غشاء خلوي

الغشاء الخلوي أو السيتوبلازمي هو طبقة ثنائية دهنية نصف نفاذة مشتركة في جميع الخلايا الحية. يحتوي هذا الغشاء مجمل كيان الخلية من هيولى (سيتوبلازم) و ما فيها من عضيات خلوية يتألف بشكل خاص من البروتينات و دهون مرتبة بشكل فسيفسائي ، هذه المكونات الغشائية تدخل في مجموعة واسعة من العمليات الخلوية . في نفس الوقت يمكن أن يعمل كنقطة اتصال بين الهيكل الخلوي و الجدار الخلوي في حال وجوده. ربما تكون مهمته الأساسية هي تنظيم دخول و خروج الجزيئات إلى الخية و خروجها منه ، عدا عن استقبال الإشارات الحيوية من خارج الخية عن طريق ما يسمى المستقبلات .
يقوم الغشاء الخلوي أيضا بإحاطة الهيولى و فصلها فيزيائيا عن بقية المكونات خارج خلوية بهذا يقوم بمهمة جدار فاصل مشابه لمهمة الجلد . هذا الحاجز قادر على تنظيم الخرج/دخل للخلية الحية باعتباره نصف نفوذ أو نفوذ نوعيا - انتقال المواد عبر الغشاء يمكن أن يتم بشكل منفعل passive حسب قواعد الانتثار وفق تدرج التركيز و هنا يتطلب أن تكون المادة منحلة في الدسم لتنحل في الطبقة الثنائية الدسمة أو منحلة في الماء لتؤمن عبورها مع الماء عبر القنوات الشاردية الموجودة ضمن البروتينات الغشائية ، طريقة أخرى للنقل تدعى بالنقل الفعال تتطلب صرف طاقة يتم الحصول عليها عن طريق جزيئات آ تي بي تقوم بها جزيئات بروتينية خاصة تعمل كمضخات شاردية .
تتواجد أيضا ضمن الغشاء مشتقبلات بروتينية تعمل على استقبال الإشارات الحيوية من البيئة الخارجية للخلية على شكل مرسالات خلوية كيميائية أو هرمونات . يتم نقل هذه الإشارات إلى الداخل الخلوي مما يؤدي للاستجابة على هذه الإشارة . بعض البروتنيات الأخرى تعمل كعلامات تميز هذه الخلايا بالنسبة لخلايا أخرى لإتمام التواصل. ترابط هذه البروتينات مع مستقبلاتها النوعية في الخلايا الأخرى تشكل الأساس للتآثر الخلوي الخلوي في الجهاز المناعي .
البنية
الطبقة الثنائية الدهنية

ويبدو الغشاء الخلوي في صور المجهر الإلكتروني منخفضة الإيضاح كخط رقيق داكن ، يبلغ سمكه 8.5-10 نانومتر. ويتميز التعضي الجزئي للغشاء بالتعقيد ، وبأنه يؤدي عديدا من الوظائف الضرورية. ويقوم الغشاء الخلوي بتنظيم حركة الأيونات والجزئيات الكبيرة إلى داخل الخلية وخارجها. ويزود هذا الغشاء بوسائل للإرتباط والإتصال بالخلايا المجاورة ، كما يزود بجزيئات أنتيجنية تشكل أساس التعرف الخلوي والخصوصية النسيجية ، وكذلك يزود الغشاء بآلية ضخ الأيونات لتنظم البيئة الداخلية للخلايا ، وأيضا بمستقبلات للهرمونات وآليات لتوليد جزئيات ، تعمل كرسل لتنشيط الإستجابة الخلوية الفسيولوجية للمؤثرات.
وقد استخدم العديد من الباحثين الغشاء الخلوي لكريات الدم الحمراء في بحوثهم.الجنزوري, منير (2004). أساسيات بيولوجيا الخلية. القاهرة، مصر: الدار العربية للكتاب. {{cite book}}
: Unknown parameter |coauthors=
ignored (|author=
suggested) (help)
ويتكون الغشاء الخلوي من جزيئات دهون وبروتينات يرتبط ببعضها مركبات عديدة التسكر نهائية Terminal Polysaccharides، ومن ثم فهي جليكوليبدات و جليكوبروتينات. وتعتبر الدهون بالغشاء هي المسئولة عن تكوين العديد نم خصائص النفاذية Permeability للغشاء، بينما ترجع خصائصه الإنزيمية إلى مكوناته البروتينية.
النموذج الفسيفسائي السائل
ومن أبرز النماذج الحديثة المقبولة التي قدمت لطريقة بناء تركيب الغشاء الخلوي ، ذلك النموذج الذي قدمه العالمان سنجر ونيكولسون (1972) تحت إسم "النموذج الفسيفسائي السائل" Fluid Mosaic Model. ويحتوي الغشاء الخلوي – على حسب ذلك النموذج – على طبقة ثنائية الجزيئات من الدهون Bimolecular Lipid Layer، تخترقها جزئيات بروتينة في ترتيب فسيفسائي. وترتبط بعض جزيئات الدهون على السطح الخارجي للغشاء بمواد نشوية لتكون بذلك جليكوليبيدات. ويطلق على البروتينات التي تنتظم على سطحي الغشاء مرتبطة بالجهة القطبية لجزيئات الدهون إسم "بروتينات سطحية" ، وتعرف البروتينات التي تقع بين جزيئات الدهون أو تلك التي تقع ممتدة بين سطحية بإسم "البروتينات المتممة" Integral Proteins. وكثيرا ما ترتبط جزئيات البروتينات السطحة بسلاسل من السكريات لتتكون بذلك "جليكوبروتينات". والجدير بالذكر أن البروتينات السطحية تكون عادة ضعيفة الإرتباط بالغشاء وسهلة الإنفصال عنه، عكس البروتينات المتممة. وتتكون ثقوب الغشاء الخلوي عن طريق إنتظام خاص لجزيئات بروتينات متممة.
الغرض منه
ويمكن تمييز الغشاء الخلوي في صور المجهر الإلكتروني عالية الإيضاح للقطاعات الرقيقة على هيئة طبقتين داكنتين إلكترونيا (سمك كل منهما 205-3 نانومتر) يفصل بينهما طبقة وسطية رائقة إلكترونيا (سمكها 3.5-4 نانومتر). والجدير بالذكر أن هذا النظام لا يعني أن للغشاء الخلوي تركيبا ثلاثي الطبقات Trilaminar structure، ولكنه يوضح نظاما مميزا لإرتباط الأوزميوم Osmium – المستخدم كصبغة Stain في إعداد العينات (للمجهر الإلكتروني) – بجزيئات الغشاء الخلوي.
التكوين
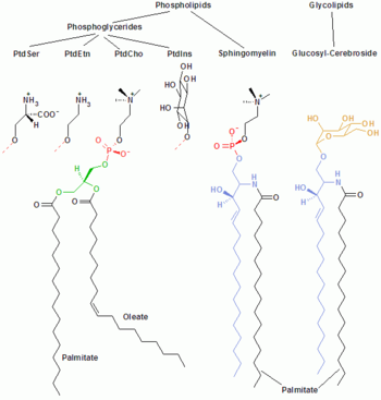
دهون

ومن أكثر طرز دهون الغشاء شيوعا الفوسفولبيدات و الكولسترول والجليكولبيدات. ومن البروتينات نجد كثيرا من الإنزيمات و الأنتيجينات والمستقبلات ، فضلا عن البروتينات التركيبية. وتشمل سلاسل السكريات الموجودة في الجليكوبروتينات والجليكولبيدات مشتقات من الجلوكوز ، مثل: D-galactose, D-mannose, L-fucose, Sialic acid, Nacety – D–glucosamine, and N-acety – D–Galactosamine. [1]
ويحقق هذا النموذج عدم تماثل الغشاء عند نصفيه الداخلي والخارجي ، حيث تسود بعض المكونات على أحد نصفيه دون الآخر. وبمعنى آخر فإن الرقاقتين لا تحتويان على الطرز نفسها ، أو على كميات متساوية من البروتينات السطحية أو الغشائية ، كذلك فإن جزيئات الدهون المختلفة لا تتوزع بالتساوي بين طبقتي الدهون المكونة للغشاء. ويتأكد عدم تماثل رقاقتي الغشاء الخلوي معا بإرتباط سلاسل السكريات على السطح الخارجي فقط للغشاء ، دون السطح الداخلي.
وتجدر الإشارة إلى أن المكونات الرئيسية للغشاء ترتبط معا في مواقعها عن طريق إرتباطات غير تساهمية ، وأن جزيئات الدهون والبروتينات بالغشاء لديها القدرة على الحركة داخل الغشاء ، مما يعطيه قدرا من السيولة.
النوع | الوصف | أمثلة |
بروتينات متممة | Located spanning the membrane and thus have a hydrophilic cytosolic domain which interacts with internal molecules, a hydrophobic membrane-spanning domain which anchors it within the cell membrane, and a hydrophilic extracellular domain which interacts with external molecules. The hydrophobic domain consists of one, multiple, or a combination of α-helices and β sheet protein motifs. Also known as transmembrane proteins. | Ion channels, proton pumps, G protein-coupled receptor |
Lipid anchored proteins | Located covalently bound to single or multiple lipid molecules, which hydrophobically insert into the cell membrane and anchor the protein. The protein itself is not in contact with the membrane. | G proteins |
Peripheral proteins | They are attached to integral membrane proteins, or associated with peripheral regions of the lipid bilayer. These proteins tend to have only temporary interactions with biological membranes, and once reacted the molecule dissociates to carry on its work in the cytoplasm. | بعض الإنزيمات, بعض الهورمونات |
الوظائف
انظر أيضاً
- AP2 adaptors
- بنية الخلية الجرثومية Bacterial cell structure
- إلتصاق الخلية Cell adhesion
- Efflux (microbiology)
- مرونة الأغشية الخلوية Elasticity of cell membranes
- جرائيم سالبة-الجرام Gram-negative bacteria
- جرائيم موجبة-الجرام Gram-positive bacteria
المصادر
وصلات خارجية
- Lipids, Membranes and Vesicle Trafficking - The Virtual Library of Biochemistry and Cell Biology
- Cell membrane protein extraction protocol
- Membrane homeostasis, tension regulation, mechanosensitive membrane exchange and membrane traffic
- 3D structures of proteins associated with plasma membrane of eukaryotic cells