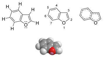
بنزو فيوران
| بنزو فيوران | |
|---|---|
| تسمية IUPAC | Benzofuran |
| الصيغة الكيميائية | C8H6O |
| الكتلة الجزيئية | 118.13 g/mol |
| نقطة الإنصهار | < -18 °C |
| نقطة الغليان | 173 °C |
| رقم CAS | 271-89-6 |
| SMILES | C1(OC=C2)=C2C=CC=C1 |
![]() | |
البنزو فيوران، والذى يعرف بإسم كومارون، أو بنزو[بي]فيوران حلقة عضوية أروماتية غير متجانسة.
شاهد أيضا
- فيوران, شبيه للبنزو فيوران بدون حلقة البنزين.
- إندول, شبيه للبنزو فيوران ولكن بوجود ذرة نيتروجين بدلا من الأكسجين.
- الحلقات الأروماتية البسيطة.
- سورالين, مركب طبيعي يحتوى على البنزو فيوران.
المصادر
- ويكيبيديا الإنجليزية.
This article contains content from Wikimedia licensed under CC BY-SA 4.0. Please comply with the license terms.
