فينولات الصوديوم

فينولات الصوديوم
Structural formula of sodium phenoxide.svg
Sodium-phenoxide-3D-balls.png
الأسماء
اسم أيوپاك المفضل
Sodium phenoxide[1]
أسماء أخرى
Sodium phenolate
المُعرِّفات
رقم CAS
3D model (JSmol)
ChemSpider
ECHA InfoCard 100.004.862 Edit this at Wikidata
UNII
الخصائص
الصيغة الجزيئية C6H5NaO
كتلة مولية 116.09 g/mol
المظهر White solid
المخاطر
خطر رئيسي Harmful, Corrosive
نقطة الوميض Non-flammable
Non-flammable
ما لم يُذكر غير ذلك، البيانات المعطاة للمواد في حالاتهم العيارية (عند 25 °س [77 °ف]، 100 kPa).
مراجع الجدول

فينولات الصوديوم وهو ملح الصوديوم للفينول، صيغته NaOC6H5. It is a white crystalline solid. Its anion, phenoxide, also known as phenolate, is the conjugate base of phenol. It is used as a precursor to many other organic compounds, such as aryl ethers.

التحضير

يحضر فينولات الصوديوم من تفاعل الفينول مع هيدروكسيد الصوديوم.[2] Anhydrous derivatives can be prepared by combining phenol and sodium. A related, updated procedure uses sodium methoxide instead of sodium hydroxide:[3]

NaOCH3 + HOC6H5 → NaOC6H5 + HOCH3

Sodium phenoxide can also be produced by the "alkaline fusion" of benzenesulfonic acid, whereby the sulfonate groups are displaced by hydroxide:

C6H5SO3Na + 2 NaOH → C6H5ONa + Na2SO3

This route once was the principal industrial route to phenol.[citation needed]

الاستخدامات

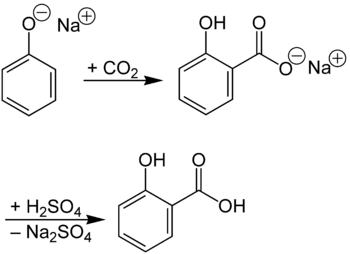
يستخدم مركب فينولات الصوديوم من أجل تحضير حمض الساليسيليك عن طريق تفاعل كولبة-شميت. يجري التفاعل بتسخين المركب تحت الضغط بوجود غاز ثنائي أكسيد الكربون فينتج لدينا مركب ساليسيلات الصوديوم، الذي يعالج بحمض الكبريتيك

تحضير حمض الساليسيليك بتفاعل كولبة-شميت


البنية

Like other sodium alkoxides, solid sodium phenoxide adopts a complex structure involving multiple Na-O bonds. Solvent-free material is polymeric, each Na center being bound to three oxygen ligands as well as the phenyl ring. Adducts of sodium phenoxide are molecular, such as the cubane-type cluster [NaOPh]4(HMPA)4.[4]

Part of the crystal structure of pure sodium phenoxide
Subunit of the crystal structure of pure sodium phenoxide, illustrating the binding of phenoxide ions to sodium through both the oxygen and the arene.

التفاعلات

Sodium phenoxide is a moderately strong base. Acidification gives phenol:[5]

PhOH ⇌ PhO + H+          (K = 10−10)

The acid-base behavior is complicated by homoassociation, reflecting the association of phenol and phenoxide.[6]

Sodium phenoxide reacts with alkylating agents to afford alkyl phenyl ethers:[2]

NaOC6H5 + RBr → ROC6H5 + NaBr

The conversion is an extension of the Williamson ether synthesis. With acylating agents, one obtains phenyl esters:

NaOC6H5 + RC(O)Cl → RCO2C6H5 + NaCl

Sodium phenoxide is susceptible to certain types of electrophilic aromatic substitutions. For example, it reacts with carbon dioxide to form 2-hydroxybenzoate, the conjugate base of salicylic acid. In general however, electrophiles irreversibly attack the oxygen center in phenoxide.

The Kolbe–Schmitt reaction.

المراجع

  1. ^ International Union of Pure and Applied Chemistry (2014). Nomenclature of Organic Chemistry: IUPAC Recommendations and Preferred Names 2013. The Royal Society of Chemistry. pp. 1071, 1129. doi:10.1039/9781849733069. ISBN 978-0-85404-182-4.
  2. ^ أ ب "γ-Phenoxypropyl Bromide". Org. Synth. 9: 72. 1929. doi:10.15227/orgsyn.009.0072. {{cite journal}}: Cite uses deprecated parameter |authors= (help)
  3. ^ Kornblum, Nathan; Lurie, Arnold P. (1959). "Heterogeneity as a Factor in the Alkylation of Ambident Anions: Phenoxide Ions1,2". Journal of the American Chemical Society. 81 (11): 2705–2715. doi:10.1021/ja01520a030.
  4. ^ Michael Kunert, Eckhard Dinjus, Maria Nauck, Joachim Sieler "Structure and Reactivity of Sodium Phenoxide - Following the Course of the Kolbe-Schmitt Reaction" Chemische Berichte 1997 Volume 130, Issue 10, pages 1461–1465. doi:10.1002/cber.19971301017
  5. ^ قالب:March6th
  6. ^ K. Izutsu (1990). Acid-Base Dissociation Constants in Dipolar Aprotic Solvents. Vol. 35. Blackwell Scientific Publications.