كيمياء غذائية
الكيمياء الغذائية Food chemistry، هي أحد فروع الكيمياء الذي يهتم بكل العمليات الكيميائية المرافقة لتصنيع الغذاء بما في ذلك الإنتاج والتخزين والتحضير، كما يشمل التأثيرات الحيوية وغير الحيوية لمكوّنات الغذاء على جسم الإنسان.[1][2] تعد الكيمياء التحليلية أحد أهم الفروع المتعلقة بالكيمياء الغذائية.
تهتم الكيمياء الغذائية بدراسة تركيب المواد الغذائية ومحتواها من السكريات والدهنيات والبروتينات، بالإضافة إلى مجالات أخرى مثل الفيتامينات والعناصر المعدنية والإنزيمات والإضافات والمنكّهات والملوّنات. كما يهتم هذا الفرع من الكيمياء بالعمليات الصناعية المرافقة لإنتاج المواد الغذائية للحصول على منتج نهائي صحّي يمكن أن يتناوله المستهلك دون أي ضرر. بالتالي فإن ضمان الجودة بالنسبة للمنتج النهائي أمر في غاية الأهمية بالنسبة للكيمياء الغذائية.
التاريخ
الماء في النظم الغذائية
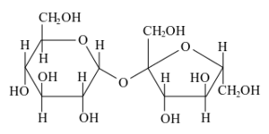
الكربوهيدرات

السكروز: سكر المائدة، ويعتبر من أكثر الكربوهيدرات شيوعاً.
الدهون
الپروتينات الغذائية
الانزيمات
الڤيتامينات
المعادن
الألوان
النكهات
الإضافات الغذائية
انظر أيضاً
- كيمياء فيزيائية غذائية
- مكمل غذائي
- Food and Bioprocess Technology (journal)
- الكيمياء الغذائية (مجلة)
- Food composition
- هندسة غذائية
- Food fortification
- Food microbiology
- تعبة الأغذية
- حفظ الأغذية
- Food rheology
- سلامة الأغذية
- علوم غذائية
- تخزين الأغذية
- مكملات غذائية
- تكنولوجيا التغذية
- Nutraceutical
- القيمة الغذائية
المصادر
المراجع
- Fennema, O.R., Ed. (1985). Food Chemistry - Second Edition, Revised and Expanded. New York: Marcel Dekker, Inc.
- Francis, F.J. (2000). "Harvey W. Wiley: Pioneer in Food Science and Quality." In A Century of Food Science. Chicago: Institute of Food Technologists. pp. 13–14.
- Potter, N.N. and J.H. Hotchkiss. (1995). Food Science, Fifth Edition. New York: Champman & Hall. pp. 24–68.
- U.S. Food and Drug Administration. (1993). Everything Added to Food in the United States. Boca Raton, Florida: C.K. Smoley (c/o CRC press, Inc.).
وصلات خارجية
- American Chemical Society Agricultural and Food Chemistry Division
- Institute of Food Technologists Food Chemistry Division
- The Penn State University, Food Chemistry, US
- Wageningen University, Laboratory of Food Chemistry, The Netherlands
This article may include material from Wikimedia licensed under CC BY-SA 4.0. Please comply with the license terms.