تدفق كهربائي
| كهرومغناطيسية | ||||||||||
كهرباء • مغناطيسية
| ||||||||||
التدفق الكهربائي هو عدد خطوط المجال الكهربائي التي تعبر سطح ما (سطح غاوس) فكلما زادت هذه الخطوط زادت قيمة التدفق و يمكن حساب قيمة التدفق حسب قانون غاوس الذي ينص على أن خطوط المجال الكهربائي التي تعبر سطح ما هي مساوية للمجموع الكلي للشحنة التي بداخل ذلك السطح مما يعني أنه إذا كانت قيمة التدفق موجبة فذلك يعني أن الخطوط خارجة من السطح أما إذا كانت سالبة فذلك يعني أن الخطوط داخلة نحو السطح .
حيث
E هي المجال الكهربائي
dA وهي مساحة تفاضلية من السطح
القانون في صيغته التكاملية هو أولى معادلات ماكسويل الأربع والوحدة الدولية للتدفق الكهربائي هي كولوم
شرح
إن تدفق الحقل الكهربائي electric field flux أو تدفق أي حقل متجه→B عبر سطح معين S هو حاصل ضرب مساحة السطح في مركبة الحقل العمودية ^B على هذا السطح.[1]
ويفترض هذا التعريف ضمنياً أن السطح مستو والحقل منتظم (أي له الجهة نفسها والقيمة نفسها عند أي نقطة من نقاط السطح)، الشكل -1. فإذا كان الحقل عمودياً على السطح، (الشكل -1،أ)، كان التدفق جداء المساحة بقيمة الحقل، أما إذا كان الحقل مائلاً على السطح كانت المركبة العمودية
. يعبر عن حاصل الضرب في هذه الحالة: الجداء العددي→B→.S، على أن تمثَّل S بمتجهة عمودية على السطح ومقدارها مساحته، (الشكل -1،ب). أما عندما يكون السطح غير مستوٍ فيجزَّأ إلى سطوح عنصرية لا متناهية في الصغر تمثل كل منها بالمتجهة →ds التي يمكن أن تعدّ مستوية بسبب صغرها ويحسب بمتجهة الحقل عند مركز الجزء ds ثم تجمع أو تكامل على السطح كله للحصول على التدفق عبر السطح ɸأي يكون:
وفي الحالة العامة يمكن أن تتغير →Bو →ds والزاوية بينهما α من نقطة إلى أخرى (الشكل -2).
تعريف
في الواقع، وكما تشير كلمة التدفق لأول وهلة، فإن تعريفه مستمد من جريان الموائع. وقد استخدم علماء القرن التاسع عشر عند صياغتهم النظرية الكهرومغنطيسية في التحريك الكهربائي مقارنات مع نظرية جريان الموائع لتكون أداة مساعدة لتخيلاتهم. فالتدفق عبر أنبوب هو كمية المائع التي تعبر سطح الأنبوب في واحدة الزمن. ويحسب نتيجة حاصل ضرب الكثافة بالسطح بالسرعة الوسطية للجريان. وقد أدخلت السرعة الوسطية (العمودية على مقطع الأنبوب) بسبب اختلاف السرعة من نقطة إلى أخرى فأدخل حقل السرع الشعاعي ليحدّد السرعة عند كل نقطة، كما أدخل مفهوم خطوط التيار وأنابيب التيار عند دراسة تحريك الموائع. بالمقابل فقد أدخل مفهوم خطوط القوة (أو الحقل) التي فيها المماس عند أية نقطة منها منطبق على الحقل عند تلك النقطة ومازال البعض يسميها خطوط الجريان. وبالمثل أدخل مفهوم أنبوب القوة أو الحقل عندما ترسم الخطوط مستندة إلى منحن مغلق. ويُسهِّل إدخال مفهوم التدفق شرح كثير من الظواهر وآثارها. فإذا كان الحقل حقلاً كهربائياً سمّي التدفق الكهربائي، وإذا كان الحقل حقلاً مغنطيسياً سمّي التدفق المغناطيسي magnetic flux، وإذا كان الحقل يمثل تدرج في درجة الحرارة سمّي التدفق الحراري (تدفق الطاقة الحرارية) أو تدفق الطاقة.
تدفق الحقل الكهربائي
يتعلق تدفق الحقل الكهربائي مثلاً، بتوزع الشحنة على سطح الناقل، فيكون التدفق عبر واحدة السطح أو ما يسمى كثافة التدفق flux density، مساوياً الشحنة الكهربائية في واحدة السطح أي الكثافة السطحية. وبما أن اتجاه الحقل الكهربائي عند نقطة من سطح ناقل عمودي على هذا السطح فإن خطوط الحقل تنطلق من السطح موجب الشحنة متجهة نحو السطوح سالبة الشحنة، فإذا ما تشكل أنبوب من هذه الخطوط كان التدفق عبر هذا الأنبوب ثابتاً شريطة أن لا يحتوي على شحنات ما عدا المتوزعة على السطوح.
تدفق الحقل المغناطيسي
أما تدفق الحقل المغنطيسي أو التدفق المغنطيسي اختصارأ فيساعد في حساب القوة المحركة الكهربائية، فهي تساوي في ملف محرك كهربائي تغير التدفق مع الزمن. كما تساعد في صياغة قوانين التحريك الكهربائي[ر] صياغة رياضية وفق قوانين مكسويل.
التدفق الحراري
تقوم كثافة التدفق الحراري (وهي كمية الحرارة التي تعبر واحدة السطح في واحدة الزمن بصورة عمودية عليه) بدور مماثل في التعبير عن خواص المادة الحرارية، فهي متناسبة مع حقل التدرج في درجة الحرارة وثابت التناسب هو الناقلية الحرارية للمادة، وذلك عندما تنتقل الحرارة عبر قضيب معدني أو أنبوب وضع طرفاه على تماس مع منبعين حراريين مختلفين في درجة حرارتهما.
يمكن أن يفيد التدفق أيضاً في حساب تدفق الطاقة بأشكالها الأخرى مثل الطاقة الضوئية القادمة من الشمس. وعلينا عند حساب التدفق تحديد الحقل الذي يحمل الطاقة والسطح المراد حساب التدفق عبره فنقارن مثلاً بين شدات الإضاءة من منابع مختلفة أو شدات الإنارة للسطوح المختلفة باستخدام هذا المفهوم أو مفهوم كثافة التدفق.
نظرية غاوس
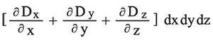
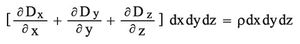
وثمة علاقة مفيدة تربط بين التدفق عبر سطح مغلق (الذي هو تكامل مركبة الحقل على السطح كله) وتكامل على الحجم الذي يضمه هذا السطح لما يعرف بتفرق الحقل الذي يرمز له بـdiv. تظهر فائدة هذا الربط بصورة خاصة في المواد العازلة تحت تأثير حقل كهربائي فتتأثر المادة ويظهر هذا التأثير عبر حقل الإزاحة الكهربائية الكلي ، فيكون التدفق الكهربائي عبر سطح مغلق يساوي، وفق نظرية غاوس Gauss، مجموع الشحنات الكهربائية الحرة الموجودة داخله. فإذا حسبنا التدفق عبر سطح على شكل متوازي مستطيلات عنصري أبعاده da وdy وdz (لا متناهية الصغر) (الشكل -3) نجد أولاً أن التدفق عبر الوجهين المتقابلين العموديين على المحور x مساوٍ لحاصل طرح التدفق عبر كل منهما مع الانتباه إلى تغير قيمة الحقل عند أحدهما عن الآخر فيكون:
Dx (x+dx) dy dz -Dx(x) dy dz
وعند نشر (Dx (x+dx بجوار x والاكتفاء بالحد الأول يكون:
وبإضافة التدفقين عبر كلٍ من الوجهين المتقابلين الآخرين نجد أن التدفق الكلي يساوي:
وهو بحسب نظرية غاوس يساوي مجموع الشحنات الموجودة داخله، فإذا رمز بـ ρ لكثافة الشحنات يكون مجموعها ρ dx dy dz وعليه يكون:
ويعرف ما داخل القوس بتفرق الحقل الذي مركباته Dx وDy وDz في جملة المحاور الديكارتية المختارة فيكون:
في حالة حساب التدفق عبر سطح مغلق كبير يكون:
انظر أيضا
المصادر
- ^ فوزي عوض. "التدفق". الموسوعة العربية. Retrieved 2012-05-05.
مراجع للإستزادة
- T.B.Akrill, G.A.G.Bennet & C.J.Miller, Physics (Edward Arnold Lt.d., G.B 1979).
- M.W.Zemansky, Heat and Thermodynamics (McGraw-Hill Book Comp. Student ed. 1957).

