним". Kommersant. 13 March 2018. Retrieved 13 March 2018.
- ^ Stanley, Alessandra (9 August 1995). "To the Business Risks in Russia, Add Poisoning". The New York Times. Retrieved 13 March 2018.
- ^ McGregor 2011, p. 166
- ^ "Theresa May accuses Russia of involvement in Skripal's poisoning, as Russian-made prohibited substance discovered". Crime Russia. 13 March 2018. Retrieved 13 March 2018.
- ^ Stewart, Will (13 March 2018). "Were these the first victims of nerve agent Novichok? Russian banker and secretary 'assassinated' in mysterious circumstances 20 years ago". Daily Mirror. Retrieved 13 March 2018.
- ^ Felshtinsky & Pribylovsky 2009, p. 453-457
- ^ Felshtinsky & Pribylovsky 2009, p. 453-457
- ^ أ ب ت ث "Russian spy: Highly likely Moscow behind attack, says Theresa May". BBC News. 12 March 2018. Retrieved 12 March 2018.
- ^ "Russian spy: UK to expel 23 Russian diplomats". BBC News. 14 March 2018. Retrieved 14 March 2018.
- ^ "Military deployed after spy poisoning". BBC News. 9 March 2018. Retrieved 9 March 2018.
- ^ "What are Novichok nerve agents?". BBC News. 12 March 2018. Retrieved 13 March 2018.
- ^ أ ب Harding, Luke; Roth, Andrew (20 August 2020). "A cup of tea, then screams of agony: how Alexei Navalny was left fighting for his life". The Guardian (in الإنجليزية البريطانية). ISSN 0261-3077. Archived from the original on 20 August 2020. Retrieved 20 August 2020.
- ^ "Alexei Navalny doctors refuse to let Putin critic leave Russia – aide". The Guardian. 21 August 2020. Archived from the original on 21 August 2020. Retrieved 21 August 2020.
- ^ "Alexei Navalny: Russian doctors agree to let Putin critic go to Germany". BBC News. 21 August 2020. Archived from the original on 21 August 2020. Retrieved 21 August 2020.
- ^ "Alexei Navalny arrives in Germany for treatment". 22 August 2020. Archived from the original on 22 August 2020. Retrieved 22 August 2020 – via www.bbc.com.
- ^ Osborne, Samuel (24 August 2020). "Alexei Navalny: Russian opposition leader was poisoned, German hospital suggests". The Independent. Retrieved 24 August 2020.
- ^ "Kremlin rejects accusations Putin was involved in suspected poisoning of Alexei Navalny". The Guardian. Retrieved 25 August 2020.
- ^ Rainsford, Sarah (2 September 2020). "Russia's Navalny poisoned with Novichok - German government". BBC News. Retrieved 2 September 2020.
- ^ Halasz, Stephania; Jones, Brony; Mezzofiore, Gianluca (2 September 2020). "Novichok nerve agent used in Alexey Navalny poisoning, says German government". CNN. Retrieved 2 September 2020.
- ^ Schwirtz, Michael; Eddy, Melissa (2 September 2020). "Aleksei Navalny Was Poisoned With Novichok, Germany Says". The New York Times. Retrieved 2 September 2020.
المراجع
- Albats, Yevgenia (1994), The State Within a State: The KGB and Its Hold on Russia — Past, Present, and Future, New York: Farrar Straus & Giroux, ISBN 978-0-374-18104-8
- Birstein, Vadim J. (2004), The Perversion Of Knowledge: The True Story of Soviet Science, Westview Press, ISBN 0-8133-4280-5
- Darling, Robert G.; Noste, Erin E. (2016), "Future Biological and Chemical Weapons", in Ciottone, Gregory R., Ciottone's Disaster Medicine (Second ed.), Amsterdam: Elsevier, doi:
- Weapons of Mass Destruction: The Essential Reference Guide, ABC-CLIO, 2001, ISBN 978-1-851-09490-5
- Felshtinsky, Yuri; Pribylovsky, Vladimir (2009), The Corporation. Russia and the KGB in the Age of President Putin, London: Encounter Books, ISBN 1-59403-246-7
- Gupta, Ramesh C., ed. (2015), Handbook of Toxicology of Chemical Warfare Agents, Cambridge, MA: Academic Press, ISBN 978-0-128-00494-4
- Hoenig, Steven L. (2007), Compendium of Chemical Warfare Agents, Springer, ISBN 978-0-387-34626-7
- Kendall, Ronald J.; Presley, Steven M.; Austin, Galen P.; Smith, Philip N. (2008), Advances in Biological and Chemical Terrorism Countermeasures, CRC Press, ISBN 978-1-420-07654-7
- McGregor, Paul (2011), Toxic Politics: The Secret History of the Kremlin's Poison Laboratory—from the Special Cabinet to the Death of Litvinenko, Praeger, ISBN 978-0-313-38746-3
- Mirzayanov, Vil S. (2008), State Secrets: An Insider's Chronicle of the Russian Chemical Weapons Program, Outskirts Press, ISBN 978-1-4327-2566-2
- Inhalation Toxicology (3rd ed.), CRC Press, 2014, ISBN 978-1-466-55273-9
- Tucker, Jonathon B. (2006), War of Nerves, New York: Anchor Books, ISBN 978-0-375-42229-4
وصلات خارجية
- Fedorov, Lev (27 July 1994). "Chemical Weapons in Russia: History, Ecology, Politics". Federation of American Scientists.
- "Russian chemical weapons". Federation of American Scientists.
- Waller, J. Michael (13 February 1997). "The Chemical Weapons Coverup". The Wall Street Journal.
- CS1 الإنجليزية البريطانية-language sources (en-gb)
- Articles containing روسية-language text
- Pages using Lang-xx templates
- Articles containing إنگليزية-language text
- Articles with hatnote templates targeting a nonexistent page
- مثبطات الأستايلكولينستريز
- غازات أعصاب
- فوسفات عضوي
- أسلحة الحرب الباردة السوڤيتية
- العلوم والتكنولوجيا في الاتحاد السوڤيتي
- اختراعات سوڤيتية
- برنامج الأسلحة الكيميائية السوڤيتية