أرجينين

(تم التحويل من Arginine)
أرجينين
الصيغة الهيكلية للأرجينين.
Arginine-3D-balls-by-AHRLS-2012.png
الأسماء
أسماء أخرى
2-Amino-5-guanidinopentanoic acid
المُعرِّفات
رقم CAS
3D model (JSmol)
3DMet
مرجع بايلستاين 1725411, 1725412 R, 1725413 S
ChEBI
ChEMBL
ChemSpider
DrugBank
ECHA InfoCard 100.000.738 Edit this at Wikidata
رقم EC
  • 230-571-3
مرجع Gmelin 364938 R
KEGG
عناوين مواضيع طبية MeSH {{{value}}}
رقم RTECS
  • CF1934200 S
UNII
الخصائص
الصيغة الجزيئية C6H14N4O2
كتلة مولية 174.19 g mol-1
المظهر بلورات بيضاء
الرائحة عديم الرائحة
نقطة الانصهار
نقطة الغليان
قابلية الذوبان في الماء 14.87 گ/100 مل (20 °س)
قابلية الذوبان قليل الذوبان في إيثانول
قابل للذوبان في الكحول الإيثري
log P −1.652
الحموضة (pKa) 12.488
القاعدية (pKb) 1.509
الكيمياء الحرارية
الإنتالپية المعيارية
للتشكل
ΔfHo298
−624.9–−622.3 ك.ج. مول−1
الانتالبية المعيارية
للاحتراق
ΔcHo298
−3.7396–−3.7370 م.ج. مول−1
Standard molar
entropy
So298
250.6 ك.ج.−1 مول−1
سعة الحرارة النوعية، C 232.8 ك.ج.−1 مول−1 (عند 23.7 °س)
علم الأدوية
B05XB01 S
المخاطر
صفحة بيانات السلامة sigma-aldrich
ن.م.ع. مخطط تصويري The exclamation-mark pictogram in the Globally Harmonized System of Classification and Labelling of Chemicals (GHS)
ن.م.ع. كلمة الاشارة تحذير
H319
P305+P351+P338
الجرعة أو التركيز القاتل (LD, LC):
5110 مگ/كگ (الفئران، فموي)
مركبات ذا علاقة
الأحماض الألكونية ذات العلاقة
مركـّبات ذات علاقة
ما لم يُذكر غير ذلك، البيانات المعطاة للمواد في حالاتهم العيارية (عند 25 °س [77 °ف]، 100 kPa).
X mark.svgN verify (what is YesYX mark.svgN ?)
مراجع الجدول

الأرجنين Arginine (/ˈɑːr[invalid input: 'ɨ']nn/، يختصر Arg or R)[1]، هو أحد الأحماض الأمينية الغنية بالنيتروجين، والتي لا يستطيع الجسم تخليقها.. تم عزله لأول مرة عام 1886.[2] L-form هو أحد الأنواع العشرين الأكثر شيوعاً من الأحماض الأمينية الطبيعية.

في الثدييات، يُصنف الأرجنين على أنه الحمض الأميني الشبه أساسي أو الأساسي المشروط، حسب المرحلة التطورية والحالة الصحية للفرد.[3] الأطفال الخدج غير قادرين على تخليق أو إنتاج الأرجنين داخلياً، مما يجعله من الأحماض الأمينية الأساسية تغذوياً بالنسبة إليهم.[4] معظم الأشخاص الأصحاء لا يحتاجون لمكملات غذائية غنية بالأرجنين لأن أجسامهم تنتج الكميات الكافية.[2]

المصادر

المصادر الغذائية

الأرجنين هو حمض أميني أساسي شرطياً، مما يعني أنه سواء أكان مطلوباً أو غير مطلوب أن يكون الجسم صحياً فكمية الأرجنين المنتجة داخل الجسم تعتمد على الحالة الصحية أو دورة حياة الفرد. إلا أن المسار التخليقي الحيوي، لا يُنتج الأرجنين الكافي، ويتعين على البعض الحصول عليه من خلال الأغذية.[بحاجة لمصدر] الأشخاص الذين يتناولون أغذية فقيرة بالأرجنين أو لديهم حالات بدنية معينة قد ينصحون بزيادة الكميات المتناولة من الأغذية المحتوية على الأرجنين. يوجد الأرجنين في مجموعة متنوعة من الأغذية، منها:

  • المصادر الحيوانية
منتجات الألبان (مثل الجبن القريش، الريكوتا، الحليب، الزبادي، مشروبات بروتين مصل اللبناللحم البقري، لحم الخنزير (مثل اللحم المقدد، المفروم)، الجيلاتين، الدواجن (مثل لحم الدجاج والديك الرومي الفاتح)، الطرائد البرية (مثل السمان)، الأغذية البحرية.
  • المصادر النباتية
جنين القمح، والدقيق، الترمس، الحنطة السوداء، الگرانولا، دقيق الشوفان، الفول السوداني، المكسرات (جوز الهند، الجوز الأمريكي، الكاجو، البندق، اللوز، البندق البرازيلي، البندق، الصنوبر)، البذور (بذر القرع، السمسم، عباد الشمس)، الحمص، فول الصويا المطبوخ.

التخليق الحيوي

الوظيفة

الفوائد الصحية

أهمية أكسيد النتريك في الجسم:

  1. يقوم بتوسيع الأوعية الدموية مما يترتب عنه زيادة الدم المتدفق إلى العضلات والمحمل بالأوكسجين والغذاء وبالتالي زيادة الضخامة العضلية مع طاقة وقوة تحمل عالية.
  2. زيادة الكفاءة أو القدرة الجنسية للفرد.


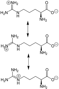
التكوين

Delocalization of charge in guanidinium group of L-Arginine


الأبحاث

انظر أيضاً

المصادر

  1. ^ IUPAC-IUBMB Joint Commission on Biochemical Nomenclature. "Nomenclature and Symbolism for Amino Acids and Peptides". Recommendations on Organic & Biochemical Nomenclature, Symbols & Terminology etc. Archived from the original on 29 May 2007. Retrieved 2007-05-17. {{cite web}}: Unknown parameter |deadurl= ignored (|url-status= suggested) (help)
  2. ^ أ ب "Drugs and Supplements Arginine". http://www.mayoclinic.org/. Retrieved 15 January 2015. {{cite web}}: External link in |website= (help)
  3. ^ Tapiero H, Mathé G, Couvreur P, Tew KD (November 2002). "L-Arginine". (review). Biomedicine & Pharmacotherapy. 56 (9): 439–445. doi:10.1016/s0753-3322(02)00284-6.{{cite journal}}: CS1 maint: multiple names: authors list (link)
  4. ^ Wu G, Jaeger LA, Bazer FW, Rhoads JM (Aug 2004). "Arginine deficiency in preterm infants: biochemical mechanisms and nutritional implications". (review). The Journal of Nutritional Biochemistry. 15 (8): 442–51. doi:10.1016/j.jnutbio.2003.11.010. PMID 15302078.{{cite journal}}: CS1 maint: multiple names: authors list (link)

وصلات خارجية