ڤانيلين
ساهم بشكل رئيسي في تحرير هذا المقال
|
| الأسماء | |
|---|---|
| اسم أيوپاكs
4-Hydroxy-3-methoxybenzaldehyde
3-ميثوكسي 4-هيدروكسي بنزالدهيد | |
| أسماء أخرى
Vanilin
Vanillic aldehyde Methyl vanillin ألدهيد الفانيليا | |
| المُعرِّفات | |
| رقم CAS | |
3D model (JSmol)
|
|
| ECHA InfoCard | 100.004.060 |
PubChem CID
|
|
| رقم RTECS |
|
CompTox Dashboard (EPA)
|
|
| |
| الخصائص | |
| الصيغة الجزيئية | C8H8O3 |
| كتلة مولية | 152.15 غ/مول |
| المظهر | بلورات إبرية لها رائحة الفانيليا |
| الكثافة | 1.06 غ/سم3 |
| نقطة الانصهار | |
| نقطة الغليان | |
| قابلية الذوبان في الماء | ضعيفة |
| قابلية الذوبان في THF, ethanol, methanol | الإيثانول methanol 4.16 M [1] |
| اللزوجة | ? cP at ?°C |
| المخاطر | |
| خطر رئيسي | May cause irritation to skin, eyes, and respiratory tract |
| توصيف المخاطر | R22, R36. |
| تحذيرات وقائية | S24/25. |
| NFPA 704 (معيـَّن النار) | |
| نقطة الوميض | 147°C |
| مركبات ذا علاقة | |
ما لم يُذكر غير ذلك، البيانات المعطاة للمواد في حالاتهم العيارية (عند 25 °س [77 °ف]، 100 kPa). | |
| مراجع الجدول | |
ڤانيلين هو مركب عضوي صيغته الجزيئية C8H8O3. ومجموعاته الوظيفية تضم ألدهيد، إيثر وفينول. وهو المكون الرئيسي في خلاصة حبوب الڤانيليا. ويوجد أيضاً في القهوة المحمصة[2] وفي الصنوبر الأحمر الصيني. وأحياناً يـُستعمل الڤانيلين المصنـَّع، بدلاً من خلاصة الڤانيليا الطبيعية، كعامل منكه في الأغذية والمشروبات والمستحضرات الصيدلية.
الفانيلين ذو لون أبيض أو قشدي، يكون على شكل بلورات إبرية أو مسحوق. ويوجد مع عطور أخرى في قرون نبتة الفانيليا ويستخدم كبديل عن المادة المستخرجة من الفانيليا. وله رائحة فانيلية مميزة ومذاق حلو.
تطبيقاته في التركيب الدوائي والتكنولوجيا الصيدلانية:
للفانيلين استخدامات واسعة كمنكِّه في المستحضرات الدوائية والأطعمة والمشروبات والحلويات، حيث أنه يعطي مذاقاً مميزاً والرائحة الفانيلية (جنس من النباتات) الطبيعية. ويستخدم أيضاً في العطور ككاشف تحليلي، وكمركب وسطي في تخليق عدد من المستحضرات الدوائية، لا سيما ميثيل دوبا (دواء خافض لضغط الدم). بالإضافة إلى أنه قد تم التأكد من دور الفانيلين كعامل علاجي في حالات فقر الدم المنجلي ويُدَّعى أنه يمتلك بعض الخصائص المضادة للفطريات. وفي التطبيقات الغذائية، ثبت استعماله كحافظ.
أما بالنسبة لدوره كسواغ في المستحضرات الدوائية، فيستخدم الفانيلين في الأقراص والمحاليل (0,01- 0,02 غ/ل) والشرابات والمساحيق ليغطي المذاق والرائحة الكريهة لبعض التراكيب الدوائية،مثل أقراص الكافئين وأقراص البوليثيازيد(دواء مدر للبول وخافض للضغط). كما أنه يستخدم في التلبيس بالفيلم لإخفاء الطعم والرائحة بمضغوطات ((بأقراص)) الفيتامينات.[3]
التواجد
الانتاج
الانتاج الطبيعي
يستخلص الڤانيلين الطبيعي من قرون نبات Vanilla planifola ، وهو نبات سحلبي متسلّق. موطنه الأصلي هو المكسيك، لكن حالياً ينمو في المناطق الاستوائية حول العالم. تعد جزيرة مدغشقر حالياً هي أكبر منتج للڤانيلين الطبيعي.
عند الحصاد، فإن القرون الخضر الحاوية على الڤانيلين بشكل β-D-glycoside لا تملك طعم أو رائحة الڤانيلا.[4]
بعد الحصاد، تتطور النكهة المميزة بعد عملية معالجة تستمر لمدة شهر، تختلف تفاصيل العملية باختلاف المناطق المصنّعة، لكن بشكل عام فإنها تتم كما يلي:
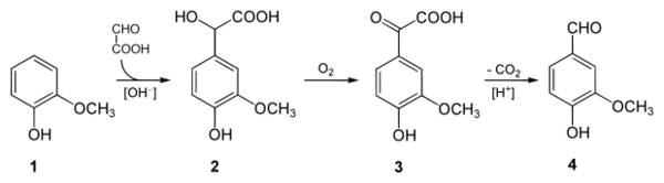
التخليق الكيميائي
الاستخدامات
مواصفاته حسب دساتير الأدوية:
المصادر
- ^ Solubility of vanillin in non-aqueous solvents.
- ^ http://www3.interscience.wiley.com/journal/112600310/abstract
- ^ Handbook of pharmaceutical excipient
- ^ Walton 2003
- Pages using Chembox with unknown parameters
- ECHA InfoCard ID from Wikidata
- Chemical articles with unknown parameter in Chembox
- Articles containing unverified chemical infoboxes
- Chembox image size set
- Short description is different from Wikidata
- بذرة صيدلة
- صيدلة
- سواغات
- نكهات
- مركبات عطرية
- ألدهيدات
- إيثرات الفنول
- مكونات العطور
