صومعة غلال

صومعة الغلال أو الشونة[1] Silo، هي مبنىً مجهز لتخزين الحبوب وتحميلها وتفريغها قبل بيعها أو استعمالها. توجد الصوامع عادة في المزارع والطواحين ومحطات السكة الحديدية والموانئ وتخزن فيها الحبوب كالشعير والقمح فهي أهم أنواع مخازن الحبوب في العصر الحديث.
توفر الأدوات والتجهيزات المستخدمة أو الملحقة بالصوامع والنواقل الموزعة بينها عمليات التهوية والتعقيم والغربلة اللازمة لحفظ المواد المخزنة بصورة سليمة، كما توفر تفريغ المواد المخزنة. وتعد الصوامع من المنشآت المهمة خاصة في البلدان الزراعية، إذ تأتي أهميتها من كونها الأسلوب الأنسب والأكثر استخداماً لتخزين الحبوب والأعلاف المخمّرة silages.
أنواع الصوامع
يتم إنشاء الصوامع عادة على شكل مجموعات تسمى خلايا التخزين. وتصنف الصوامع من حيث الشكل الهندسي في:[2]
- صوامع أسطوانية (ذات مقطع دائري)، وهي الأكثر استخداماً (الشكلان 1و2* أ).
- صوامع موشورية الشكل بأربعة سطوح أو أكثر (الشكل 2* ب).
أما من حيث الارتفاع فتصنف الصوامع حسب النسبة في:
- صوامع قليلة الارتفاع، وتسمى أيضاً بالصوامع الضحلة أو المسطحة.
- صوامع مرتفعة. حيث تمثل h ارتفاع الصومعة، D قطرها.
ومن حيث مادة الإنشاء تصنف في:
- صوامع من الخرسانة مصبوبة في المكان أو مسبقة الصنع.
- صوامع معدنية.
مسطحة
الصوامع المسطحة كبيرة ذات مبان منخفضة، وتوجد عادة في المزارع، ولايزيد ارتفاعها عن عشرة أمتار، وفي معظم الأحيان يوجد بها نظام أنابيب لحماية الحبوب من الرطوبة.
اسطوانية مغلقة
الصوامع الأسطوانية المغلقة عالية المباني وتوجد في المزارع والمطاحن والمرافئ ويمكن أن يبلغ ارتفاعها 30م. وتوجد أكبر الصوامع الأسطوانية في أمريكا الشمالية عند مراكز الشحن البحري الرئيسية كشيكاغو ومدينة كنساس وميسوري في الولايات المتحدة، وخليج ثندر في أونتاريو بكندا. كثير من الصوامع الأسطوانية مجهزة بأرضية معدنية مثقبة تسمح للهواء بالمرور للاحتفاظ بالحبوب خالية من الرطوبة. كما أن الصوامع الأسطوانية متلاصقة غالبا وبجوارها أجهزة ميكانيكية مرتفعة.
توجد في الصوامع الكبيرة العديد من الأجهزة بما في ذلك المجففات و المنظفات والمصنفات والرافعات والناقلات. وتؤدي المجففات إلى بقاء الحبوب خالية من الرطوبة. إذ يسخَّن الهواء في المجففة ويوجه على الحبوب ثم يستعمل الهواء الذي لم يتعرض لعملية تسخين لتبريد الحبوب. فيما المنظفات والمصنفات فتضمن جودة الحبوب. يحصل امتصاص الغبار والقشر أو التبن، ويؤدي التمحيص والاهتزاز إلى التخلص من الحبوب التي لا تكون بالحجم والكثافة المناسبة. بينما بعض الماكينات تستعمل الخلايا الكهروضوئية لعزل الحبوب الفاسدة.
كما تستعمل الرافعات والناقلات لنقل الحبوب. وتحصل حركة الحبوب الرأسية بوساطة الرافعات. من ضمن أكثر الرافعات استعمالا رافعة لها سير كبير متحرك ومربوط به مجموعة من الدلاء. تنقل الحبوب في الدلو إلى ارتفاع عالٍ وتُصب في سلال تخزين. فيما تقوم الناقلات بتحريك الحبوب أُفقيًّا في أنحاء الصومعة، وتسمى رافعة حبوب. وهو مكان تخزين السيلاج أيضاً.
التاريخ
- خطأ في إنشاء صورة مصغرة: convert: no images defined `/tmp/transform_45f2b4d5a692.png' @ error/convert.c/ConvertImageCommand/3258. Error code: 1رسم هيروغليفي يبين تخزين حبوب داخل صومعةتمثيل خشبي للمصريين القدماء لصومعة غلال ترجع إلى 1800 ق.م.
كانت الصوامع تصمم في الدراسات الأولى على أساس الضغط الستاتيكي Static Pressure فقط، وهو الضغط الناجم عن المواد المخزنة في وضعية السكون. ولم يكن الضغط الديناميكي Dynamic Pressure الناتج من تفريغ وتعبئة المواد في الصومعة يؤخذ في الحسبان. وتبين فيما بعد أن الضغط الديناميكي المؤثر في جدران الصومعة والناتج من جريان المواد الحبيبية، خصوصاً في أثناء عملية التفريغ، أكبر من الضغط الساكن المؤثر في هذه الجدران، وفي كثير من الأحيان أدى هذا الضغط غير المحسوب إلى انهيار الصومعة كاملة (الشكل 4). لذلك كان لابد من دراسة قيم الضغط الديناميكي وتوزعه من أجل أخذ ذلك في الحسبان أثناء التصميم الإنشائي للصومعة. ويتألف الضغط المؤثر في جدران الصومعة من ضغط ديناميكي أفقي وضغط احتكاك شاقولي. وقد بينت الدراسات وجود علاقة بين شكل الجريان والضغط الديناميكي.
علاقات جانسن Janssen من أهم العلاقات لحساب الضغط الساكن على جدران الصومعة فمن أجل حساب الضغط الشاقولي الساكن تستخدم علاقة جانسن الأولى:
ولحساب الضغط الأفقي الساكن تستخدم علاقة جانسن الثانية:
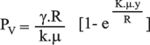
أما لحساب الضغط الديناميكي فتوجد طريقتان، تعتمد الأولى على تصعيد الضغط الساكن بضربه بمعامل تصعيد، وتعتمد الثانية على علاقات مباشرة مستنتجة تجريبيّاً. من أهم علاقات حساب الضغط الديناميكي الأفقي في الصوامع الدائرية مع أخذ تأثير الحرارة أيضاً بالحسبان علاقة ثيمر Theimer للصوامع الخارجية:
وعلاقة ثيمر للصوامع الداخلية:
حيث:
- γ: الوزن الحجمي للمواد المخزنة.
- D: قطر الصومعة.
- R: نصف القطر الهدروليكي.
- y: ارتفاع المواد المخزنة.
- μ: معامل الاحتكاك على الجدار.
- k: نسبة الضغط الأفقي إلى الضغط الشاقولي للمواد المخزنة.
استخدام الصوامع
320x240 400 kbit Low quality
640x480 600 kbit Medium quality
640x480 1200 kbit High quality
تستخدم الصوامع لتخزين مواد مختلفة مثل الحبوب والسكر والدقيق والإسمنت والأعلاف. وتؤثر مواصفات المواد المخزنة في شكل جريان هذه المواد في أثناء تفريغ الصومعة وتعبئتها، ومن ثمَّ في الضغط الناتج على جدران الصومعة وأرضيتها.
وعامة يوجد نموذجان رئيسيان لجريان المواد داخل الصومعة:
- الجريان الكتلي Mass flow: حيث يحصل تدفق لكامل المواد المخزنة بآن واحد، إذ إن المادة المخزنة أولاً تفرغ أولاً (الشكل 3ـ أ)، ولاتوجد مناطق تكون فيها المواد المخزنة ثابتة.
- الجريان النواتي :Funnel flow حيث يحصل التدفق فقط في قناة ضمن المواد المخزنة، وهذه القناة محاطة بمواد مخزنة ثابتة غير متحركة (الشكل 3 ـ ب).
نُفِّذت أبحاث عدة لدراسة أشكال الجريان وعلاقته بنوع المواد المخزنة، وبشكل الصومعة في أثناء عملية التفريغ، وقد تبين أنّ لشكل الجريان تأثيراً مباشراً وكبيراً في قيمة الضغط المؤثر في جدران الصومعة وأرضيتها وتوزعه.
مشكلات التعبئة والتفريغ
يمكن حدوث عدد من المشكلات في أثناء تعبئة المواد المخزنة وتفريغها، من أهمها:
الفصل
في حال التعبئة المركزية للصومعة (التعبئة في وسط الصومعة) بمواد ذات جزيئات متفاوتة الحجم، تتراكم الجزيئات الأكبر بالقرب من جدران الصومعة، في حين تتوضع الجزيئات الأصغر قريباً من المركز وهذا ما يدعى بالفصل ( الشكل 5). ويحدث الفصل أيضاً في أثناء عملية التفريغ، ففي حالة التفريغ وفق نموذج الجريان النواتي يتم تفريغ الجزيئات الأصغر التي تتوضع بالقرب من المركز أولاً، في حين يتم تفريغ الجزيئات الأكبر في النهاية. أما في حالة الجريان الكتلي فإن الجزيئات التي فُصلت في أثناء التعبئة تمزج مرة أخرى عندما تنساب خارج الصومعة.
التقوس
تتماسك الجزيئات بعضها مع بعض مشكلة أقواساً ثابتة فوق المخرج تؤدي إلى توقف انسياب المواد المخزنة إلى فتحة التفريغ، هذا ما يدعى بالتقوس (الشكل 6). ويحدث التقوس في حالة الجريان الكتلي والنواتي. ويمكن منع التقوس بتحديد البعد الأدنى لفتحة الخروج الذي يوفر انسياب المواد المخزنة.
تكتل المواد المخزنة
هو تماسك جزيئات المواد المخزنة بعضها مع بعض مشكّلة كتلاً كبيرة أو صغيرة. ويحدث في حالة الجريان النواتي، حيث إن جزءاً من المواد المخزنة الموجودة ضمن قناة الجريان تنساب خارج الصومعة، أما المواد الموجودة في المناطق غير المتحركة قرب جدران الصومعة فتبقى في مكانها وتتكتل (الشكل 7). كما يزداد التكتل عند التخزين مدة طويلة للمواد التي يزداد تماسكها مع الزمن كالسكر مثلاً. ومع إطالة مدة التخزين، تزداد كمية المواد المخزنة المتكتلة فيصعب انسيابها خارج الصومعة أو يتعذر كلياً. لذلك يجب السعي إلى تفريع الصوامع ذات الجريان النواتي كاملة، وبفواصل زمنية قصيرة لإنقاص طول مدة التخزين والإقلال من حدوث التكتل.
التدفق غير المنتظم
هو خروج المواد المخزنة من فتحة تفريغ الصومعة بصورة غير منتظمة. ويحدث التدفق غير المنتظم بعد مرحلة التقوس أو التكتل. حيث إن المواد المتكتلة أو الأقواس المتشكلة تنهار بالتتالي، مما يؤدي إلى سقوط أجزاء كبيرة تسبب حمولات صدم، وعندها تسقط المواد المخزنة ذات الجزيئات الصغيرة إلى أسفل الصومعة سريعاً، وتنساب خارج الصومعة مثل السائل، ويسمى هذا السلوك بالطوفان إذ ينجم عنه الكثير من الغبار، ويصبح عندها التفريغ المستمر مستحيلاً.
التباين في زمن التخزين
يحدث التباين في زمن تخزين المواد داخل الصومعة في حالة الجريان النواتي، حيث إن المواد التي تمت تعبئتها في النهاية والتي تتوضع بالقرب من محور الصومعة تفرغ مباشرة، في حين المواد المتوضعة بمحاذاة الجدران تبقى ساكنة فلاتفرغ، وتُفرغ هذه المواد الموجودة في المناطق غير المتحركة فقط عند التفريغ الكامل للصومعة. مما يؤدي إلى تباين في زمن التخزين، قد يكون سيئاً في بعض الأحيان، وخاصة في حالة تخزين المواد الغذائية أو المواد التي تتغير مواصفاتها مع الزمن.
صيانة الصوامع
يمكن أن تنشأ حمولات إضافية لم تكن مأخوذة في الحسبان في أثناء تصميم الصومعة مثل حمولات الصدم التي تنجم عن التدفق غير المنتظم في حالة التقوس والتكتل. كما أن الغبار الناتج يمكن أن يؤدي إلى حدوث انفجارات كبيرة ينجم عنها تخريب في الصومعة. لأجل ذلك لابدّ من إجراء صيانة وكشف دوري على الصومعة لتحديد الأضرار الناتجة من الظواهر السابقة وتلافيها. وبما أن مشكلات التفريغ تحدث على الأغلب في الصوامع ذات الجريان النواتي، لذلك ينصح بتصميم الصوامع بغية الحصول على جريان كتلي، ويكون ذلك بالتصميم المناسب للقمع السفلي للصومعة بحيث يوفر الانسياب الكتلي، وبتعيين البعد اللازم للمخرج لمنع التقوس.
صوامع شهيرة
انظر أيضاً
المصادر
- ^ معجم لبنان ناشرون - والكلمة من أصل قبطي
- ^ هالة حمادة. "صوامع الحبوب". الموسوعة العربية.
- Beedle, Peggy Lee. 4. "Silos: an agricultural success story", University of Wisconsin-Extension: 2001, G3660-4.
للإستزادة
- MARCEL.L.REIMBERT & ANDRE M.REIMBERT, Silos Theory and Practice. (Lavoisier Publishing Inc. USA 1987).
- HALA HAMMADEH, The Effect of Silo Geometry on the Shape of Funnel Flow Pattern and Wall Pressure of Granular Material.(Ph.D.Thesis.1995).
- SARGIS S. SAFARIAN & ERNEST C.HARRIS, Design and Construction of Silos and Bunkers.(Van Nostrand Reinhold Company).
وصلات خاريجة
- الاتحاد الدولي لصوامع الغلال
- What To Do In Case Of Grain Bin Entrapment, from the U.S. National Agricultural Safety Database