إپوكسي
(تم التحويل من إيبوكسي)
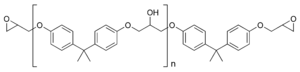
إبوكسي أو إبوكسي الراتنجات إنگليزية: Resin Epoxy مادة كيمائية تعتبر أحد أنواع اللدائن الصلبة بالحرارة. ذات مركبين : أساس (resin) و مصلب (hardener) وهي شديدة الإلتصاق ومقاوم للإحتكاك والمواد الكيماوية سواء كانت أحماض أو قواعد أو مذيبات ، حيث تتشكل طبقة عازلة عند جفافها. تستخدم كطلاء أو مونة أو لاصق. أكثر أنواع الإيبوكسي الراتنج إنتاجا هي الناتجة عن التفاعل بين مادتي epichlorohydrin وbisphenol ألف الكيميائيتين.
أول محاولة لإنتاجه من هذه المادة كانت في عام 1927 بالولايات المتحدة عبر شركة سيبا السويسرية لإنتاج الكيماويات.
تاريخ
الإيبوكسي كطلاء
الإيبوكسي كمونة
الإبوكسي في الصناعة
الأنظمة الكهربائية والألكترونية
الإبوكسي في الفن
يستخدم الإبوكسي الراتنج ، عندما يخلط مع الخضاب بوضع طبقات واحدة فوق الأخرى.
مراجع
This article may include material from Wikimedia licensed under CC BY-SA 4.0. Please comply with the license terms.
