نظرية التحكم
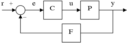
نظرية التحكم أو نظرية الضبط هي فرع متعدد المجالات من الهندسة والرياضيات التي تتعامل مع سلوك الأنظمة الديناميكية. الخرج المطلوب المفضل للنظام يدعى المرجع reference. عندما تكون هناك حاجة لواحد او أكثر من متغيرات الخرج للنظام أن يتبع مرجعا معينا مع الزمن ، يقوم متحكم بمعالجة قيم الدخل للنظام للحصول على التأثير المطلوب على خرج النظام .
التاريخ
الكونترولر أو المتحكم من نوع P
العلاقة التي عن طريقها يعرف النظام من نوع P هي:
و هذه العلاقة يمكن التعبير عنها في مجال الترددات و ذلك بإستعمال تحويل لابلاس كما يلي:
و قد تم إختيار الحرف P لتسمية هذا النوع من الكونترولر للإشارة إلى أن المخرج proportional أي تناسبي أي تناسب المدخل و المخرج.
الكونترولر أو المتحكم من نوع I
العلاقة التي عن طريقها يعرف النظام من نوع I هي:
و هذه العلاقة يمكن التعبير عنها في مجال الترددات و ذلك بإستعمال تحويل لابلاس كما يلي:
و قد تم إختيار الحرف I لتسمية هذا النوع من الكونترولر للإشارة إلى كلمة Integral أي أن نظام التحكم تكاملي
الكونترولر أو المتحكم من نوع D
العلاقة التي عن طريقها يعرف النظام من نوع D هي:
و هذه العلاقة يمكن التعبير عنها في مجال الترددات و ذلك بإستعمال تحويل لابلاس كما يلي:
و قد تم إختيار الحرف D لتسمية هذا النوع من الكونترولر للإشارة إلى كلمة differential و يجدر بالذكر أن الأنظمة من نوع D هي أنظمة موجودة نظريا فقط أي أنه لا يوجد مقابل لها في الواقع حيث أنه في الواقع لا توجد إلا أنظمة من نوع DTi.
الكونترولر أو النظم من نوع T
قبل كل شيء يجدر الإشارة إلى الفرق بين الأنظمة من نوع T و الأنظمة التي تحوي في تسميتها صفة Ti حيث i ترمز لعدد فمثلا هناك PT1 ،DT1,PDT2 إلخ... أما أنظمة الT فهي مختلفة و هي أنظمة يكون مخرجها هو مساوي لمدخلها و لكن بعد مرور وقت معين
اقرأ أيضا
|
المصادر
وصلات خارجية
قراءات اضافية
- Christopher Kilian (2005). Modern Control Technology. Thompson Delmar Learning. ISBN 1-4018-5806-6.
- Vannevar Bush (1929). Operational Circuit Analysis. John Wiley and Sons, Inc.
- Robert F. Stengel (1994). Optimal Control and Estimation. Dover Publications. ISBN 0-486-68200-5, ISBN-13: 978-0-486-68200-6.
{{cite book}}: Check|isbn=value: invalid character (help) - Franklin; et al. (2002). Feedback Control of Dynamic Systems (4 ed.). New Jersey: Prentice Hall. ISBN 0-13-032393-4.
{{cite book}}: Cite has empty unknown parameters:|accessyear=,|origmonth=,|accessmonth=,|month=,|chapterurl=,|origdate=, and|coauthors=(help); Explicit use of et al. in:|last=(help) - Joseph L. Hellerstein, Dawn M. Tilbury, and Sujay Parekh (2004). Feedback Control of Computing Systems. John Wiley and Sons. ISBN 0-47-126637-X, ISBN-13: 978-0-471-26637-2.
{{cite book}}: Check|isbn=value: invalid character (help)CS1 maint: multiple names: authors list (link) - Diederich Hinrichsen and Anthony J. Pritchard (2005). Mathematical Systems Theory I - Modelling, State Space Analysis, Stability and Robustness. Springer. ISBN 0-978-3-540-44125-0.
{{cite book}}: Check|isbn=value: length (help) - Andrei, Neculai (2005). "Modern Control Theory - A historical Perspective". Retrieved on 2007-10-10.
- Sontag, Eduardo (1998). Mathematical Control Theory: Deterministic Finite Dimensional Systems. Second Edition. Springer. ISBN 0-387-984895.
