المجانسة
المجانسة homography أو التقابل المتجانس homographic correspondence هو التقابل بين متحولين جبريين حقيقيين x وy؛ كل منهما من الدرجة الأولى، تربطهما العلاقة axy + bx + cy + d = 0 حيث a, b, c, d ∈ R (a,b,c,d أعداد حقيقية).
يمكن أن تكون x وy فاصلتي نقطتين على محور واحد (أو على محورين مختلفين)، أو أمثال توجيه مستقيمين، أو غير ذلك.
مثال (1): لتكن M(x, y) نقطة ما من منحني الدالة (التابع) (الشكل 1) إحداثياها x وy اللذان تربطهما علاقة المجانسة 2xy - 3x + y + 2 = 0.
مثال (2): ليكن المثلث ABC (الشكل 2) فيه AD وAE منصفاً زاوية الرأس A (الداخلي والخارجي). يوجد تناسب بين أطوال القطع المستقيمة
فإذا اتخذ BC محوراً، واتخذت نقطة ما منه O (مثلاً) مبدأً للإحداثيات،
فإن الفاصلتين x وx`
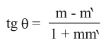
مثال (3): ليكن L وL` مستقيمين متقاطعين في المستوي المنسوب إلى المحورين الإحداثيين OX وOY ميلاهما m وm` والزاوية بينهما θ فإن:
فإذا كانت tg θ = α فإن الميلين m وm` تربطهما علاقة المجانسة:
α m m`+ m`- m + α = 0
خصائص أساسية لعلاقة المجانسة axy + bx + cy + d = 0:
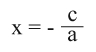
1) في الحالة العامة عندما a ≠ 0 يمكن حساب أحد المتحولين بدلالة الآخر، مثلاً:
2) عندما a = 0 وb, c ≠ 0 يمكن التعبير عن أحد المتحولين كتابع للآخر بعلاقة خطية، مثلاً:
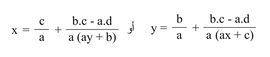
3) a ≠ 0 يجعل العلاقة axy + bx + cy + d = 0 مكافئة للعلاقة (ax + c) (ay + b) = b.c - a.d أو
آ) b.c - a.d ≠ 0 فكل قيمة منتهية
للمتحول y تقابلها قيمة منتهية للمتحول x. أما إذا اقتربت x من القيمة
فإن قيمة y تسعى إلى اللانهاية.
فإن قيمة x تصبح غير مُعرَّفة.
وإذا اقتربت y من القيمة
فإن قيمة x تسعى إلى اللانهاية. وإذا غدت
فإن قيمة x تصبح غير مُعرَّفة
ب) b.c - a.d = 0 فالعلاقة تصبح:
وتدعى شاذة singular أو معتلة improper، ولا تعين نقاط تقابل متجانس.
انظر أيضاً
المصادر
- O. Chum and T. Pajdla and P. Sturm (2005). "The Geometric Error for Homographies". Computer Vision and Image Understanding. 97 (1): 86–102. doi:10.1016/j.cviu.2004.03.004.
- Gunter Ewald (1971) Geometry: An Introduction, page 263, Belmont:Wadsworth Publishing ISBN 0-534-00034-7 .
- Bill Goldman (2005) Transformations in Circle Geometry, course notes from University of Maryland.
- Frank Morley and F.V. Morley (1933) Inversive Geometry, page 38, London: G. Bell and Sons.
وصلات خارجية
- M. Lourakis' homest is a GPL C/C++ library for robust, non-linear (based on the Levenberg-Marquardt algorithm) homography estimation from matched point pairs. homest can estimate fully projective and affine homographies with a variety of objective functions.
- OpenCV is a complete (open and free) computer vision software library that has many routines related to homography estimation (cvFindHomography) and re-projection (cvPerspectiveTransform). Download and documentation information is on the OpenCV Wiki.
- Computing the plane to plane homography
- How to compute a homography
- MATLAB Functions for Multiple View Geometry Matlab functions for calculating a homography and the fundamental matrix
- Explanation of Homography Estimation by David Kriegman





