رابطة هيدروجينية

An example of a quadruple hydrogen bond between a self-assembled dimer complex reported by Meijer and coworkers.[1]

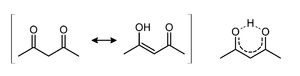
Carboxylic acids often form dimers in vapor phase.
الأصرة الهيدروجينية تتكون عند اتحاد الهيدروجين مع عناصر ذات كهروسلبية عالية مثل الهالوجينات والأوكسجين تكون الأصرة التساهمية وهذه العناصر ذات قطبية عالية نظرآ للفارق الكبير في الكهروسلبية مما يؤدي إلى ظهور شحنة جزئية موجبة على ذرة الهيدروجين مكونآ قطبآ موجبآ وشحنة جزئية سالبة على ذرة العنصر الأخر وبسبب وجود هذه القطبية العالية فان احد طرفي الجزيئة المستقطبة سوف تتجاذب مع طرف جزئية مجاورة يحمل شحنة جزئية مغايرة وهكذا فان اطراف الجزئيات التي تحمل شحنة سالبة سوفتتجاذب مع اطراف جزئيات تحمل شحنة جزئية موجبة والعكس صحيح ويرمز لها عاة بخط منقط(0000).
الروابط الهيدروجينية في الماء

Snapshot from a simulation of liquid water. The dashed blue lines from the molecule in the center of the picture represent hydrogen bonds.
الروابط الهيدروجينية في الدنا والبروتين
المصادر
- ^ Felix H. Beijer, Huub Kooijman, Anthony L. Spek, Rint P. Sijbesma, E. W. Meijer (1998). "Self-Complementarity Achieved through Quadruple Hydrogen Bonding". Angew. Chem. Int. Ed. 37: 75–78. doi:10.1002/(SICI)1521-3773(19980202)37:1/2<75::AID-ANIE75>3.0.CO;2-R.
{{cite journal}}
: CS1 maint: multiple names: authors list (link)
- George A. Jeffrey. An Introduction to Hydrogen Bonding (Topics in Physical Chemistry). Oxford University Press, USA (March 13, 1997). ISBN 0-19-509549-9
- Robert H. Crabtree, Per E. M. Siegbahn, Odile Eisenstein, Arnold L. Rheingold, and Thomas F. Koetzle (1996). "A New Intermolecular Interaction: Unconventional Hydrogen Bonds with Element-Hydride Bonds as Proton Acceptor". Acc. Chem. Res. 29 (7): 348–354. doi:10.1021/ar950150s.
{{cite journal}}
: CS1 maint: multiple names: authors list (link) - Alexander F. Goncharov, M. Riad Manaa, Joseph M. Zaug, Richard H. Gee, Laurence E. Fried, and Wren B. Montgomery (2005). "Polymerization of Formic Acid under High Pressure". Phys. Rev. Lett. 94 (6): 065505. doi:10.1103/PhysRevLett.94.065505.
{{cite journal}}
: CS1 maint: multiple names: authors list (link) - F. Cordier, M. Rogowski, S. Grzesiek and A. Bax (1999). "Observation of through-hydrogen-bond (2h)J(HC') in a perdeuterated protein". J Magn Reson. 140: 510–2. doi:10.1006/jmre.1999.1899.
{{cite journal}}
: CS1 maint: multiple names: authors list (link) - R. Parthasarathi, V. Subramanian, N. Sathyamurthy (2006). "Hydrogen Bonding Without Borders: An Atoms-In-Molecules Perspective". J. Phys. Chem. (A). 110: 3349–3351.
{{cite journal}}
: CS1 maint: multiple names: authors list (link)
This article contains content from Wikimedia licensed under CC BY-SA 4.0. Please comply with the license terms.