أميد
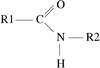
الأميدات مركبات عضوية تحتوي مجموعة وظيفية تدعى الأميد وهي عبارة عن زمرة كربونيل متصلة بزمرة أمين.
تعتبر الأميدات بنوعيها الأليفاتية والأروماتية وبأصنافها المختلفة (الأولية والثانوية والثالثية) أقل مشتقات الأحماض الوظيفية فاعلية . ويعود ذلك إلى أن المجموعة المغادرة في هذه الحالة هي أيون الأميد (R2N)ولأنه قاعدة قوية لحامض ضعيف جدا هو الأمين (R2NH) فأنه يكون من الصعب مغادرته لذلك نجد أن الإستبدال المحب للنواة للأميدات لا يتم إلا في أوساط قاعدية أوحامضية وعند درجات حرارة عالية.
والأميدات الآروماتية أقل فاعلية من الأميدات الأليفاتية المقابلة، ويرجع السبب لهذا الإخنلاف إلى إقتران زوج الإلكترونات اللارابط على ذرة النيتروجين مع إلكترونات الرابطة باي في مجموعة الكربونيل ويؤدي هذا الإقتران إلى عدم تمركز الإلكترونات ويقلل ذلك من الهجوم النيوكليوفيلي على ذرة الكربون الكربونيلية وبالتالي تقل الفاعلية.
وتكنسب الأميدات الحلقية المعروفة باسم اللاكتامات نفس تفاعلات الأميدات المفتوحة.
التسمية
تعد الأميدات الأولية في نطاق الاتحاد الدولي للكيمياء البحتة والتطبيقية IUPAC وظائف ثلاثية التكافؤ مشتقة من الفحم الهدروجيني الموافق، فتسمى باسم الفحم الهدروجيني متبوعاً بكلمة أميد، وهكذا CH3CONH2 يدعى الإتان أميد، وقد شاع له اسم الأسِت أميد. أما الأميدات المؤلكلة أو المؤريلة ( التي أدخل فيها جذر أريل aryle) على الآزوت فتسمى باسم الأميد غير المؤلكل مسبوقاً باسم الجذر أو الجذور الألكيلية أو الأريلية المتبادلة على الآزوت. وهكذا يدعى الأميد
باسم متيل ـ إتيل الإيتان أميد. وتربط التسمية الشائعة الأميد الأولي بالحمض الموافق، فالأسِت أميد (من حمض الخل)، والبنز أميد (من حمض البنزوئيك).[1]
وهناك تسمية «مختلطة» تتيح تسمية الأميدات N− المتبادلة، كثنائي إتيل الفورم أميد H−CON(C2H5)2 ومتيل ـ فنيل الأسِت أميد
كما تسمى ثنائيات الأميد وثلاثيات الأميد على أنها ثنائيات الأسيل أميد وثلاثيات الأسيل أميد.
التميه
تحويل الأميدات إلى الأحماض والأمينات المقابلة
تتميه الأميدات وذلك عند تسخينها ولمدة طويلة في ماء في وجود حامض أو قاعدة كحافز ، وكلا النوعين من التميه (التميه الحامضي والتميه القاعدي) يتم كل منهما بميكانيكية الإضافة والحذف ويؤدي التميه الحامضي إلى تكوين الحامض الكربوكسيلي المقابل والأمين في صورة ملح أمونيوم.
ـCH3CH2CH(CH3)CH2C(O)OH + (NH4)SO4ـــCH3 CH2CH(CH3) CH2C(O)NH2
أما التميه القاعدي فيؤدي إلى تكوين الأمين وملح الحامض الكربوكسيلي الذي يتحول إلى الحامض عند تحميض خليط التفاعل . CH3 CH2 CH2C(O)O + CH3NH3ــــــــCH3 CH2 CH2C(O)NHCH3
الإختزال
إصطناع الأمينات والألدهيدات
عند معالجة الأميد سواء كان أميدا مفتوحا أو حلقيا بليثيوم ألومنيوم هيدريد في إيثر ثم تحميض خليط التفاعل ينتج الأمين المقابل كما في الأمثلة التالية: C6H6)OCH2C(O)NH2 +LiAIH4) ـــــــــــ (C6H6)OCH2CH2NH2
CH3(CH2)10C(O)NHCH3 +LiAlH4 +H2Oـــــــــ CH3(CH2)10CH2NHCH3 (81-95%)
ويعتقد أن إختزال الأميد إلى الأمين يتم بميكانيكية تشمل إضافة أيون الهيدريد إلى الرابطة الثنائية يلي ذلك حذف ليثيوم ألومينات وينتج عن ذلك أيون إيمنيوم الذي يضيف أيون هيدريد ليعطي الأمين المقابل. ولقد أوضحت الدراسات أن إختزال الأميدات الثالثية باستخدام داي(2-ميثايل بروبايل)ألمونيوم هيدريد في إيثر بدلا من ليثيوم ألومنيوم هيدريد يؤدي إلى تكوين الألدهيدات المقابلة ويتم التفاعل بالميكانيكية الموضحة أدناة.
ومن أمثلة الألدهيدات التي تم أصطناعها من الأميدات الألدهيدات الموضحة أدناه
LiAlH4 + 3C2H5OHـــــــــــ LiAlH4(OC2H5)3 + 3H2
تعديل هوفمان
هلجنة الأميدات الأولية ، إصطناع الأمينات الأولية
تتميز الأميدات الأولية (RCONH2)عن الثانوية(`RCONHR) والثالثية (RCONR2)بأنها تتفاعل مع الهالوجينا (Cl2,Br2) في وجود صوديوم هيدروكسيد وتعطي الأمينات المقابلة التي تحتوي كل منها على ذرة كربون أقل من الأميد الأولي المستخدم كما في الأمثلة التالية
RC(O)NH2ــــــــــــــــــــــ RNH2 + OCO
ولقد أوضحت الدراسات أن هذا التفاعل يتم بميكانيكية تشمل هجرة المجموعة المتصلة بمجموعة الكربونيل إلى ذرة النيتروجين على النحو التالي
RC(O)NH2 + OHــــــــــــــــ RC(O)NH + H2O
RCONH + Cl2 ــــــــــــــRCONHCl + HCl
توضح هذه الميكانيكية أن التفاعل يبدأ بانتزاع إحدى ذرات الهيدروجين المرتبطة بذرة النيتروجين وتكوين أيون الأميدات الذي بدوره يتفاعل مع الهالوجين ويكون هالو أميد وهذا الأخير يكون أكثر حامضية من الأميد المستخدم فينتزع أيون الهيدروكسيد ذرة الهيدروجين المرتبطة بالنيتروجين وينتج أيون هالو أميدات الذي يفقد أيون الهاليد ويعطي أسايل نيترين كوسيط وهذا الأخير غير مستقر فيحدث له تعديل حيث تنفصل المجموعة المرتبطة بذرة الكربون لترتبط بذرة النيتروجين مكونة بذلك الأيزوسيانات التي تتفاعل مباشرة مع الماء لتكون حامض كرباميك الذي يفقد مباشرة جزيئ ثاني أكسيد الكربون لأنه غير مستقر ليعطي الأمين الأولي
وممايؤكد بكوين الأيزوسيانات كوسيط أنه إذا أجري التفاعل في ميثانول بدلا من الماء كمذيب وصوديوم ميثوكسيد بدلا من صوديوم هيدروكسيد فأن التفاعل يؤدي إلى وسيط الأيزوسيانات
ولأهمية هذا التفاعل في إصطناع الأمينات الأليفاتية والأروماتية سمي باسم مكتشفه وهو الكيميائي الألماني هوفمان ويعرف باسم تعديل هوفمان
حامضية الأميدات والألكلة
إصطناع مشتقات N-ألكايل و N,N-داي ألكايل أميدات
تكتسب الأميدات الأولية والثانوية صفة الحامضية حيث وجد أن ثالت التأين PKa للرابطة N-H فيها حوالي 15 لذلك فهي تتفاعل كأحماض ضعيفة جدا يلزمها قواعد قوية حتى يمكن تحرير القاعدة المقترنة لكل منهما فمثلا عن معالجة ـميد أولي أو ثانوي بصوديوم هيدريد في بنزين يتكون ملح صوديوم أميدات المقابل
RCONHR' + NaH ــــــــــــــــــــــــــ[R-CO-NR]Na
وأنيون الأميدات يتفاعل كنيوكليوفيل قوي فإذا أضيف ألكايل هاليد له يحدث أستبدال محب للنواة وينتج N-ألكايل أميد
وإذا احتوى الأميد على ذرات هيدروجين في الموقع ألفا بالنسبة لمجموعة الأمين التي تعمل كمجموعة ساحبة للإلكترونات وتصل قيمة ثابت التأين PKa لذرات الهيدروجين ألفا في الأميدات حوالي 30 ولتوليد القاعدة المقترنة أي أيون الأميد إينولات ويتفاعل أيون أميد إينولات كنيوكليوفيل حيث يتفاعل مع الألكايل هاليدات ويعطي نواتج الإستبدال المقابلة.
يمكن إبدال جذر ألكيل أو أريل أو جذرين بعدد مماثل في أحادي الأميد أو ثنائية فتنشأ مختلف الأميدات:
تبدو الأميدات الناقصة الألكلة أو الأسيلة على الآزوت في شكلين صنوين tautoméres عندما تكون منحلة:
ويكون الشكل الأيسر أكثر ثباتاً في حالة أحاديات الأميد، أما الشكل الأيمن فهو أكثر ثباتاً في حالة ثنائيات الأميد. هذا ويطلق على الأشكال المؤلكلة على الأكسجين
اسم إيمينو الإيترات imino-éthers، أما ثنائيات الأميد الحلقية فتدعى إميدات مثل:
وهناك أميدات مشتقة من الحموض السلفونية هي السلفاميدات، وهي عظيمة الأهمية في فن المداواة. وهناك أميدات مشتقة من الحموض المعدنية.
التفاعل مع خامس كلوريد الفوسفور
إصطناع الأيمدوايل كلوريدات
عند تسخين أميد ثانوي مع خامس كلوريد الفوسفور ينتج الإيمنيوم كلوريد المقابل
RCONHR + PCl5 ــــــــــــــــــ RC(Cl)=N-R
والإيمدوايل كلوريد عبارة عن مشتق الكلوريد لحامض إيمديك الذي هو عبارة عن متشكل الإينول للأميد المستخدم ومركبات الإيمدوايل كلوريد نشطة كيميائيا وتتفاعل مع كثير من الكواشف النيوكليوفيلية وتعطي نواتج الإستبدال المقابلة كما في الأمثلة التالية
حذف الماء من الأميدات الأولية
نص مائل==إصطناع النيتريلات == تتكون الأميدات بنزع الماء بالحرارة من الأملاح الكربوكسيلية للأمينات غير الثالثية non tertiaires:
وهذا تفاعل متوازن، ولكن التوازن في نحو درجة 180س يكون لمصلحة الأميد بمقدار كبير. وحذف الماء بالتقطير يجعل هذا التفاعل كلياً.
ويمكن بلوغ النتيجة السابقة بسرعة أكبر إذا استبدل بالحمض كلور الحمض أو بلا ماء الحمض:
عند تسخين الأميدات الأولية سواء كانت أليفاتية أو أروماتية مع خامص أكسيد الفسفور فأنها تفقد جزيئ ماء وتتكون النيتريلات المقابلة كما في المثال التالي :
3CH3CH2C(CH3)HCH(CH3)CONH2 + P2O5ــــــــــــــــــ 3CH3CH2CH2CH(CH3)CH(CH3)CN + 2H3PO4
ويعتقد أن حذف الماء من مجموعة الأميد الأولية يتم بميكانيكية تشمل تكوين إستر فوسفات التي تتحلل حراريا إلى النيتريل وحامض فوسفوريك
3RCONH2 + P2O5ــــــــــ [(RCNO)3P=O]3RCN
كذلك يمكن تحويل الأميدات الأولية إلى نيتريلات وذلك بتسخينها مع ثيونايل كلوريد (SOCl2) أو فوسفور أكسي كلوريد(POCl3)
3RCONH2 + SOCl2 ــــــــــــ3RCN + 3HCl + SO2 يمكن إيقاف إماهة النتريل عند تكون الأميد الأولي:
النترزة
تميه الأميدات الأولية وإصطناع ديازو ميثان من الأميدات الثانوية
تتفاعل الأميدات الأولية مع حامض نيتروز وتعطي ملح الديازونيوم المقابل وهذا يكون غير مستقر حيث يفقد جزيء نيتروجين مخلفا وراءه أيون الأسايلم الذي تهاجمه جزيئات الماء وينتج الحامض الكربوكسيلي المقابل وبالتالي تكون محصلة التفاعل هي تميه الأميد الأولي إلى الحامض المقبل ويعتقد أن التفاعل يتم بهذه الميكانيكية الموضحة أدناه
RCONH2 + HONOــــــــــــــ RCO-NH-N=O
أما الأميدات الثانوية خاصة N- ميثايل أميدات فأنها تتفاعل مع حامض النيتروز وتعطي مشتقات N- نيتروزوأميدات وتعتبر هذه المشتقات المركبات السلف لتحضير ديازوميثان الذي يستخدم بكثرة في الإصطناع العضوي فمثلا عند معالجة N-يثال -N- نيتروزويوريا في إيثر بمحلول بوتاسيوم هيدروكسيد (40 عند الصفر المئوي ينتج محلول ديازوميثان ذو لون أصفر ويتكون الأخير على النحو التالي
H3C-NH-CO-NH2 + HONO ــــــــــــــــــــــــــH3CN(N=O)CONH2
ألكلة الأميدات
وتحصل الأميدات N− المؤلكلة بإعادة ترتيب الكيتوكسيمات (إعادة ترتيب بكمان) وإعادة الترتيب هذه تحفزها الحموض.
اصطناع جبريل للأمينات الأولية
ذرة الهيدروجين المرتبطة بذرة اليتروجين في الأميدات تكون أكثر حامضية من مثيلاتها في الأميدات الأولية أو الثانوية ويرجع سبب ذلك إلى تأثير مجموعتي الكربونيل في الأميد وكذلك إلى إستقرارية القاعدة المقترنة للأميد بسبب الرنين، ومن أمثلة هذه الأميدات فثاليميد ويصل ثابت التأين الحامضي له حوالي 9 ولذلك فهو يتحول إلى بوتاسيوم فثاليميد بفعل بوتاسيوم هيدرو كسيد
وأيون فثاليميد نيوكليوفيل قوي يتفاعل مع الألكايل هلايدات الأولية والثانوية بسهولة حيث يستبدل فيها ذرة الهالوجين ويكون ألكايل فثاليميد ويعتبر هذا التفاعل أساس أصطناع الأمينات والأحماض الأمينية المعروف بأصطناع جبريل وفيه يحول فثاليميد إلى ملح البوتاسيوم المقابل ثم يعالج الملح بالألكايل هاليد حيث ينتج ألكايل فثاليميد ثم يعالج الأخير بهيدرازين هيدرات بدلا من تسخينه في محلول بوتاسيوم هيدروكسيد حيث يتحرر الأمين الأولي المقابل ويترسب فثالازين 1-4-دايون
وقد أستخدم هذا التفاعل في إصطناع الأحماض الأمينية وذلك يمفاعلة بوتاسيوم فثاليميد مع داي إيثايل برومومالونات ثم ألكلة الناتج بألكايل هاليد مناسب في وجود صوديوم إيثوكسيد كقاعدة حافزة ويلي ذلك إجراء تميه حامضي لناتج الإستبدال والأمثلة التالية توضح ذلك>
التركيب
| اسم التفاعل | الركيزة | تفاصيل |
|---|---|---|
| Beckmann rearrangement | cyclic ketone | reagent: hydroxylamine and acid |
| Schmidt reaction | ketones | reagent: hydrazoic acid |
| nitrile hydrolysis | nitrile | reagent: water; acid catalyst |
| Willgerodt-Kindler reaction | aryl alkyl ketones | sulfur and morpholine |
| Passerini reaction | carboxylic acid, ketone or aldehyde | |
| Ugi reaction | isocyanide, carboxylic acid, ketone, primary amine | |
| Bodroux reaction[2][3] | carboxylic acid, Grignard reagent with an aniline derivative ArNHR' |
|
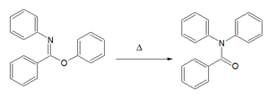
| Chapman rearrangement[4][5] | aryl imino ether | for N,N-diaryl amides. The reaction mechanism is based on a nucleophilic aromatic substitution.[6] |
| Leuckart amide synthesis [7] | isocyanate | Reaction of arene with isocyanate catalysed by aluminium trichloride, formation of aromatic amide. |
تفاعلات الأميد
| اسم التفاعل | الإنتاج | Comment |
|---|---|---|
| dehydration | nitrile | reagent: phosphorus pentoxide |
| Hofmann rearrangement | amine with one fewer carbon atoms | reagents: bromine and sodium hydroxide |
| amide reduction | amine | reagent: lithium aluminium hydride |
| Vilsmeier-Haack reaction | imine | POCl3, aromatic substrate, formamide |
الخواص
الخواص الفيزيائية
الفورم أميد مركب سائل، أما أغلب الأميدات غير المتبادلة ثنائياً على الآزوت فهي عموماً أجسام صلبة صعبة الانصهار، لذلك تُعتمد نقطة انصهارها المرتفعة في تحديد هوية الحمض أو الأمين الذي اشتقت منه.
وتُعزى نقطة الانصهار المرتفعة هذه إلى تواكب مثنوي association قوي متبادل يشبه تواكب الحموض:
وهذا التواكب يفسر نقطة الغليان المرتفعة أيضاً، إذ يغلي الأميد الأولي في درجة حرارة أعلى من درجة غليان الحمض الموافق.
أما الأميدات N− المتبادلة
فهي في الغالب سوائل، وإذا كان \R و\\R جذرين قصيرين فهي تغلي في درجة حرارة أخفض من درجة غليان الحمض الموافق، أما ثنائيات الأميد وثلاثيات الأميد فهي دائماً أجسام صلبة في درجة الحرارة العادية.
تنحل الحدود الأولى من الأميدات بشدة في الماء، وهي قليلة الانحلال في المذيبات غير الأكسجينية، لكن هذه الخواص تنعكس في الحدود الثقيلة، والكثافات تقارب الواحد، ويتميز طيف ما تحت الأحمر بعصابة شديدة في المنطقة 1750 - 1800 سم-1.
الخواص الكيمياوية
الأميدات، باستثناء ثنائيات الأميد المتبادلة على الآزوت، متعادلة neutres تقريباً في محلولها المائي، ومع ذلك فبإمكانها أن تعطي مع الحموض القوية أملاحاً واضحة التحلل بالماء كنترات الأست أميد CH3COM+H3,NO3- مثلاً، أما ثلاثيات الأميد -R-CO)3N) فلا تعطي أملاحاً.
تتصف الأميدات التي تحمل ذرة هدروجين على الآزوت بالذبذبة amphotere عموماً، فهي تكوّن مع الأسس القوية أو مع أكسيد الزئبق أملاحاً تتحلل بالماء أيضاً. أما محاليل ثنائيات الأميد R-CO)2NH) فتبدي تفاعلاً حمضياً ضعيفاً، وهي أسهل تفاعلاً مع الأسس القوية.
تتألكل الأملاح الصوديومية للأميدات بانتظام على الآزوت بتفاعل من النمط SN1 مؤدية إلى الأميدات N−المتبادلة، وتتألكل الأملاح الفضية للأميدات على الأكسجين بتفاعل من النمط SN2 مكونة إيمنوإترات.
وإضافة إلى المعدنة يمكن «هلجنة» الأميدات التي تحمل ذرة هدروجين مرتبطة بالآزوت على الأقل، فتحل ذرة الهالوجين محل ذرة الهدروجين. ويمكن تكرار «الهلجنة» بالبروم في الأميدات الأولية. وإضافة إلى ذلك يلاحظ تحول الأميدات أحادية الهالوجين تحولاً متبايناً إلى أميدات وأميدات ثنائية الهالوجين.
وتتحول الأميدات الأولية أحادية البروم بالبوتاس المركز إلى مشتقات إيزوسيانية، ثم إلى أمينات أولية (تفاعل هوفمان الثاني .
ويُحوّل حمض الآزوتي الأميدات N- أحادية التبادل إلى نتروز أميدات ثابتة:
ويتطور المشتق النتروزي من الأميدات الأولية إلى الحمض الموافق مروراً بديازوألدهيد وذلك بحذف الآزوت:
وتقود هدرجة الأميدات إلى نتائج معقدة منفصمة إلى ماء وأمين، أو إلى غول أولي وأمين، أو معانية تنافسا ً بين التفاعلين.
أما هدرجة الأميدات N− الثنائية التبادل فتقتصر على إعطاء الأمين والماء.
وتنفرد الأميدات الأولية بقابلية نزع الماء إلى نتريلات بالوساطة (ألومين) في الطور الغازي أو بفعل بلا حمض الفسفور أو خماسي كلور الفسفور.
ويؤدي الهجوم النكليوفيلي nucleophile على الكربون الوظيفي إلى طرد الدقيقة particule النكليوفيلية الآزوتية:
وقد يحدث حذف لهدروكسيل، كما في فعل خماسي كلور الفوسفور الذي يقود إلى كلور الإيمينات الفعالة كفعالية كلور الحموض:
أما الأميدات الأولية فتؤدي إلى النتريلات الموافقة
تتحلل الأميدات بالماء ببطء شديد، إلا أن التحلل بالماء يتسارع بحضور الحموض القوية (معطياً الحمض وملح الأمونيوم للحمض القوي)، كما تتحلل بحضور الأسس القوية (لتعطي الملح المعدني للحمض وتطلق النشادر أو الأمين). ويطلق على هذا التحلل بالماء تعبير «تصبن الأميد». أما تحلل الأميدات بالغول إلى إستر وأمين فتفاعل صعب ومحدود.
وتتفاعل المركبات العضوية المغنزيومية مع أحاديات الأميد N−ثنائية التبادل معطية مركباً توأمياً يتحلل بالماء متفككاً إلى ثنائي إتيل الأمين والكيتون:
وتقتصر الفائدة العملية من هذا الاصطناع على استعمال ثنائي إتيل الفورم أميـــد H-CON(C2H5)2 للحصول على الألدهيدات.
أما الأميدات N- أحادية التبادل فتتمعدن أولاً بالمركبات العضوية المغنزيومية، ثم تضم جزيئاً ثانياً من المركب العضوي المعدني، وبالتحلل المائي لمركب الضم ينتج كيتون وأمين:
وتكون الأمور أكثر تعقيداً في الأميدات الأولية، إذ غالباً ما يُفلت الهدروجين الثاني من المعدنة، ويتتابع التفاعل كما في الأميدات N- الأحادية التبادل. وإذا تمعدن الهدروجين الثاني فإنه يعطي في النهاية كيتوناً مروراً بنتريل.
التطبيقات العملية
تستعمل الأميدات في اصطناع الأمينات بتفاعل هوفمان الثاني، وفي اصطناع الألدهيدات بتفاعل المركبات العضوية المغنسيومية مع ثنائي إتيل الفورم أميد.
وتعد أستلة الأمينات الأريلية Ar-NH2 التي تعطي أميدات N- متبادلة كالأسِت أنيليد C6H5-NH-COCH3 إجراء يحمي الوظيفة الأمينية من الأكسدة ومن التأثر بكواشف تفاعلات التبادل على النواة العطرية.
ويستعمل الأست أميد مذيباً سواء في المختبرات (لتعيين انخفاض نقطة التجمد) أو في صناعة الملونات، كما يستعمل بسبب صفته المذبذبة مضاداً للحمض ثميناً لِلَّكات laques ومواد التجميل والمتفجرات، ويدمج أحياناً في شتى النسج والثياب للإفادة من خاصة حرصه على الرطوبة.
أما N- بروم السكسينيميد فهو عامل بَرْوَمة جذرية قوي:
انظر أيضا
المصادر
- ^ صلاح يحياوي. "الأميدات". الموسوعة العربية. Retrieved 2012-04-08.
- ^ Bodroux F., Bull. Soc. Chim. France, 1905, 33, 831;
- ^ Bodroux reaction at the Institute of Chemistry, Skopje, Macedonia Link
- ^ Schulenberg, J. W.; Archer, S. Org. React. 1965, 14.
- ^ A. W. Chapman, "CCLXIX. - Imino-aryl ethers. Part III. The molecular rearrangement of N-phenylbenziminophenyl ether", Journal of the Chemical Society, Transactions, 127:1992-1998, 1925. doi:10.1039/CT9252701992
- ^ Advanced organic Chemistry, Reactions, mechanisms and structure 3ed. Jerry March ISBN 0-471-85472-7
- ^ Ueber einige Reaktionen der aromatischen Cyanate R. Leuckart Berichte der deutschen chemischen Gesellschaft Volume 18 Issue 1, Pages 873 - 877 1885doi:10.1002/cber.188501801182
وصلات خارجية
- Amide synthesis (coupling reaction) - Synthetic protocols from organic-reaction.com
- IUPAC Compendium of Chemical Terminology


