شبه قلوي

(تم التحويل من قلويدات)
The first individual alkaloid, مورفين، تم عزله في 1804 من poppy (Papaver somniferum).[1]
البنية الكيميائية للإفدرين، a phenethylamine alkaloid

أشباه القلويات أو القلويدات مركبات عضوية نتروجينية ، تتواجد بشكل كبير كمنتجات طبيعية في النباتات ذات الاستعمال الطبي ، حيث تمتلك تأثيرا فيزيولوجيا ودوائيا كبيرا على الإنسان و الحيوانات. ويحتوي شبه القلوي على الكربون والهيدروجين والنيتروجين والأكسجين. وللكميات البسيطة من المركبات شبه القلوية عادة تأثير فعال في الإنسان والحيوان، وتستعمل أدوية أو سمومًا. وبعض المركبات شبه القلوية يركب صناعيا في المعامل الكيميائية، ومنها ما يؤخذ من النباتات.

وتضم المواد شبه القلوية ذات الأهمية الطبية: الكوديين والمورفين ويستخرجان من نبات الخشخاش، والكينين والكيندين ويستخرجان من الكينا. وهناك الكافيين من القهوة والشاي والكوكايين من الكوكا والأفيدرين عقَّار لمعالجة الزكام والربو من الإفيدرا وهو جنس من النباتات، والريزربين من نبات الراولفية سربنتنيا والتوبوكورارين من مستخلص الكورار السام.

وتستخدم المادة شبه القلوية السامة المستخرجة من مستخلص نبات الكورار لدى بعض رجال القبائل البدائيين لتسميم السهام. ويحتوي نبات الشوكران (نبات سام)، الذي استخدم لإعدام الفيلسوف اليوناني سقراط، على كميات قاتلة من الكونيين والمواد شبه القلوية الأخرى. وكذلك فإن الكونتين المستخرج من نبات الأقونيطن شديد السمية. والنيكوتين المستخرج من التبغ مادة سامة للإنسان وتستعمل لقتل الحشرات.


تتكون القلوانيات من حلقات كيميائية غير متجانسة؛ لذلك يصنف القلواني (القلويد) تبعاً لطبيعة الحلقة المكونة له إلى مجموعات مثل البيرولات والبيروليدينات والبيريدينات والببيريدينات والإندولات، والكينولئينات والإيزوكينوليئنات والإيميدازولات والبيريميدينات (الشكل 1). كما توجد أيضاً قلوانيات أخرى تنتج من تكاثف أكثر من نواة أو مجموعة من المجموعات سابقة الذكر، إضافة إلى وجود مجموعة صغيرة من المواد غير معروفة التركيب والتي تشبه القلوانيات. يضاف إلى ذلك القلوانيات الحيوانية المنشأ، والتي تنتج من تخرب لحوم الحيوانات نتيجة تفاعلات خمائرية جرثومية بعضها قابلة للتبلور، وهي سامة جداً، تتصف بخواص القلوانيات النباتية، أَطلَق عليها سلمي Selmi اسم الشلوين أو تومائين ptomaine، وهي مواد مهمة من الناحية الحيوية والدوائية والتحليلية والسمية، وهي المسؤولة عن التسممات الغذائية المنشأ التي تسببها اللحوم الفاسدة. وهناك كذلك قلوانيات حيوانية المنشأ أيضاً تتكون في أثناء الحياة، وهي البياضينات أو اللوكومائين Leucoma المشتق اسمها من بياض البيض وهي تختلف عن الشلوينات لأنها تعد من منتجات البدن الحي الطبيعية.

للقلوانيات المختلفة والموجودة في النبات الواحد دائماً بنية كيميائية متقاربة، وهي حقيقة مهمة جداً ومفيدة تسهل تعيين التركيب الكيميائي عند تحديد القلوانيات الرئيسية التي تنتمي عادة إلى الفصيلة النباتية نفسها.

توجد القلوانيات عادة في النباتات مرتبطة مع الحموض بشكل أملاح، فيتحد القلواني مثلاً مع حمض الأوكساليك (حمض الحماض) وحمض اللبن وحمض المالئيك وحمض الطرطير وحمض الليمون... إلخ. ويعتمد محتوى النباتات من القلوانيات على طبيعة التربة والبيئة والفصل، وهي تتوضع غالباً في أجزاء من النبات مثل الحبوب والأوراق والجذور والقشرة. وتستخلص من النباتات عادة بمعالجتها بقلوي مثل هدروكسيد البوتاسيوم، ثم فصلها باستخلاصها بالإيتر أو الكلوروفورم. وقد عُرِفَ ما يقرب من 3000 قلواني. وكان القلواني الأول الذي صنعه لايدنبرغ Ladenburg عام 1886 أبسطها ويدعى كونين conüne، (أو 2 بروبيل ببيريدين C5H10NC3H7)، وهو ذو سمية عالية، إذ إن أقل من 0.2غ منه يقتل الإنسان. يتم الحصول على الكونين من بذور الشوكران hemlock، وهو سم أستخدم في إعدام سقراط. وأكثر سموم هذه المجموعة استخداماً هو الستريكنين وهو سم زعاف، والإنسان أشــد حساسية بالستريكنين من جميع الحيوانات، وهي تختلف من شخص لآخـــر، وإن 0.05غرام من الستريكنين مميت للإنسان الكهل. أما أشد الحيوانات مقاومة للستريكنين فهي الديك والحمام والرخويات. أما الكورار فهو قلواني آخر يسبب الشلل، وقد استخدم لطرد الهنود من أمريكا الجنوبية عن طريق تشريب السهام به، وحمض الليزرجيك LSD، وهو أحد القلوانيات الرئيسية الموجود في فطر الأرغوت (مهماز الشيلم)، الذي يؤدي إلى انفصام الشخصية والهلوسة.

لم يُعرف حتى اليوم دور القلوانيات في النبات على نحو قاطع. وقد افترض هيكل Heckel أن القلوانيات عبارة عن نواتج وسيطة لتشكيل البروتوبلاسما الخلوية. وإذا كانت هذه الفرضية صحيحة فإنها لا تنطبق إلا على القلوانيات التي يكون تركيبها قريباً من الحموض الأمينية. ثبت تجريبياً أن النباتات غير قادرة على تمثل معظم القلوانيات، وبتعبير آخر إذا ما انخفض محتوى النبات من القلواني في أثناء النمو فإنه لن تنتج منه زيادة موافقة في كمية البروتينات. وذهب بعض المؤلفين مثل ايرّيرا Errera إلى افتراض أن القلوانيات تفيـد في حماية النبات، وقد استندت فكرتهم هذه إلى كون القلوانيات مواد موجودة غالباً في الأعضاء المحيطية كالأزهار والثمار وغيرها من النبات. لكن يلاحظ أن القلوانيات لا تحمي النبات من الحيوانات الصغيرة أو الكبيرة على حد سواء. وثمة نظرية مفادها أن للقلوانيات خاصة تنشيط الاستقلاب النباتي، ولكن ذلك لم يثبت تجريبياً بالرغم من وجود مؤشرات عدة تتفق وصحتها.

تبنى بعض العلماء فكرة أن القلوانيات النباتية هي نواتج استقلاب، أي إنها فضلات ناتجة من الاستقلاب الخلوي، وهي بذلك تقوم بتثبيت جزء من الآزوت المطروح، فهي تقوم بدور البولة وحمض البول نفسه عند الحيوانات. غير أن هذه النظرية تفتقر إلى البرهان التجريبي. كما أنه، في الوقت نفسه، يصعب الاقتناع بأن النبات يقوم بصنع جزيء كبير معقد مثل القلوانيات من أجل تثبيت ذرة آزوت واحدة فقط.

وقد اقترح لارسن R.A.Larson، إضافة إلى ما سبق، أن القلوانيات ربما تقوم بدور في حماية النبات من الأكسجين الوحيد 1O2، الذي يسبب بوجود الضوء ضرراً بكل المتعضيات الحية. وقد أظهرت معظم القلوانيات المدروسة هذه الخاصة في تثبيت الأكسجين. لذلك يتوقع المرء أن تتراكم القلوانيات في المناطق ذات الكثافة النباتية العالية والتركيز العالي من الأشعة فوق البنفسجية، وهذا ما يحدث فعلاً.

وإذا كان دور القلوانيات في العالم النباتي لم يحسم بعد، فإن صنع هذه المواد وتوليدها داخل النبات أصبح معروفاً تماماً، فهي تتشـكل من الحموض الأمينية، وإن ألدهيد النمل (ألدهيد فورميك) يقوم حتماً بدور مهم في التصنيع الكيميائي الضوئي للقلوانيات.

تصنيف القلويدات

Bufotenin, a poison from some toads, contains an indole core and is produced in living organisms from the amino acid tryptophan.
The nicotine molecule contains both pyridine (left) and pyrrolidine rings (right).

Main classes of monomeric alkaloids are listed in the table below:

Class Major groups Main synthesis steps Examples
Alkaloids with nitrogen heterocycles (true alkaloids)
Pyrrolidine derivatives[2]
Pyrrolidine structure.svg
Ornithine or arginineputrescine → N-methylputrescine → N-methyl-Δ1-pyrroline [3] Hygrine, hygroline, stachydrine[2][4]
Tropane derivatives[5]
Tropane numbered.svg
Atropine group
Substitution in positions 3, 6 or 7
Ornithine or arginineputrescine → N-methylputrescine → N-methyl-Δ1-pyrroline [3] Atropine, scopolamine, hyoscyamine[2][5][6]
Cocaine group
Substitution in positions 2 and 3
Cocaine, ecgonine [5][7]
Pyrrolizidine derivatives[8]
Pyrrolizidine.svg
Non-esters In plants: ornithine or arginineputrescinehomospermidineretronecine [3] Retronecine, heliotridine, laburnine [8][9]
Complex esters of monocarboxylic acids Indicine, lindelophin, sarracine [8]
Macrocyclic diesters Platyphylline, trichodesmine[8]
1-aminopyrrolizidines (lolines) In fungi: L-proline + L-homoserineN-(3-amino-3-carboxypropyl)proline → norloline[10][11] Loline, N-formylloline, N-acetylloline[12]
Piperidine derivatives[13]
Piperidin.svg
Lysinecadaverine → Δ1-piperideine [14] Sedamine, lobeline, anaferine, piperine [15][16]
Octanoic acid → coniceine → coniine [17] Coniine, coniceine [17]
Quinolizidine derivatives[18][19]
Quinolizidine.svg
Lupinine group Lysinecadaverine → Δ1-piperideine [20] Lupinine, nupharidin [18]
Cytisine group Cytisine [18]
Sparteine group Sparteine, lupanine, anahygrine[18]
Matrine group Matrine, oxymatrine, allomatridine[18][21][22]
Ormosanine group Ormosanine, piptantine[18][23]
Indolizidine derivatives[24]
Indolizidine.svg
Lysine → δ-semialdehyde of α-aminoadipic acidpipecolic acid → 1 indolizidinone [25] Swainsonine, castanospermine [26]
Pyridine derivatives[27][28]
Pyridine.svg
Simple derivatives of pyridine Nicotinic acid → dihydronicotinic acid → 1,2-dihydropyridine [29] Trigonelline, ricinine, arecoline [27][30]
Polycyclic noncondensing pyridine derivatives Nicotine, nornicotine, anabasine, anatabine [27][30]
Polycyclic condensed pyridine derivatives Actinidine, gentianine, pediculinine [31]
Sesquiterpene pyridine derivatives Nicotinic acid, isoleucine [32] Evonine, hippocrateine, triptonine [28][29]
Isoquinoline derivatives and related alkaloids [33]
Isoquinoline numbered.svg
Simple derivatives of isoquinoline [34] Tyrosine or phenylalaninedopamine or tyramine (for alkaloids Amarillis) [35][36] Salsoline, lophocerine [33][34]
Derivatives of 1- and 3-isoquinolines [37] N-methylcoridaldine, noroxyhydrastinine [37]
Derivatives of 1- and 4-phenyltetrahydroisoquinolines [34] Cryptostilin [34][38]
Derivatives of 5-naftil-isoquinoline [39] Ancistrocladine [39]
Derivatives of 1- and 2-benzyl-izoquinolines [40] Papaverine, laudanosine, sendaverine
Cularine group[41] Cularine, yagonine [41]
Pavines and isopavines [42] Argemonine, amurensin [42]
Benzopyrrocolines [43] Cryptaustoline [34]
Protoberberines [34] Berberine, canadine, ophiocarpine, mecambridine, corydaline [44]
Phtalidisoquinolines [34] Hydrastine, narcotine (Noscapine) [45]
Spirobenzylisoquinolines [34] Fumaricine [42]
Ipecacuanha alkaloids[46] Emetine, protoemetine, ipecoside [46]
Benzophenanthridines [34] Sanguinarine, oxynitidine, corynoloxine [47]
Aporphines [34] Glaucine, coridine, liriodenine [48]
Proaporphines [34] Pronuciferine, glaziovine [34][43]
Homoaporphines [49] Kreysiginine, multifloramine [49]
Homoproaporphines [49] Bulbocodine [41]
Morphines[50] Morphine, codeine, thebaine, sinomenine [51]
Homomorphines [52] Kreysiginine, androcymbine [50]
Tropoloisoquinolines [34] Imerubrine [34]
Azofluoranthenes [34] Rufescine, imeluteine [53]
Amaryllis alkaloids[54] Lycorine, ambelline, tazettine, galantamine, montanine [55]
Erythrite alkaloids[38] Erysodine, erythroidine [38]
Phenanthrene derivatives [34] Atherosperminine [34][44]
Protopins [34] Protopine, oxomuramine, corycavidine [47]
Aristolactam [34] Doriflavin [34]
Oxazole derivatives[56]
Oxazole structure.svg
Tyrosinetyramine [57] Annuloline, halfordinol, texaline, texamine[58]
Isoxazole derivatives
Isoxazole structure.png
Ibotenic acidMuscimol Ibotenic acid, Muscimol
Thiazole derivatives[59]
Thiazole structure.svg
1-Deoxy-D-xylulose 5-phosphate (DOXP), tyrosine, cysteine [60] Nostocyclamide, thiostreptone [59][61]
Quinazoline derivatives[62]
Quinazoline numbered.svg
3,4-Dihydro-4-quinazolone derivatives Anthranilic acid or phenylalanine or ornithine [63] Febrifugine[64]
1,4-Dihydro-4-quinazolone derivatives Glycorine, arborine, glycosminine[64]
Pyrrolidine and piperidine quinazoline derivatives Vazicine (peganine) [56]
Acridine derivatives[56]
Acridine.svg
Anthranilic acid [65] Rutacridone, acronicine[66][67]
Quinoline derivatives[68][69]
Quinoline numbered.svg
Simple derivatives of quinoline derivatives of 2 - quinolones and 4-quinolone Anthranilic acid → 3-carboxyquinoline [70] Cusparine, echinopsine, evocarpine[69][71][72]
Tricyclic terpenoids Flindersine[69][73]
Furanoquinoline derivatives Dictamnine, fagarine, skimmianine[69][74][75]
Quinines Tryptophantryptaminestrictosidine (with secologanin) → korinanteal → cinhoninon [36][70] Quinine quinidine cinchonine, cinhonidine [73]
Indole derivatives[51]
Indole numbered.svg
Non-isoprene indole alkaloids
Simple indole derivatives [76] Tryptophantryptamine or 5-hydroxitriptofan [77] Serotonin, psilocybin, dimethyltryptamine (DMT), bufotenin [78][79]
Simple derivatives of β-carboline [80] Harman, harmine, harmaline, eleagnine [76]
Pyrroloindole alkaloids [81] Physostigmine (eserine), etheramine, physovenine, eptastigmine[81]
Semiterpenoid indole alkaloids
Ergot alkaloids[51] Tryptophan → chanoclavine → agroclavine → elimoclavine → paspalic acidlysergic acid [81] Ergotamine, ergobasine, ergosine[82]
Monoterpenoid indole alkaloids
Corynanthe type alkaloids[77] Tryptophantryptaminestrictosidine (with secologanin) [77] Ajmalicine, sarpagine, vobasine, ajmaline, yohimbine, reserpine, mitragynine,[83][84] group strychnine and (Strychnine brucine, aquamicine, vomicine [85])
Iboga-type alkaloids[77] Ibogamine, ibogaine, voacangine[77]
Aspidosperma-type alkaloids[77] Vincamine, vincotine, aspidospermine[86][87]
Imidazole derivatives[56]
Imidazole structure.svg
Directly from histidine[88] Histamine, pilocarpine, pilosine, stevensine[56][88]
Purine derivatives[89]
Purin2.svg
Xantosine (formed in purine biosynthesis) → 7 methylxantosine → 7-methyl xanthinetheobrominecaffeine [36] Caffeine theobromine theophylline saxitoxin [90][91]
Alkaloids with nitrogen in the side chain (protoalkaloids)
β-Phenylethylamine derivatives[43]
Phenylethylamine numbered.svg
Tyrosine or phenylalaninedioxyphenilalaninedopamineadrenaline and mescaline tyrosinetyramine phenylalanine → 1-phenylpropane-1,2-dione → cathinoneephedrine and pseudoephedrine [32][92][93] Tyramine, ephedrine, pseudoephedrine, mescaline, cathinone, catecholamines (adrenaline, noradrenaline, dopamine)[32][94]
Colchicine alkaloids [95]
Colchicine.svg
Tyrosine or phenylalaninedopamineautumnalinecolchicine [96] Colchicine, colchamine[95]
Muscarine [97]
Muscarine.svg
Glutamic acid → 3-ketoglutamic acid → muscarine (with pyruvic acid)[98] Muscarine, allomuscarine, epimuscarine, epiallomuscarine[97]
Benzylamine[99]
Benzylamine.svg
Phenylalanine with valine, leucine or isoleucine[100] Capsaicin, dihydrocapsaicin, nordihydrocapsaicin [99][101]
Polyamines alkaloids
Putrescine derivatives[102]
Putrescine.svg
ornithineputrescinespermidinespermine[103] Paucine [102]
Spermidine derivatives[102]
Spermidine.svg
Lunarine, codonocarpine[102]
Spermine derivatives[102]
Spermine.svg
Verbascenine, aphelandrine [102]
Peptide (cyclopeptide) alkaloids
Peptide alkaloids with a 13-membered cycle [104][105] Numularine C type From different amino acids [104] Numularine C, numularine S [104]
Ziziphin type Ziziphin A, sativanine H [104]
Peptide alkaloids with a 14-membered cycle [104][105] Frangulanine type Frangulanine, scutianine J [105]
Scutianine A type Scutianine A [104]
Integerrine type Integerrine, discarine D [105]
Amphibine F type Amphibine F, spinanine A [104]
Amfibine B type Amphibine B, lotusine C [104]
Peptide alkaloids with a 15-membered cycle [105] Mucronine A type Mucronine A [106][105]
Pseudoalkaloids (terpenes and steroids)
Diterpenes [106]
Isoprene.svg
Licoctonine type Mevalonic acidizopentenilpyrophosfategeranyl pyrophosphate [107][108] Aconitine, delphinine [106][109]
Steroids[110]
Cyclopentenophenanthrene.svg
Cholesterol, arginine[111] Solasodine, solanidine, veralkamine[112]

الخصائص

Head of a lamb born by a sheep which ate leaves of the corn lily plant. The cyclopia in the calf is induced by the alkaloid cyclopamine present in the plant.

الانتشار في الطبيعة

Strychnine tree. Its seeds are rich in strychnine and brucine.


المفرزات القلوانية

تعد القلوانيات alkaloids أحياناً من المفرزات، وهي مواد بروتيدية تمثل فضلات عمليات الاستقلاب النباتي. لهذه المواد الأمينية القلوية خصائص صيدلانية مهمة، فهي بالغة السمية للإنسان إذا استعملت بتركيز مرتفع. من هذه المركبات التي تضم الفينل ألانين يذكر الايفدرين ephedrine المحاكي للُودي sympathicomimetic المستحصل من نبات الايفيدرا Ephedra ، والهورديئين hordeine رافع الضغط الشرياني المستحصل من الشعير، والكولشيسين colchicine بنزوليّ النواة، مضاد الالتهاب، والمثبط للانقسام الخلوي في مرحلة الطور الثاني.

وتضم أوراق الكوكا Coca نوى البيبيردين piperidine أو البيروليدين pyrrolidine. ويضمّ نبات السوكران Conium maculatum الكونيسيدين conicidine شديد السمية، وفي نبات الخروع يوجد الريسينين ricinine، ويعزى إلى البيبيرين piperine الطعم اللاذع للفلفل، وإلى النيكوتين رائحة التبغ، وإلى الستركنين strychnine والبروسين brucine خواص الجوز المقيئ، و إلى الايرغوتامين ergotamine سمية فطر مهماز الشيلم الذي يحوي نواة أندولية. وتوجد نواة الكينوليك quinoléique في نبات الكينا quinquina، ويمثل الناركوتين narcotine المادة الفعالة في الخشخاش، والأفيون، والبابافيرين. وحول نواة التروبان tropane يتشكّل الأتروبين الموجود في نبات السيدة الحسناء Atropa belladonna وفي غيرها من نباتات الفصيلة الباذنجانية. ويمكن أيضاً ذكر الكوديئين الذي يحوي نواة الفيننانترين، والمنبِّهات المدرّة للبول، مثل الكافيئين الموجود في القهوة، والتيين في الشاي.

الاستخلاص

Crystals of piperine extracted from black pepper.


التخليق الحيوي

Synthesis of Schiff bases

Schiff bases can be obtained by reacting amines with ketones or aldehydes.[113] These reactions are a common method of producing C=N bonds.[114]

Schiff base formation.svg

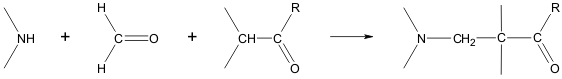
Mannich reaction

Mannich.png

The Mannich reaction can proceed both intermolecularly and intramolecularly:[115][116]

Mannich reaction intramolecular.svg

Dimer alkaloids

In addition to the described above monomeric alkaloids, there are also dimeric, and even trimeric and tetrameric alkaloids formed upon condensation of two, three and four monomeric alkaloids. Dimeric alkaloids are usually formed from monomers of the same type through the following mechanisms:[117]

الاستخدامات

في الطب

Medical use of alkaloid plants has a long history, and thus when the first alkaloids were synthesized in the 19th century, they immediately found application in clinical practice.[118] Many alkaloids are still used in medicine, usually in the form of salts, including the following:[119][120]:

للقلوانيات تأثيرات فيزيولوجية قوية، حتى عندما تكون بتراكيز قليلة جداً. ويوجد منها نحو 30نوعاً تستخدم في الطب، منها الأتروبين، على سبيل المثال، الذي يستخلص من نبات البيلادونا، وهو يسبب توسع حدقة العين، وكذلك مشتق زهر مدغشقر Pervenche de Madagascar (أو ما يدعى Vinca rosea) الذي يستخدم لمعالجة بعض أنواع السرطان، والمورفين المادة المسكنة للألم الفعالة جداً، والكينين الذي هو دواء نوعي للملاريا، والنيكوتين المضاد للحشرات، أما الره زريين فهو مهدئ جيد (انظر المخطط).

Alkaloid Action
Ajmaline antiarrhythmic
Atropine, scopolamine, hyoscyamine anticholinergic
Vinblastine, vincristine antitumor
Vincamine vasodilating, antihypertensive
Codeine cough medicine
Cocaine anesthetic
Colchicine remedy for gout
Morphine analgesic
Reserpine antihypertensive
Tubocurarine Muscle relaxant
Physostigmine inhibitor of acetylcholinesterase
Quinidine antiarrhythmic
Quinine antipyretics, antimalarial
Emetine antiprotozoal agent
Ergot alkaloids sympathomimetic, vasodilator, antihypertensive


انظر أيضاً

[]

المصادر

  1. ^ Andreas Luch (2009). Molecular, clinical and environmental toxicology. Springer. p. 20. ISBN 3764383356.
  2. ^ أ ب ت Plemenkov, p. 224
  3. ^ أ ب ت Aniszewski, p. 75
  4. ^ Orekhov, p. 33
  5. ^ أ ب ت Chemical Encyclopedia: Tropan alkaloids
  6. ^ Hesse, p. 34
  7. ^ Aniszewski, p. 27
  8. ^ أ ب ت ث Chemical Encyclopedia: Pyrrolizidine alkaloids
  9. ^ Plemenkov, p. 229
  10. ^ Blankenship JD, Houseknecht JB, Pal S, Bush LP, Grossman RB, Schardl CL (2005). "Biosynthetic precursors of fungal pyrrolizidines, the loline alkaloids". Chembiochem. 6 (6): 1016–1022. doi:10.1002/cbic.200400327. PMID 15861432.{{cite journal}}: CS1 maint: multiple names: authors list (link)
  11. ^ Faulkner JR, Hussaini SR, Blankenship JD, Pal S, Branan BM, Grossman RB, Schardl CL (2006). "On the sequence of bond formation in loline alkaloid biosynthesis". Chembiochem. 7 (7): 1078–1088. doi:10.1002/cbic.200600066. PMID 16755627.{{cite journal}}: CS1 maint: multiple names: authors list (link)
  12. ^ Schardl CL, Grossman RB, Nagabhyru P, Faulkner JR, Mallik UP (2007). "Loline alkaloids: currencies of mutualism". Phytochemistry. 68 (7): 980–996. doi:10.1016/j.phytochem.2007.01.010. PMID 17346759.{{cite journal}}: CS1 maint: multiple names: authors list (link)
  13. ^ Plemenkov, p. 225
  14. ^ Aniszewski, p. 95
  15. ^ خطأ استشهاد: وسم <ref> غير صحيح؛ لا نص تم توفيره للمراجع المسماة ref24
  16. ^ Orekhov, p. 80
  17. ^ أ ب خطأ استشهاد: وسم <ref> غير صحيح؛ لا نص تم توفيره للمراجع المسماة ref25
  18. ^ أ ب ت ث ج ح Chemical Encyclopedia: Quinolizidine alkaloids
  19. ^ J. E. Saxton The Alkaloids. A Specialist Periodical Report. Volume 1. - London: The Chemical Society, 1971, p. 93
  20. ^ Aniszewski, p. 98
  21. ^ J. E. Saxton The Alkaloids. A Specialist Periodical Report. Volume 1. - London: The Chemical Society, 1971, p. 91
  22. ^ Joseph P. Michael (2002). "Indolizidine and quinolizidine alkaloids". Nat. Prod. Rep. 19: 458–475. doi:10.1039/b208137g.
  23. ^ J. E. Saxton The Alkaloids. A Specialist Periodical Report. Volume 1. - London: The Chemical Society, 1971, p. 92
  24. ^ Dewick, p. 310
  25. ^ Aniszewski, p. 96
  26. ^ Aniszewski, p. 97
  27. ^ أ ب ت Plemenkov, p. 227
  28. ^ أ ب Chemical Encyclopedia: pyridine alkaloids
  29. ^ أ ب Aniszewski, p. 107
  30. ^ أ ب Aniszewski, p. 85
  31. ^ Plemenkov, p. 228
  32. ^ أ ب ت خطأ استشهاد: وسم <ref> غير صحيح؛ لا نص تم توفيره للمراجع المسماة Aniszewski 110
  33. ^ أ ب Hesse, p. 36
  34. ^ أ ب ت ث ج ح خ د ذ ر ز س ش ص ض ط ظ ع غ ف Chemical Encyclopedia: isoquinoline alkaloids
  35. ^ Aniszewski, pp. 77–78
  36. ^ أ ب ت Tadhg P. Begley.Encyclopedia of Chemical Biology: Alkaloid Biosynthesis
  37. ^ أ ب J. E. Saxton The Alkaloids. A Specialist Periodical Report. Volume 3. - London: The Chemical Society, 1973, p. 122
  38. ^ أ ب ت Hesse, p. 54
  39. ^ أ ب Hesse, p. 37
  40. ^ Hesse, p. 38
  41. ^ أ ب ت Hesse, p. 46
  42. ^ أ ب ت Hesse, p. 50
  43. ^ أ ب ت Kenneth W. Bentley (1997). "β-Phenylethylamines and the isoquinoline alkaloids". Nat. Prod. Rep. 14 (4): 387–411. doi:10.1039/NP9971400387. PMID 9281839.
  44. ^ أ ب Hesse, p. 47
  45. ^ Hesse, p. 39
  46. ^ أ ب Hesse, p. 41
  47. ^ أ ب Hesse, p. 49
  48. ^ Hesse, p. 44
  49. ^ أ ب ت J. E. Saxton The Alkaloids. A Specialist Periodical Report. Volume 3. - London: The Chemical Society, 1973, p. 164
  50. ^ أ ب Hesse, p. 51
  51. ^ أ ب ت Plemenkov, p. 236
  52. ^ J. E. Saxton The Alkaloids. A Specialist Periodical Report. Volume 3. - London: The Chemical Society, 1973, p. 163
  53. ^ J. E. Saxton The Alkaloids. A Specialist Periodical Report. Volume 3. - London: The Chemical Society, 1973, p. 168
  54. ^ Hesse, p. 52
  55. ^ Hesse, p. 53
  56. ^ أ ب ت ث ج Plemenkov, p. 241
  57. ^ Arnold Brossi The Alkaloids: Chemistry and Pharmacology, Volume 35. - Academic Press, 1989, p. 261
  58. ^ Arnold Brossi The Alkaloids: Chemistry and Pharmacology, Volume 35. - Academic Press, 1989, pp. 260–263
  59. ^ أ ب Plemenkov, p. 242
  60. ^ Tadhg P. Begley.Encyclopedia of Chemical Biology: Cofactor Biosynthesis
  61. ^ John R. Lewis (2000). "Amaryllidaceae, muscarine, imidazole, oxazole, thiazole and peptide alkaloids, and other miscellaneous alkaloids". Nat. Prod. Rep. 17 (1): 57–84. doi:10.1039/a809403i. PMID 10714899.
  62. ^ Chemical Encyclopedia: Quinazoline alkaloids
  63. ^ Aniszewski, p. 106
  64. ^ أ ب Aniszewski, p. 105
  65. ^ Richard B. Herbert; Herbert, Richard B.; Herbert, Richard B. (1999). "The biosynthesis of plant alkaloids and nitrogenous microbial metabolites". Nat. Prod. Rep. 16: 199–208. doi:10.1039/a705734b.
  66. ^ Plemenkov, pp. 231, 246
  67. ^ Hesse, p. 58
  68. ^ Plemenkov, p. 231
  69. ^ أ ب ت ث Chemical Encyclopedia: Quinoline alkaloids
  70. ^ أ ب Aniszewski, p. 114
  71. ^ Orekhov, p. 205
  72. ^ Hesse, p. 55
  73. ^ أ ب Plemenkov, p. 232
  74. ^ Orekhov, p. 212
  75. ^ Aniszewski, p. 118
  76. ^ أ ب Aniszewski, p. 112
  77. ^ أ ب ت ث ج ح Aniszewski, p. 113
  78. ^ Hesse, p. 15
  79. ^ J. E. Saxton The Alkaloids. A Specialist Periodical Report. Volume 1. - London: The Chemical Society, 1971, p. 467
  80. ^ Dewick, p. 349-350
  81. ^ أ ب ت Aniszewski, p. 119
  82. ^ Hesse, p. 29
  83. ^ Hesse, pp. 23-26
  84. ^ J. E. Saxton The Alkaloids. A Specialist Periodical Report. Volume 1. - London: The Chemical Society, 1971, p. 169
  85. ^ J. E. Saxton The Alkaloids. A Specialist Periodical Report. Volume 5. - London: The Chemical Society, 1975, p. 210
  86. ^ Hesse, pp. 17-18
  87. ^ Dewick, p. 357
  88. ^ أ ب Aniszewski, p. 104
  89. ^ Hesse, p. 72
  90. ^ Hesse, p. 73
  91. ^ Dewick, p. 396
  92. ^ خطأ استشهاد: وسم <ref> غير صحيح؛ لا نص تم توفيره للمراجع المسماة ref31
  93. ^ PlantCyc Pathway: ephedrine biosynthesis
  94. ^ Hesse, p. 76
  95. ^ أ ب Chemical Encyclopedia: colchicine alkaloids
  96. ^ Aniszewski, p. 77
  97. ^ أ ب Hesse, p. 81
  98. ^ Arnold Brossi The Alkaloids: Chemistry and Pharmacology, Volume 23. - Academic Press, 1984, p. 376
  99. ^ أ ب Hesse, p. 77
  100. ^ Arnold Brossi The Alkaloids: Chemistry and Pharmacology, Volume 23. - Academic Press, 1984, p. 268
  101. ^ Arnold Brossi The Alkaloids: Chemistry and Pharmacology, Volume 23. - Academic Press, 1984, p. 231
  102. ^ أ ب ت ث ج ح Hesse, p. 82
  103. ^ Spermine Biosynthesis
  104. ^ أ ب ت ث ج ح خ د خطأ استشهاد: وسم <ref> غير صحيح؛ لا نص تم توفيره للمراجع المسماة ref27
  105. ^ أ ب ت ث ج ح Plemenkov, p. 243
  106. ^ أ ب ت خطأ استشهاد: وسم <ref> غير صحيح؛ لا نص تم توفيره للمراجع المسماة ref23
  107. ^ Chemical Encyclopedia: Terpenes
  108. ^ Tadhg P. Begley.Encyclopedia of Chemical Biology: Natural Products: An Overview
  109. ^ Atta-ur-Rahman and M. Iqbal Choudhary (1997). "Diterpenoid and steroidal alkaloids". Nat. Prod. Rep. 14 (2): 191–203. doi:10.1039/np9971400191. PMID 9149410.
  110. ^ Hesse, p. 88
  111. ^ Dewick, p. 388
  112. ^ Plemenkov, p. 247
  113. ^ Plemenkov, p. 254
  114. ^ Dewick, p. 19
  115. ^ Plemenkov, p. 255
  116. ^ Dewick, p. 305
  117. ^ Hesse, pp. 91–105
  118. ^ Hesse, p. 303
  119. ^ خطأ استشهاد: وسم <ref> غير صحيح؛ لا نص تم توفيره للمراجع المسماة Meyers
  120. ^ Hesse, pp. 303-309

وصلات خارجية