نقاط خطر فريمنگهام

Framingham Risk Score
التشخيص الطبي
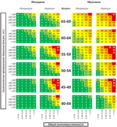
Framingham Score ATP III.png
مثال من روسيا لحساب "حرز فرامنغهام للخطورة" وفقا لجدول فرامنغهام NCEP ATP III لسنة 2002.
على اليمين جدول الرجال، وعلى اليسار جدول النساء.
المثال خاص بنقاط الخطورة خلال عشر سنوات لمرض احتشاء عضلة القلب غير-المميت (النوبة القلبية) أو موت القلب المفاجئ حيث قيمة الكولسترول الحميد بين 1.3-1.53 مللى مول/لتر، والمريض لا يتناول خافضات ضغط الدم.[1]
الغرضestimate 10 year cardiovascular risk

نقاط خطر فريمنگهام Framingham Risk Score هو خوارزمية sex-specific algorithm used to estimate the 10-year cardiovascular risk of an individual. The Framingham Risk Score was first developed based on data obtained from the Framingham Heart Study, to estimate the 10-year risk of developing coronary heart disease.[2] In order to assess the 10-year cardiovascular disease risk, cerebrovascular events, peripheral artery disease and heart failure were subsequently added as disease outcomes for the 2008 Framingham Risk Score, on top of coronary heart disease.[3]

Cardiovascular Risk Scoring systems

The Framingham Risk Score is one of a number of scoring systems used to determine an individual's chances of developing cardiovascular disease. A number of these scoring systems are available online.[4][5] Cardiovascular risk scoring systems give an estimate of the probability that a person will develop cardiovascular disease within a specified amount of time, usually 10 to 30 years.[6]

Because they give an indication of the risk of developing cardiovascular disease, they also indicate who is most likely to benefit from prevention. For this reason, cardiovascular risk scores are used to determine who should be offered preventive drugs such as drugs to lower blood pressure and drugs to lower cholesterol levels.[citation needed]

For example, nearly 30% of coronary heart disease (CHD) events in both men and women were singularly attributable to blood pressure levels that exceeded high normal (≥130/85), showing that blood pressure management and monitoring is paramount both to cardiovascular health and prediction of outcomes.[2]

Usefulness

Because risk scores such as the Framingham Risk Score give an indication of the likely benefits of prevention, they are useful for both the individual patient and for the clinician in helping decide whether lifestyle modification and preventive medical treatment and for patient education, by identifying men and women at increased risk for future cardiovascular events.[7]

Coronary heart disease (CHD) risk at 10 years in percent can be calculated with the help of the Framingham Risk Score. Individuals with low risk have 10% or less CHD risk at 10 years, with intermediate risk 10-20%, and with high risk 20% or more. However, it should be remembered that these categorisations are arbitrary.[citation needed]

A more useful metric is to consider the effects of treatment. If a group of 100 persons has a 20% ten-year risk of cardiovascular disease it means that we should expect that 20 of these 100 individuals will develop cardiovascular disease (coronary heart disease or stroke) in the next 10 years and eighty of them will not develop cardiovascular disease in the next 10 years.[citation needed]

If they were to take a combination of treatments (for example drugs to lower cholesterol levels plus drugs to lower blood pressure) that reduced their risk of cardiovascular disease by half it means that 10 of these 100 individuals should be expected to develop cardiovascular disease in the next 10 years and 90 of them should not be expected to develop cardiovascular disease. If that was the case then 10 of these individuals would have avoided cardiovascular disease by taking treatment for 10 years; 10 would get cardiovascular disease whether or not they took treatment, and 80 would not have got cardiovascular disease whether or not they took treatment.

Despite their widespread popularity, randomized trials assessing the impact of using cardiovascular disease risk scores show limited impact on patient outcomes. Although there is good evidence that targeting individuals with high total CVD risk is the most efficient way to reduce CVD-related morbidity and mortality, to date trials assessing the usefulness of risk scores at helping clinicians target high risk patients show limited benefit.[8]

It is important to recognize that the strongest predictor of cardiovascular risk in any risk equation is age.[9]

Background

Cardiovascular disease is common in the general population, affecting the majority of adults. It includes:

  1. Coronary heart disease (CHD): Myocardial infarction (MI), angina pectoris, heart failure (HF), and coronary death.
  2. Cerebrovascular disease, stroke and transient ischemic attack (TIA).
  3. Peripheral arterial disease, intermittent claudication and significant limb ischemia.
  4. Aortic disease: Aortic atherosclerosis, thoracic aortic aneurysm, and abdominal aortic aneurysm.

An individual's risk for future cardiovascular events is modifiable, by lifestyle changes and preventive medical treatment. Lifestyle changes can include stopping smoking, healthy diet, regular exercise, etc. Preventive medical treatment can include a statin, mini dose aspirin, treatment for hypertension, etc. It is important to be able to predict the risk of an individual patient, in order to decide when to initiate lifestyle modification and preventive medical treatment.

Multiple risk models for the prediction of cardiovascular risk of individual patients have been developed. One such key risk model is the Framingham Risk Score.

The Framingham Risk Score is based on findings from the Framingham Heart Study.

Validation

The Framingham Risk Score has been validated in the US, both in men and women, both in European Americans and African Americans.[10] While several studies have claimed to improve on the FRS, there is little evidence for any improved prediction beyond the Framingham risk score [11]

Limitations

The Framingham Risk Score predicts only future coronary heart disease (CHD) events, however, it does not predict future total cardiovascular events, meaning that it does not predict risk for stroke, transient ischemic attack (TIA), and heart failure. These also important patient outcomes were included in the 2008 Framingham General Cardiovascular Risk Score.[3] The predicted risk for an individual usually is higher with the 2008 Framingham General Cardiovascular Risk Score than with the 2002 Framingham Risk Score.[citation needed]

The Framingham Risk Score could overestimate (or underestimate) risk in populations other than the US population,[12][13] and within the US in populations other than European Americans and African Americans, e.g. Hispanic Americans and Native Americans.[14] It is not yet clear if this limitation is real, or appears to be real because of differences in methodology, etc. As a result, other countries may prefer to use another risk score, e.g. SCORE (HeartScore is the interactive version of SCORE - Systematic COronary Risk Evaluation),[15] which has been recommended by the European Society of Cardiology in 2007.[16]

If possible, a cardiology professional should select the risk prediction model which is most appropriate for an individual patient and should remember that this is only an estimate.[citation needed]

Versions

The current version of the Framingham Risk Score was published in 2008. The publishing body is the ATP III, i.e. the «Adult Treatment Panel III», an expert panel of the National Heart, Lung, and Blood Institute, which is part of the National Institutes of Health (NIH), USA.

The prior version was published in 2002 [17]

The original Framingham Risk Score had been published in 1998.[2]

Differences between the versions

The first Framingham Risk Score included age, sex, LDL cholesterol, HDL cholesterol, blood pressure (and also whether the patient is treated or not for his/her hypertension), diabetes, and smoking. It estimated the 10-year risk for coronary heart disease (CHD). It performed well and correctly predicted a 10-year risk for CHD in American men and women of European and African descent.

The updated version was modified to include dyslipidemia, age range, hypertension treatment, smoking, and total cholesterol, and it excluded diabetes, because Type 2 diabetes meanwhile was considered to be a CHD Risk Equivalent, having the same 10-year risk as individuals with prior CHD. Patients with Type 1 diabetes were considered separately with slightly less aggressive goals; while at increased risk, no study had shown them to be at equivalent risk for CHD as those with previously diagnosed coronary disease or Type 2 diabetes.[17]

CHD risk equivalent

Some patients without known CHD have risk of cardiovascular events that is comparable to that of patients with established CHD. Cardiology professionals refer to such patients as having a CHD risk equivalent. These patients should be managed as patients with known CHD.

CHD risk equivalents are patients with a 10-year risk for MI or coronary death >20%. CHD risk equivalents are primarily other clinical forms of atherosclerotic disease. The National Cholesterol Education Program NCEP's ATP III guidelines also list diabetes as a CHD risk equivalent since it also has a 10-year risk for CHD around 20%. NCEP ATP III CHD risk equivalents are:

  1. Clinical coronary heart disease (CHD)[18]
  2. Symptomatic carotid artery disease (CAD)[19]
  3. Peripheral arterial disease (PAD)[20]
  4. Abdominal aortic aneurysm (AAA)[21]
  5. Diabetes mellitus[22]
  6. Chronic kidney disease[23]

Analysis of the US population with the Framingham/ATP III criteria

The Framingham/ATP III criteria were used to estimate CHD risk in the USA. Data from 11,611 patients from a very large study, the NHANES III, were used. The patients were 20 to 79 years of age and had no self-reported CHD, stroke, peripheral arterial disease, or diabetes.

The results: 82% of patients had low risk (10% or less CHD risk at 10 years). 16% had intermediate risk (10-20%). 3% had high risk (20% or more).[24]

High risk was most commonly found in patients with advanced age and was more common in men than women.[بحاجة للاستشهاد الطبي]

Scoring

Framingham Risk Score for Women

Age: 20–34 years: Minus 7 points. 35–39 years: Minus 3 points. 40–44 years: 0 points. 45–49 years: 3 points. 50–54 years: 6 points. 55–59 years: 8 points. 60–64 years: 10 points. 65–69 years: 12 points. 70–74 years: 14 points. 75–79 years: 16 points.

Total cholesterol, mg/dL:

  • Age 20–39 years: Under 160: 0 points. 160-199: 4 points. 200-239: 8 points. 240-279: 11 points. 280 or higher: 13 points.
  • Age 40–49 years: Under 160: 0 points. 160-199: 3 points. 200-239: 6 points. 240-279: 8 points. 280 or higher: 10 points.
  • Age 50–59 years: Under 160: 0 points. 160-199: 2 points. 200-239: 4 points. 240-279: 5 points. 280 or higher: 7 points.
  • Age 60–69 years: Under 160: 0 points. 160-199: 1 point. 200-239: 2 points. 240-279: 3 points. 280 or higher: 4 points.
  • Age 70–79 years: Under 160: 0 points. 160-199: 1 point. 200-239: 1 point. 240-279: 2 points. 280 or higher: 2 points.

If cigarette smoker: Age 20–39 years: 9 points. • Age 40–49 years: 7 points. • Age 50–59 years: 4 points. • Age 60–69 years: 2 points. • Age 70–79 years: 1 point.

All non smokers: 0 points.

HDL cholesterol, mg/dL: 60 or higher: Minus 1 point. 50-59: 0 points. 40-49: 1 point. Under 40: 2 points.

Systolic blood pressure, mm Hg: Untreated: Under 120: 0 points. 120-129: 1 point. 130-139: 2 points. 140-159: 3 points. 160 or higher: 4 points. • Treated: Under 120: 0 points. 120-129: 3 points. 130-139: 4 points. 140-159: 5 points. 160 or higher: 6 points.

10-year risk in %: Points total: Under 9 points: <1%. 9-12 points: 1%. 13-14 points: 2%. 15 points: 3%. 16 points: 4%. 17 points: 5%. 18 points: 6%. 19 points: 8%. 20 points: 11%. 21=14%, 22=17%, 23=22%, 24=27%, >25= Over 30%

Framingham Risk Score for Men

Age: 20–34 years: Minus 9 points. 35–39 years: Minus 4 points. 40–44 years: 0 points. 45–49 years: 3 points. 50–54 years: 6 points. 55–59 years: 8 points. 60–64 years: 10 points. 65–69 years: 11 points. 70–74 years: 12 points. 75–79 years: 13 points.

Total cholesterol, mg/dL:

  • Age 20–39 years: Under 160: 0 points. 160-199: 4 points. 200-239: 7 points. 240-279: 9 points. 280 or higher: 11 points.
  • Age 40–49 years: Under 160: 0 points. 160-199: 3 points. 200-239: 5 points. 240-279: 6 points. 280 or higher: 8 points.
  • Age 50–59 years: Under 160: 0 points. 160-199: 2 points. 200-239: 3 points. 240-279: 4 points. 280 or higher: 5 points.
  • Age 60–69 years: Under 160: 0 points. 160-199: 1 point. 200-239: 1 point. 240-279: 2 points. 280 or higher: 3 points.
  • Age 70–79 years: Under 160: 0 points. 160-199: 0 points. 200-239: 0 points. 240-279: 1 point. 280 or higher: 1 point.

If cigarette smoker: Age 20–39 years: 8 points. • Age 40–49 years: 5 points. • Age 50–59 years: 3 points. • Age 60–69 years: 1 point. • Age 70–79 years: 1 point.

All non smokers: 0 points.

HDL cholesterol, mg/dL: 60 or higher: Minus 1 point. 50-59: 0 points. 40-49: 1 point. Under 40: 2 points.

Systolic blood pressure, mm Hg: Untreated: Under 120: 0 points. 120-129: 0 points. 130-139: 1 point. 140-159: 1 point. 160 or higher: 2 points. • Treated: Under 120: 0 points. 120-129: 1 point. 130-139: 2 points. 140-159: 2 points. 160 or higher: 3 points.

10-year risk in %: Points total: 0 point: <1%. 1-4 points: 1%. 5-6 points: 2%. 7 points: 3%. 8 points: 4%. 9 points: 5%. 10 points: 6%. 11 points: 8%. 12 points: 10%. 13 points: 12%. 14 points: 16%. 15 points: 20%. 16 points: 25%. 17 points or more: Over 30%.[25]

Further risk score profiles based on the Framingham Heart Study

Not only coronary heart disease (CHD) events but also further risks can be predicted. Risk prediction models for cardiovascular disease outcomes other than CHD events have also been developed by the Framingham Heart Study researchers. Amongst others, a risk score for 10-year risk for atrial fibrillation has been developed.[26][27]

See also

References

  1. ^ "دراسة فرامنغهام الطبية.. نتائج علمية «ذهبية» للبشرية". صحيفة الشرق الأوسط. 2017-04-26.
  2. ^ أ ب ت Wilson PW, D'Agostino RB, Levy D, Belanger AM, Silbershatz H, Kannel WB (May 1998). "Prediction of coronary heart disease using risk factor categories". Circulation. 97 (18): 1837–47. doi:10.1161/01.cir.97.18.1837. PMID 9603539.
  3. ^ أ ب D'Agostino RB, Vasan RS, Pencina MJ, Wolf PA, Cobain M, Massaro JM, Kannel WB (22 January 2008). "General cardiovascular risk profile for use in primary care: the Framingham Heart Study". Circulation. 117 (6): 743–53. doi:10.1161/CIRCULATIONAHA.107.699579. PMID 18212285.
  4. ^ Collins, Dylan; Lee, Joseph; Bobrovitz, Niklas; Koshiaris, Constantinos; Ward, Alison; Heneghan, Carl (2016-10-14). "Simple and adaptable R implementation of WHO/ISH cardiovascular risk charts for all epidemiological subregions of the world". F1000Research. 5: 2522. doi:10.12688/f1000research.9742.1.
  5. ^ "Cardiovascular Risk Calculator and Chart v3.0". Cvrisk.mvm.ed.ac.uk. 2010-05-19. Retrieved 2013-09-14.
  6. ^ "Risk Scoring Systems". Framingham Heart Study. Retrieved 7 May 2013.
  7. ^ Estimation of cardiovascular risk in an individual patient without known cardiovascular disease. Wilson PWF. In: UpToDate [Textbook of Medicine]. Basow, DS (Ed). Massachusetts Medical Society, and Wolters Kluwer publishers, The Netherlands. 2010.
  8. ^ Collins, Dylan Raymond James; Tompson, Alice; Onakpoya, Igho; Roberts, Nia; Ward, Alison; Heneghan, Carl (2017). "Global cardiovascular risk assessment in the primary prevention of cardiovascular disease in adults: systematic review of systematic reviews". BMJ Open. 7 (3): e013650. doi:10.1136/bmjopen-2016-013650. PMC 5372072. PMID 28341688.
  9. ^ Dhingra, Ravi; Vasan, Ramachandran S. (January 2012). "Age as a risk factor". The Medical Clinics of North America. 96 (1): 87–91. doi:10.1016/j.mcna.2011.11.003. ISSN 1557-9859. PMC 3297980. PMID 22391253.
  10. ^ D'Agostino RB, Grundy S, Sullivan LM, Wilson P (July 2001). "Validation of the Framingham coronary heart disease prediction scores: results of a multiple ethnic groups investigation". JAMA. 286 (2): 180–7. doi:10.1001/jama.286.2.180. PMID 11448281.
  11. ^ Tzoulaki, I.; Liberopoulos, G.; Ioannidis, JP. (Dec 2009). "Assessment of claims of improved prediction beyond the Framingham risk score". JAMA. 302 (21): 2345–52. doi:10.1001/jama.2009.1757. PMID 19952321.
  12. ^ Brindle P, Emberson J, Lampe F, Walker M, Whincup P, Fahey T, Ebrahim S (Nov 2003). "Predictive accuracy of the Framingham coronary risk score in British men: prospective cohort study". BMJ. 327 (7426): 1267. doi:10.1136/bmj.327.7426.1267. PMC 286248. PMID 14644971.
  13. ^ Liu J; Hong Y; D'Agostino RB Sr; Wu Z; Wang W; Sun J; Wilson PW; Kannel WB; Zhao D (Jun 2004). "Predictive value for the Chinese population of the Framingham CHD risk assessment tool compared with the Chinese Multi-Provincial Cohort Study". JAMA. 291 (21): 2591–9. doi:10.1001/jama.291.21.2591. PMID 15173150.
  14. ^ Sacco RL, Khatri M, Rundek T, Xu Q, Gardener H, Boden-Albala B, Di Tullio MR, Homma S, Elkind MS, Paik MC (Dec 2009). "Improving global vascular risk prediction with behavioral and anthropometric factors. The multiethnic NOMAS (Northern Manhattan Cohort Study)". J Am Coll Cardiol. 54 (24): 2303–11. doi:10.1016/j.jacc.2009.07.047. PMC 2812026. PMID 19958966.
  15. ^ Conroy R (2003). "Estimation of ten-year risk of fatal cardiovascular disease in Europe: the SCORE project". European Heart Journal. 24 (11): 987–1003. doi:10.1016/s0195-668x(03)00114-3. PMID 12788299.
  16. ^ Conroy RM, Pyorala K, Fitzgerald AP, Sans S, Menotti A, De Backer G, De Bacquer D, Ducimetiere P, Jousilahti P, Keil U, Njolstad I, Oganov RG, Thomsen T, Tunstall-Pedoe H, Tverdal A, Wedel H, Whincup P, Wilhelmsen L, Graham IM (Jun 2003). "Estimation of ten-year risk of fatal cardiovascular disease in Europe: the SCORE project". Eur Heart J. 24 (11): 987–1003. doi:10.1016/s0195-668x(03)00114-3. PMID 12788299.
  17. ^ أ ب "Third Report of the National Cholesterol Education Program (NCEP) Expert Panel on Detection, Evaluation, and Treatment of High Blood Cholesterol in Adults (Adult Treatment Panel III) final report". Circulation. 106 (25): 3143–421. December 2002. doi:10.1161/circ.106.25.3143. hdl:2027/uc1.c095473168. PMID 12485966.
  18. ^ "Coronary Heart Disease". The Lecturio Medical Concept Library. Retrieved 4 October 2021.
  19. ^ "Carotid artery disease: MedlinePlus Medical Encyclopedia". medlineplus.gov (in الإنجليزية). Retrieved 29 May 2019.
  20. ^ "What Is Peripheral Vascular Disease?" (PDF). American Heart Association (heart.org). 2012. Archived (PDF) from the original on أبريل 12, 2015. Retrieved فبراير 26, 2015. Peripheral artery disease (PAD) is the narrowing of the arteries to the legs, stomach, arms and head.
  21. ^ Kent KC (27 November 2014). "Clinical practice. Abdominal aortic aneurysms". The New England Journal of Medicine. 371 (22): 2101–8. doi:10.1056/NEJMcp1401430. PMID 25427112.
  22. ^ "About diabetes". World Health Organization. Archived from the original on 31 March 2014. Retrieved 4 April 2014.
  23. ^ "Chronic Kidney Disease". The Lecturio Medical Concept Library. Retrieved 4 October 2021.
  24. ^ Ford ES, Giles WH, Mokdad AH (May 2004). "The distribution of 10-Year risk for coronary heart disease among US adults: findings from the National Health and Nutrition Examination Survey III". J. Am. Coll. Cardiol. 43 (10): 1791–6. doi:10.1016/j.jacc.2003.11.061. PMID 15145101.
  25. ^ "NHLBI, Estimate of 10-Year Risk for CHD". National Heart, Lung, and Blood Institute (NHLBI). Retrieved 2013-09-14.
  26. ^ Schnabel RB, Sullivan LM, Levy D, Pencina MJ, Massaro JM, D'Agostino RB, Newton-Cheh C, Yamamoto JF, Magnani JW, Tadros TM, Kannel WB, Wang TJ, Ellinor PT, Wolf PA, Vasan RS, Benjamin EJ (February 2009). "Development of a risk score for atrial fibrillation (Framingham Heart Study): a community-based cohort study". Lancet. 373 (9665): 739–45. doi:10.1016/S0140-6736(09)60443-8. PMC 2764235. PMID 19249635.
  27. ^ Lloyd-Jones DM, Wang TJ, Leip EP, Larson MG, Levy D, Vasan RS, D'Agostino RB, Massaro JM, Beiser A, Wolf PA, Benjamin EJ (August 2004). "Lifetime risk for development of atrial fibrillation: the Framingham Heart Study". Circulation. 110 (9): 1042–6. doi:10.1161/01.CIR.0000140263.20897.42. PMID 15313941.

External links