غلاف مغناطيسي
يَتكون الغلاف المغناطيسي magnetosphère عندما يَتفاعل فيض من الجسيمات المشحونة - مثل الرياح الشمسية - مع مجال مغناطيسي حقيقي لكوكب ما أو جسم مُشابه. يُطوق الأرض غلاف مغناطيسي، والكواكب الأخرى التي تملك غلافاً مغناطيسياً حقيقياً وقوياً هي: عطارد والمشتري وزحل وأورانوس ونبتون. يَملك أكبر أقمار المشتري - گانيميد - غلافاً مغناطيسياً صغيراً، لكنه يَقع بالكامل تقريباً ضمن غلاف المشتري، مما يُؤدي إلى تفاعلات معقدة بينهما. يُطلق أيونوسفير الكواكب ضعيفة المغناطيسية مثل الزهرة والمريخ تيارات تحرف جزئياً تدفق الرياح الشمسية، لكنها لا تملك أغلفة مغناطيسية بالرغم من ذلك.
يُستخدم مصطلح الغلاف المغناطيسي أيضاً لوصف المناطق التي تخضع لتأثير الحقول المغناطيسية لأجرام سماوية ما، مثل غلاف النوابض المغناطيسي.
وهي منطقة فضائية تحيط بالكرة الأرضية، وتقع بعد الغلاف الأيوني، بدءاً من 800 حتى 1000 كيلومتر، وتمتد إلى الحدود النهائية الفاصلة بين الفضاء الأرضي والفضاء ما بين الكواكب. تملأ الغلاف المغنطيسي بلازما ممدَّدة جداً، تتكون في أسفله من إلكترونات ونوى الهليوم الثقيلة، وتكاد تكون في قسمه العلوي مفككة كلياً إلى إلكترونات وبروتونات (نوى الهدروجين الخفيفة)، ويتحكم فيها الحقل المغناطيسي الأرضي تحكّماً وثيقاً. وعليه يجب عدّ الناقلية الكهربائية لهذه البلازما شبه لانهائية، مما يكسبها سلوكاً مغنطيسياً تحريكياً يجعلها تسمح لموجات آلفين Alfvén بالانتشار فيها بسرعات تراوح بين 30 و80 كيلومتراً/ثانية، وتضطر جسيماتها إلى الارتباط بخطوط الحقل (خطوط القوة) المغناطيسي وكأنها «مسمَّرة» بها. وهذه البلازما «باردة»، أي كثافة طاقتها الحركية (الترموديناميكية) ضعيفة ومنخفضة، على خلاف البلازما «الحارة» المتوافرة في الريح الشمسية، التي هي تدفق جسيمات مستمر من الشمس، سرعاتها عالية جداً تراوح بين 300 و800 كيلومتر/ثانية.
حدود الغلاف المغناطيسي
لم يعد مقبولاً ـ كما كان يُعتقد في السابق ـ أن يكون هذا الحقل ممتداً إلى اللانهاية، فإن ذلك لم يكن صحيحاً إلا بقدر صحة الاعتقاد بأن الفضاء بين الكواكب هو فضاء «خالٍ» في حالته العادية. إن إثبات الوجود الدائم للرياح الشمسية، نحو عام 1950 من قِبَل الفيزيائي الفلكي لودڤيگ فرانز بندكت بيرمان Ludwig F.B. Biermann، أدى إلى قبول الوجود الدائم عام 1958 مع يوجين باركر Eugène N. Parker، «لتجويف» يحتفظ به الحقل المغناطيسي الأرضي، وكأنه محفور في البلازما التي تنقلها الريح الشمسية. وجدران هذا التجويف (الحد الخارجي للغلاف المغناطيسي) هي مقر التآثر (التفاعل المتبادل) الدائم بين هذه البلازما الشمسية والحقل المغناطيسي الأرضي؛ إذ يجبر هذا الحقل جسيمات البلازما على الالتفاف حول خطوط حقله المحيطية الخارجية، ولكن هذه الخطوط الخارجية، ومن ثمَّ معها خطوط الحقل الداخلية الأخرى جميعها، تبقى بقوة ذلك «محصورة» داخل هذا التجويف المتولِّد على هذا النحو.
تاريخ فيزياء الأغلفة المغناطيسية
اكتشفت مركبة إكسپلورر 1 غلاف الأرض المغناطيسي عام 1958 خلال بحث[1] يَخص السنة الجيوفيزيائية الدولية.[بحاجة لمصدر] قبل هذا، عرف العلماء أنه توجد تيارات كهربائية في الفضاء بسبب ثورات شمسية تقود أحياناً إلى اضطراب "عاصفة مغناطيسية".[1] لكن بالرغم من هذا لم يَعرف أحد أين ولماذا كانت هذه التيارات موجودة، أو أن الرياح الشمسية موجودة أساساً. أطلق في شهري آب/أغسطس وأيلول/سبتمبر عام 1958 مشروع أرغس لاختبار نظرية حول تكون الأحزمة الإشعاعية التي يُمكن أن تملك استخداماً تكتيكياً في الحرب.[بحاجة لمصدر] في عام 1959، قام باحثان من جامعة لوا باستخدام صاروخ تجارب لتحديد أن الجُسيمات التي رُصدت سابقاً حول الأرض هي إلكترونات، وتملك طاقة متوسطها 6,000 فولت. أما اليوم، فإن السواتل العلمية تقوم دورياً بعبور تيارات الإلكترونات في الغلاف المغناطيسي الأرضي وبقياس خصائصها.[2]
اقترح توماس گولد اسم "الغلاف المغناطيسي" في عام 1959 عندما كتب[1] في مجلة البحوث الجيوفيزيائية:
غلاف الأرض المغناطيسي

الغلاف الأرضي المغناطيسي هو منطقة في الفضاء يُحدد شكلها المجال الأرضي المغناطيسي الداخلي، وبلازما الرياح الشمسية، والمجال المغناطيسي البين كوكبي. في الغلاف المغناطيسي، يُحبس مزيج من الأيونات الحرة والإلكترونات - القادمين من كل من الرياح الشمسية والأيونوسفيرِ الأرضي - عن طريق القوة الكهرومغناطيسية، والتي تفوق الجاذبية والاصطدامات قوة بكثير.
على الرغم من أن الاسم الأصلي - الأجنبي - للغلاف المغناطيسي يَعني حرفياً "الكرة المغناطيسية"، إلا أن شكله في الحقيقة ليس كروياً. جميع الأغلفة المغناطيسية الكوكبية المعروفة في النظام الشمسي تملك غلافاً أقرب إلى البيضاوي في شكله بسبب تأثير الرياح الشمسية.
حالة الغلاف المغنطيسي السكونية (أو «المستقرة») وبنيته الأساسية
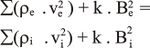
الحدّ الخارجي للغلاف المغناطيسي (السطح الحدودي) يعبرّ عن التوازن الحاصل بين الضغوط على وجهيه وفق المعادلة:
وفي هذه العلاقة تعبر الحدود ρv2 (حيث يمثل ρ الكتلة الحجمية، وv سرعة الهيجان الحراري أو الانجرار) عن ضغوط (أو كثافات طاقة) مصدرها حركي أو حراري، بينما تعبر الحدود kB2 (حيث يمثل B التحريض أو الحقل المغنطيسي) عن ضغوط (أو كثافات طاقة) مصدرها مغنطيسي، وترمز القرينتان e وi إلى الوسطين الخارجي والداخلي على التوالي، أما k فهو معامل يتوقف على الواحدات المستخدمة. وإذا لم يؤخذ في الحسبان إلا الحدّ الأهم في طرفي المعادلة ـ الضغط الحركي الذي تمارسه البلازما الشمسية من الخارج، والضغط المغنطيسي الذي يمارسه الحقل المغنطيسي الأرضي من الداخل ـ تؤول العلاقة السابقة إلى الشكل المبسط:
الذي يعين الحدّ الخارجي للغلاف المغنطيسي. وينطبق هذا التفكير على جانب الشمس (أو جانب النهار)، فيشكل شبه نصف كرة كائنة على بعد نحو خمسة أضعاف قطر الأرض. أما في الجانب المضاد للشمس (أو جانب الليل) فالظاهرة في الواقع أكثر تعقيداً، إذ تنضاف إلى الأفعال السابقة انجرارات (باللزوجة المغناطيسية أو بالدوامات الخ…) تمت معرفتها بفضل قياسات ساتلية: استطالة كبيرة في الغلاف المغناطيسي الليلي، التي ربما تمتد إلى مئات عدة من قطر الأرض، أي إلى أبعد بكثير من المدار القمري الذي يمتد إلى 30 مرة من قطر الأرض، وهذا الذي يشكل الذيل المغنطيسي «المغلق» أو «المفتوح»، حسبما يُفترض أن خطوط الحقل تنغلق على ذاتها (الشكل 1-ب) أو أنها تذهب على العكس لتلتحم بخطوط الحقل المغناطيسي الضعيف الذي يُعلم الآن بوجوده في الفضاء بين الكواكب والذي تبلغ شدته 5γ تقريباً (γ = غاما = 10-5 غاوس).
شكل الحقل المغنطيسي
الحقل المغناطيسي الذي داخل الغلاف المغناطيسي المجاور للأرض يشبه كثيراً الحقل الذي تولده ثنائية مغناطيسية (قضيب مغناطيسي كبير) يميل محور تناظرها قليلاً على محور دوران الأرض، ويمتد إلى مسافات تبلغ بضعة أضعاف من قطر الأرض، سواء من جانب النهار أو من جانب الليل. وتنغلق خطوط الحقل المتقابلة عند سطح الأرض في مناطق تمتد من خط الاستواء وحتى المناطق الشفقية (غير المتضمنة). ولايظهر التمايز الأساسي بين الغلافين النهاري والليلي إلا في مسافات أكبر من هذه المسافات؛ ففي حالة الغلاف المغنطيسي النهاري يبقى الحقل الشبيه بحقل الثنائية المغنطيسية صالحاً أيضاً حتى حدوده، قرب الحدّ الخارجي للغلاف المغناطيسي، ولكن الأمر يختلف تماماً بالنسبة إلى الغلاف المغنطيسي الليلي الذي يصبح متناظراً حول محور اتجاه الشمس ـ أرض، المعامد تقريباً للمحور المغنطيسي للأرض. وتصبح خطوط الحقل الصادرة جميعها من المناطق الشفقية أو القطبية مسحوبة بشدة في الاتجاه المضاد للشمس، ولا تعود الخطوط المحيطية الخارجية تنغلق بين نصفي الكرة الأرضية الشمالي والجنوبي، وهكذا يتكون الذيل المغنطيسي، مع الخصوصيات الآتية:
1ـ وجود «منطقة حيادية»، هي منطقة مسطَّحة (بضع مئات من الكيلومترات) في اتجاه الجنوب ـ شمالي، تنسحب على طولها حقول مغنطيسية متوازية ومتعاكسة في الاتجاه، تحيط بحقول غير مستقرة، ضعيفة أو معدومة، تصادفها السواتل في مركز المنطقة.
2ـ الاحتفاظ بحقول مغنطيسية ذات شدات كبيرة نسبياً (من20 إلى 40 «غاما») تبقى موجودة داخل جسم الذيل ذاته، وإلى مسافات بعيدة تصل إلى عشرات بل مئات قطر الأرض.
السمات العامة

الحدّ الخارجي للغلاف المغناطيسي
لقد ثبت وجود الحدّ الخارجي للغلاف المغناطيسي بجلاء باستخدام المقاييس المغناطيسية المحمولة على السواتل أو المسابر الفضائية، فَوُجِدَ أن الحقل المغناطيسي الذي تقيسه هذه الأجهزة يتغير بانتظام داخل الغلاف المغنطيسي، وفجأة بعد مسافة معينة تبدأ فيه التغيرات العشوائية مع هبوط في الشدة. ويمكن فهم تشكل هذا الحدّ الواضح في جانب الشمس على النحو الآتي: لنفترض أن مستوياً ناقلاً ضخماً يقترب من الأرض، وعندما يقطع هذا المستوى خطوط حقل المجال المغناطيسي الأرضي تتولد فيه ـ حسب قوانين الكهرمغناطيسية ـ تيارات تحريضية تخضع لقوى لابلاس تعوق تغير حركة هذا المستوي، وتكون شدة هذه القوى عظمى في جوار المستقيم أرض ـ شمس، فإذا كان هذا المستوي قابلاً للتشوه، يتغير شكله، فيتحدب عن هذا المستقيم أرض ـ شمس. وليس هذا المستوي الافتراضي سوى السطح الجبهي للريح الشمسية المؤلَّفة من الجسيمات المشحونة الصادرة عن الشمس.
أحزمة الإشعاع
الذيول المغناطيسية
يَتكون الذيل المغناطيسي عن طريق الضغط الذي تولّده الرياح الشمسية على الغلاف المغناطيسي لكوكب ما. يُمكن أن يَمتد الذيل المغناطيسي لمسافات هائلة عن كوكبه، فمثلاً يَمتد ذيل الأرض المغناطيسي لـ200 ضعف نصف قطرها على الأقل بعكس اتجاه الشمس، ولمسافة جيدة وراء مدار القمر تصل إلى حوالي 60 نصف قطر أرضي. في حين أن ذيل المشتري المغناطيسي يَمتد لما وراء مدار زحل، وهذا يَجعل زحل مغموراً بغلاف المشتري المغناطيسي.
يَنتج الذيل المغناطيسي المُمتد لكوكب ما من الطاقة المُخزنة داخل مجاله المغناطيسي. في الأحيان التي تنطلق فيها الطاقة يُصبح المجال المغناطيسي شبه-ثنائي القطب لفترة مؤقتة، وعندما يَحدث هذا تبدأ الطاقة المحزنة بشحن البلازما (الرياح الشمسية) التي أسرتها خطوط المجال المغناطيسي المعقدة، وتنطلق بعض هذه البلازما على شكل ذيل إلى الفضاء الخارجي. أما بقية البلازما فهي تدخل إلى الغلاف المغناطيسي الداخلي حيث تنتج في تكوين ظاهرتي الشفق القطبي وحلقة تيار البلازما. ويُمكن للبلازما المشحونة والتيارات الكهربائية الناتجة عن هذه العملية أن تهدد عمل المراكب والاتصالات والملاحة الفضائية.
موجة الصدم
لما كانت سرعة الريح الشمسية عالية جداً، من رتبة 300 إلى 800 كيلومتر/ثانية، وهي أعلى بنحو عشر مرات من سرعة أمواج آلفين؛ فإن هذه الأمواج تؤدي في هذا الوسط المتأين دور الموجات الصوتية المنتشرة في الهواء الذي يتحرك فيه جسم بسرعات فوق صوتية فتنشأ حادثة جدار الصوت بقوة موجة الصدم، وهنا تقوم الريح الشمسية مقام المتحرك بسرعات «فوق صوتية» بالنسبة إلى موجات آلفين، مما يؤدي إلى تشكل موجة الصدم أمام الحدّ الخارجي للغلاف المغنطيسي على مدى يبلغ عدة مرات من قطر الأرض، وتسمى المنطقة المحصورة بين موجة الصدم والحدّ الخارجي للغلاف المغنطيسي بالغمد المغنطيسي، وتكون مملوءة بالبلازما القادمة من الريح الشمسية.
إن عدم الاستقرار الذي يعزى إلى الحقول المتوازية والمتعاكسة في الاتجاه التي تفصل بينها ثخانات صغيرة من البلازما، قد دعا إلى التفكير بإمكان عودة الاتصال بين خطوط الحقل المتقابلة، وعندئذ تتساقط الطاقة المتحررة بشكل موجات مغناطيسية تحريكية و«انهيارات» من البلازما، على المناطق المنخفضة من الغلافين المغنطيسي والأيوني، وهذا هو مصدر الشفق القطبي والعواصف الفرعية [[العاصفة المغنطيسية والفجر القطبي وما إلى ذلك.
وهناك مناطق أخرى خاصة من الغلاف المغناطيسي أُثبت وجودها هي أحزمة ڤان آلن Van Allen الإشعاعية منذ عام 1985، والأحدث منها في عام 1966 هو حد الغلاف البلازمي، وهو منطقة التناقص السريع نحو الخارج في الكثافة الإلكترونية للبلازما المكونة للغلاف المغناطيسي، إذ تتناقص قيمة هذه الكثافة بسرعة من 100 إلكترون في السنتمتر المكعب إلى نحو إلكترون واحد في السنتمتر المكعب على بعد ثلاثة أو أربعة أضعاف نصف قطر الأرض، وهو يشكل عند هذا البعد حداً للغلاف البلازمي المتكون من البلازما التي تبقى مرتبطة بالأرض وتدور بدورانها.
حالة الغلاف المغنطيسي التحريكية
قد يحدث للغلاف المغناطيسي:
ـ تعديل في مواضع حدوده المختلفة، وتغيير في مناطقه الداخلية.
ـ تقلّبات وتراوحات أسرع، ترتبط غالباً بحالات عدم استقرار، وتصيب في الوقت نفسه حقله المغناطيسي وبلازماه.
وهناك مشكلة مهمة هي أساليب انتقال الطاقة بين الإشعاعات الشمسية والغلاف المغناطيسي، ثم بين الغلاف المغنطيسي وسطح الأرض، مروراً بالغلاف الأيوني. وفيما يخص النوع الأول من هذه التبادلات يبدو أن الغمد المغناطيسي، وهو منطقة الدوّامات شبه الدائمة الواقعة أمام الحد الخارجي للغلاف المغناطيسي النهاري، يؤدي فيها دوراً متميزاً خاصاً. ومما تجدر ملاحظته أن آليات الانتقال ليست مباشرة دائماً، إذ يبدو أن تخزيناً للطاقة وللبلازما يحدث داخل مختلف مناطق الغلاف المغناطيسي.
يُذكر في هذا الشأن أن الحقل المغناطيسي قادر على «احتباس» أو أسر جسيمات مشحونة يجبرها على أن تدور حول خط الحقل، وأن تنسحب على طوله، فيصبح مسارها لولبياً حول خط الحقل، وتصغر خطوة اللولب مع ازدياد شدة الحقل، أي الاقتراب من الأرض، حيث يؤول المسار إلى دائرة وحسب، ثم ترتد الجسيمات المشحونة على نصف الكرة الأرضية في الاتجاه المعاكس، لتعاود الأسر بخط حقل والاقتراب من جديد من نصف الكرة الأرضية الثاني، وهكذا تنعكس الجسيمات ذهاباً وإياباً بين نصفي الكرة الأرضية، وكأنها في «قارورة مغناطيسية» أو مصيدة تنعكس على التناوب بين مقطعين قائمين فيها. وهكذا يمكن أن يُفسّر مثلاً تراكيز البروتونات والنترونات وتجمُّعها في مناطق أحزمة فان آلن الإشعاعية. ويمكن لاضطرابات عابرة عَرَضية في الحقل أن تتيح فك أسر الجسيمات وتحريرها من المصيدة هذه، مما يشكل عاصفة مغناطيسية أو شفقاً قطبياً.
ومن المظاهر التي يتواتر حدوثها في أثناء الحالة التحريكية للغلاف المغنطيسي (حتى في الحالة التي يعدّ الغلاف فيها «هادئاً» على الإجمال) «النبضات المغناطيسية» التي يُشاهد عدد كبير من أنماطها على سطح الأرض، غير أن السواتل بدأت تسجلها، في مواقعها مما يؤكد أن مصدرها الرئيس هو الغلاف المغناطيسي، علماً بأن الغلاف الأيوني يمكن أن يتدخل بوصفه «مرشِّحاً» فاعلاً أو منفعلاً.
وتشكل دراسة هذه النبضات إحدى الطرائق المستخدمة لفهم سلوك الغلاف المغناطيسي، من أجل تحديد مختلف «تجاويفه التجاوبية» وانزياحات «جدرانها»، ومن أجل متابعة طرائق إثارته بالإشعاعات الشمسية.
باختصار؛ إن الغلاف المغناطيسي يتحكم، بسبب موضعه الحدودي الذي يشغله، بالاشتراك مع الغلاف الجوي المعتدل والغلاف الأيوني، في جزء كبير من علاقات الشمس ـ الأرض. وتقدّم دراسته فائدة مباشرة لأنشطة أرضية مهمّة كالإرسال الراديوي والملاحة الفضائية والأرصاد الجوية العامة… الخ، وله فوق ذلك فائدة خاصة فيما هو جديد في النظام الفيزيائي «والمختبر» الفضائي. ومن التوجهات الجديدة تبيان الدور الذي يمكن أن تؤديه الحقول الكهربائية أيضاً، بعد الحقول المغناطيسية، في مثل هذا النظام.[4]
تصنيف الحقول المغناطيسية
الزوابع والعواصف المغناطيسية

المراجع
- ^ أ ب ت غلاف الأرض المغناطيسي - تاريخ. تاريخ الولوج 02-11-2010.
- ^ الشفق القطبي - تاريخ. تاريخ الولوج 02-11-2010.
- ^ After Peratt, A. L., "Advances in Numerical Modeling of Astrophysical and Space Plasmas" (1966) Astrophysics and Space Science, v. 242, Issue 1/2, p. 93-163.
- ^ أنطون مارين. "الغلاف المغنطيسي". الموسوعة العربية.
وصلات خارجية
- USGS Geomagnetism Program
- Aurora borealis
- Storms from the Sun - The Emerging Science of Space Weather
- Magnetosphere: Earth's Magnetic Shield Against the Solar Wind
- Physics of the Aurora
- "3D Earth Magnetic Field Charged-Particle Simulator" Tool dedicated to the 3d simulation of charged particles in the magnetosphere.. [VRML Plug-in Required]
- "Exploration of the Earth's Magnetosphere", Educational web site by David P. Stern and Mauricio Peredo