مطاط سيليكوني

المطاط السليكوني Silicone rubber، هو لدينة مرنة (مادة شبيهة بالمطاط) مكون من السليكون - الذي يعتبر في حد ذاته پوليمراً - تحتوي على السيليكون والكربون، الهيدروجين، والأكسجين. يستخدم المطاط السيليكوني على نطاق واسع في الصناعة، ولها تركيبات متعددة. عادة ما يكون المطاط السيليكوني عبارة عن پوليمر بجزء-أو بجزئين، وقد يحتوي على مواد مالئة لتحسين الخصائص وخفض التكلفة.

المطاط السيليكوني، بشكل عام، هي مادة غير متفاعلة، مستقرة، ومقاومة للبيئات القاسية وتحتفظ بخصائصها المفيدة في درجات حرراة تتراوح بين -55 إلى 300°س. نظراً لهذه الخصائص ولسهولة وانخفاض تكلفة التصنيع، يوجد المطاط السيليكوني في مجموعة متنوعة من المنتجات، منها: عوازل خطوط الجهد، تطبيقات السيارات؛ منتجات الطبخ والخبز وتخزين المواد الغذائية؛ الملابس مثل الملابس الداخلية والأحذية والأحذية الرياضية؛ الإلكترونيات؛ الأجهزة الطبية والغرسات؛ وإصلاحات المنزل والأجهزة التي تحتوي على منتجات مثل مانعات التسرب السيليكونية.

المعالجة

نظام المعالجة المعتمدة على الپلاتين

نظام المعالجة التكثيفي

استعراض لأنظمة السيكيكون الأكثر شيوعاً في الاستخدام.

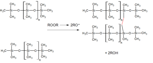
نظام المعالجة الپروكسيكي

Crosslinking by organic peroxides

التاريخ

الخصائص[1]

يوفر مطاط السيليكون مقاومة جيدة لدرجات الحرارة القصوى ، حيث أنه قادر على العمل بشكل طبيعي من −100 إلى 300 °C (−148 إلى 572 °F). يتميز مطاط السيليكون بقوة شد منخفضة وخصائص ضعيفة للتآكل والتشقق.[2] بعض الخصائص مثل الاستطالة ، الانسلال ، ثني دوري ، قوة تمزق ، مجموعة ضغط ، قوة العزل الكهربائي (عند الجهد العالي) ، الموصلية الحرارية ، مقاومة الحريق وفي بعض الحالات مقاومة الشد يمكن أن تكون - في درجات الحرارة القصوى - أعلى بكثير من المطاط العضوي بشكل عام ، على الرغم من أن بعض هذه الخصائص لا تزال أقل من بعض المواد المتخصصة. مطاط السيليكون هو مادة مختارة في الصناعة عندما يكون الاحتفاظ بالشكل الأولي والقوة الميكانيكية مرغوبًا تحت الضغط الحراري الثقيل أو درجات الحرارة دون الصفر.[3][4][5] المطاط العضوي له أساس من carbon-to-carbon الذي يمكن أن يجعله عرضة لـ الأوزون و الأشعة فوق البنفسجية والحرارة وعوامل الشيخوخة الأخرى التي يمكن أن يتحملها مطاط السيليكون جيدًا. وهذا يجعل من مطاط السيليكون أحد اللدائن المفضلة في العديد من البيئات القاسية. السيليكون هو أكثر من نفاذية للغازات من معظم المطاطات الأخرى التي تحد من استخدامه في بعض المناطق.

مطاط السيليكون خامل للغاية ولا يتفاعل مع معظم المواد الكيميائية. بسبب خموله ، يتم استخدامه في العديد من التطبيقات الطبية بما في ذلك الزرعات الطبية. فهو متوافق حيوياً ، هيبوالرجينيك ، مما يجعله مناسبًا لمنتجات رعاية الأطفال ، والاتصال الغذائي بشكل عام. مطاط السيليكون هو حل موثوق (على عكس المطاط و المطاط الصناعي بالحرارة) لمشاكل ارتحال الأيونات أو التفاعل بين المكونات النشطة الرئيسية. يمنع استقرارها الكيميائي من التأثير على أي ركيزة تلامسها (الجلد ، الماء ، الدم ، المكونات النشطة ، إلخ.).[6]

الخاصية القيمة
المظهر
الصلابة، Shore A 25–90
ضغط فشل الشد، النهائي 1،400–10،300 kPa (200–1،500 psi)
الاستطالة بعد التمزق % ≥ 700% الحد الأقصى
الكثافة من 0.95 إلى أكثر من 1.20 گ/سم33

الإنتاج

لصنع السيليكون ، يجب عزل ذرات السيليكون من مركب ثاني أكسيد السيليكون السيليكا. يتم ذلك عن طريق تسخين كميات كبيرة من رمل الكوارتز إلى درجات حرارة عالية للغاية ، غالبًا تصل إلى 1800 درجة مئوية. من هنا ، هنالك العديد من العمليات حيث يتم دمج السيليكون مع كلوريد الميثيل وتسخينه. ثم يتم تقطيرها إلى سيلوكسان مبلمر يعرف باسم ثنائي ميثيل سيلوكسان. يمكن بعد ذلك أن يكون polydimethylsiloxane البلمرة. يتم ذلك باستخدام مجموعة متنوعة من التقنيات اعتمادًا على استخدام المنتج النهائي.[7] غالبًا ما يتم دمج مركب السيليكون الخام مع الأصباغ ، أي إضافات مطلوبة وتندمج مع المحفز لـ حقن صب أو البثق. المعالجة هي المرحلة النهائية في عملية الإنتاج.

التركيب

سلسلطة المطاط السيليكوني.
الخصائص الميكانيكية (Polymax 2005)[citation needed]
الصلابة، shore A 10–90
Tensile strength 11 N/mm2
Elongation at break 100–1100 %
Maximum temperature 300 °C
Minimum temperature −120 °C

الدرجات الخاصة

المطاط السيليكوني السائل.


التطبيقات

فرشاة حلويات مصنوعة من المطاط السيليكوني.

بمجرد خلطه وتلوينه ، يمكن بثق مطاط السيليكون في أنابيب أو شرائط أو سلك صلب أو ملفات مخصصة وفقًا لمواصفات الحجم الخاصة بالشركة المصنعة. يمكن ربط الحبل لعمل ملفات O-ring ويمكن ربط ملفات التعريف المبثوقة لصنع الأختام. يمكن تشكيل مطاط السيليكون في أشكال وتصاميم مخصصة. يعمل المصنعون على تعيين تفاوتات الصناعة عند البثق أو القطع أو الانضمام إلى مقاطع مطاط السيليكون. في المملكة المتحدة ، يكون هذا BS 3734 ، أما بالنسبة للسحب ، فإن المستوى الأكثر إحكامًا هو E1 والأوسع هو E3.

يستخدم مطاط السيليكون في تطبيقات السيارات ، والعديد من منتجات الطبخ ، والخبز ، وتخزين الطعام ، والملابس بما في ذلك الملابس الداخلية ، والملابس الرياضية ، والأحذية ، والإلكترونيات ، لإصلاح الأجهزة المنزلية ، ومجموعة من التطبيقات غير المرئية.

يتم تصنيع مطاط السيليكون السائل أيضًا لتطبيقات العلوم الحيوية للتطبيقات (مكابس حقنة ، إغلاق لنظام التوزيع ، جوانات لمنظم تدفق IV ، أقنعة تنفسية ، غرف قابلة للغرس للإعطاء IV) ، منتجات تجميلية (فرشاة ماسكارا ، تغليف الماكياج ، وأدوات وضع المكياج ، وقوالب أحمر الشفاه) ومنتجات البصريات (العدسات الدائرية ، جهاز لإنتاج أشعة موازية ، عدسات فريسنل و عدسات حرة الشكل).[8]

تستخدم ألواح تسخين المياه بالطاقة الشمسية التي تتحمل التجميد مرونة السيليكون لاستيعاب توسع المياه عند التجميد بشكل متكرر ، في حين أن تحمل درجة الحرارة الشديدة يحافظ على نقص الهشاشة تحت التجميد وتحمل ممتاز لدرجات الحرارة الزائدة 150 °C (302 °F). إن خاصية عدم وجود االأساس الكربوني ، ولكن الأساس السيليكوني القوي كيميائياً بدلاً من ذلك ، يقلل من إمكاناتها كمصدر غذائي للبكتيريا الخطرة المنقولة بالماء مثل Legionella.

يحتوي الشريط المطاطي السيليكوني غير المصبوغ على مادة أكسيد ثلاثي الحديد المضافة (مما يجعل الشريط لونه أحمر برتقالي) يستخدم على نطاق واسع في تطبيقات الطيران وأسلاك الطيران كقطعة لصق أو شريط التفاف بسبب طبيعته غير القابلة للاشتعال . تضيف مادة أكسيد الحديد الموصلية الحرارية العالية ولكنها لا تغير خاصية العزل الكهربائي العالية لمطاط السيليكون. هذا النوع من شريط الاندماج الذاتي يندمج أو يندمج مع نفسه ، بحيث عندما يتم شده ولفه حول الكابلات والمفاصل الكهربائية والخراطيم والأنابيب فإنه يلتصق بطبقة مطاطية عازلة للكهرباء ومقاومة للماء على الرغم من أنه غير لاصق.

مع إضافة الكربون أو مادة موصلة أخرى كمواد مالئة للمساحيق ، يمكن جعل مطاط السيليكون موصلًا كهربائيًا مع الاحتفاظ بمعظم خواصه الميكانيكية الأخرى. على هذا النحو يتم استخدامه لجهات الاتصال المرنة التي يتم إغلاقها عند الضغط عليها ، ويستخدم في العديد من الأجهزة مثل هواتف لوحة مفاتيح الكمبيوتر و جهاز التحكم عن بعد.

الإصلاح الذاتي

في عام 2007 ، شكل مطاط السيليكون أول مصفوفة ذاتية لدينة ذاتية الإصلاح.[9] فالمواد المستندة إلى الكبسولة الميكروية كانت تقريباً قادرة على استعادة كل قوة التمزق الأصلية. بالإضافة إلى ذلك ، فإن هذه المادة قد حسنت خصائص الإجهاد كما تم تقييمها باستخدام اختبار الإجهاد-الالتواء.[10]

انظر أيضاً

المصادر

  1. ^ "Silicone Rubber Material Specifications". www.exonicpolymers.com. Retrieved 2019-02-26.
  2. ^ Seal & Design Inc. | SILICONE (VMQ) O-RINGS & SILICONE GASKETS
  3. ^ "Characteristic Properties of Silicone Rubber Compounds" by Shin-Etsu Co. http://www.silicone.jp/e/catalog/pdf/rubber_e.pdf
  4. ^ Overview of silicone rubber materials http://www.thefreelibrary.com/An+overview+of+silicone+rubber.-a0105557239
  5. ^ Silicone rubber properties http://www.timcorubber.com/rubber-materials/silicone.htm
  6. ^ "LSR Specific Properties".
  7. ^ "News - What is Silicone Made of? | Viking Extrusions". www.vikingextrusions.co.uk. Retrieved 2019-08-13.
  8. ^ "CVA SILICONE | Liquid Silicone Rubber LSR | Your Industry".
  9. ^ Keller et al., A Self-Healing Poly(dimethyl siloxane) Elastomer, Advanced Functional Materials, v. 17, p. 2399–2404 (2007).
  10. ^ Keller et al., Torsion Fatigue Response of Self-Healing Poly(dimethyl siloxane) Elastomers, Polymer, v.49 p. 3136–3145 (2008).

قراءات إضافية

  • Brydson, John (1999) Plastics Materials, Butterworth, 9th Ed
  • Lewis, PR, Reynolds, K and Gagg, C (2004) Forensic Materials Engineering: Case Studies, CRC Press
الكلمات الدالة: