بنزالدهيد

البنزالدهيد
Benzaldehyde
الصيغية الهيكلية.
نموذج الكرة والعصا.
الأسماء
اسم أيوپاك
بنزالدهيد
اسم أيوپاك النظامي
Benzenecarbaldehyde
Phenylmethanal
أسماء أخرى
Benzoic aldehyde
المُعرِّفات
رقم CAS
3D model (JSmol)
ChEBI
ChEMBL
ChemSpider
ECHA InfoCard 100.002.601 Edit this at Wikidata
KEGG
رقم RTECS
  • CU437500
UNII
الخصائص
الصيغة الجزيئية C7H6O
كتلة مولية 106.12 g mol-1
المظهر عديم اللون أو سائل أصفر
يتفتت بقوة
الرائحة شبيه باللوز
الكثافة 1.0415 گ/مل، سائل
نقطة الانصهار
نقطة الغليان
قابلية الذوبان في الماء 0.3 گ/100 مل (20 °س)[1]
قابلية الذوبان يذوب في سائل الأمونيا
قابلية الذوبان .695 گ/100 مل
log P 1.48
الحموضة (pKa) 14.90
معامل الانكسار (nD) 1.5456
اللزوجة 1.321 cP (25 °س)
الكيمياء الحرارية
الإنتالپية المعيارية
للتشكل
ΔfHo298
−36.8 كج/مول
الانتالبية المعيارية
للاحتراق
ΔcHo298
−3525.1 كج/مل
المخاطر
مضر (Xn)
توصيف المخاطر R22
تحذيرات وقائية (S2), S24
NFPA 704 (معيـَّن النار)
Flammability code 2: لابد أن يكون ساخناً باعتدال أو معرضاً لدرجة حرارة محيطة مرتفعة نسبياً قبل أن يحدث اشتعال. نقطة الوميض بين 38 و 93 °س (100 و 200 °ف). مثل وقود الديزلHealth code 2: التعرض الشديد أو المتواصل ولكن ليس بمزمن قد يتسبب في عجز مؤقت أو جرح بُحتمل بقاؤه. مثل الكلوروفورمReactivity code 1: مستقر في العادة، ولكن قد يصبح غير مستقر عند درجات الحرارة والضغط المرتفعين. مثال: الكالسيومSpecial hazards (white): no codeNFPA 704 four-colored diamond
2
2
1
نقطة الوميض 64 °C (147 °F; 337 K)
192 °C (378 °F; 465 K)
حدود الانفجار 1.4-8.5%
الجرعة أو التركيز القاتل (LD, LC):
1300 mg/kg (rat, oral)
مركبات ذا علاقة
ما لم يُذكر غير ذلك، البيانات المعطاة للمواد في حالاتهم العيارية (عند 25 °س [77 °ف]، 100 kPa).
YesY verify (what is YesYX mark.svgN ?)
مراجع الجدول

البنزالدهيد Benzaldehyde (C6H5CHO)، هو مركب عضوي يتكون من حلقة بنزين ومجموعة فورميل معوضة. وهو أبسط الألديهيدات العطرية وأكثرها فائدة في المجالات الصناعية. لهذا السائل عديم اللون رائحة مميزة تشبه رائحة اللوز، وفي الواقع فإن البنزالدهيد هو المركب الأساسي في زيت اللوز المر، ويمكن استخلاصه من عدد من المصادر الطبيعية الأخرى.


الانتاج

استخلص البنزالدهيد من اللوز المر سنة 1803 على يد الصيدلاني الفرنسي مارتيرز، وفي سنة 1832 تمكن الكيميائيان الألمانيان فريدرش فولر ويوستوس فون ليبيگ من تصنيع البنزالدهيد لأول مرة.

التواجد

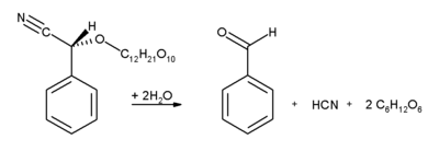
يحتوي اللوز والمشمش والتفاح ونواة الكرز على كميات جيدة من الأميگدالين، ويتكسر هذا الگليكوزيد بتحفيز إنزيمي إلى بنزالدهيد وسيانيد الهيدروجين وجزيئتي جلوكوز.

amygdalin


التفاعلات

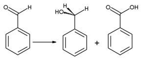
يتأكسد البنزالدهيد إلى حمض البنزويك عديم الرائحة وهو شائبة شائعة في النماذج المختبرية. ويمكن تحضير كحول البنزيل عن طريق هدرجة البنزالدهيد. وينتج حمض السيناميك من تفاعل البنزالدهيد مع خلات الصوديوم اللامائية وأنهدريد الخليك، بينما يستخدم سيانيد البوتاسيوم الكحولي لتحفيز تفاعل تكاثف البنزالدهيد إلى البنزوين. يتفاعل البنزالدهيد بشكل غير متكافئ عند معاملته بقلوي مركز تفاعل كانيزارو حيث تختزل إحدى جزيئتي الألديهيد إلى الكحول المقابل، وتتأكسد الجزيئة الأخرى في نفس اللحظة إلى بنزوات الصوديوم.

تفاعل كانيزارو.


الاستخدامات

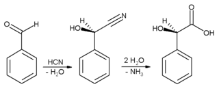
عادة ما يستخدم للحصول على نكهة اللوز. يستخدم البنزالدهيد بشكل رئيسي كمركب طليعي لمركبات عضوية أخرى، تتنوع من الأدوية إلى إضافات اللدائن. يحضر صباغ الملكيت الأخضر الأنيليني من البنزالدهيد وثنائي ميثيل الأنيلين. وهو أيضاً مركب طليعي لبعض صبغات الأسريدين. عن طريق التكاثفات الألدولية، يتحول البنزالدهيد إلى مشتقات السينامالديهيد والستايرين. تحضير حمض المندليك يبدأ من البنزالدهيد:

تحضير حمض المندليك

الأمان

تم تصنيف البنزالديهد كمادة خطرة من قبل الوكالة الأمريكية لحماية البيئة.[2]

يستخدم البنزالدهيد كمادة منهكة ومعطرة في الأغذية، مستحضرات التجميل، الأدوية والصابون و"يعتبر آمن عموماً" (GRAS) حسب ادارة الغذاء والدواء.[3]

المصادر

  1. ^ "GESTIS Substance database". Institute for Occupational Safety and Health of the German Social Accident Insurance. Retrieved 21 August 2012.
  2. ^ http://www.epa.gov/iris/subst/0332.htm
  3. ^ Friedrich Brühne; Elaine Wright (2007), "Benzaldehyde", Ullmann's Encyclopedia of Industrial Chemistry (7th ed.), Wiley, p. 11 

وصلات خارجية