حمض البنزويك

(تم التحويل من Benzoic acid)
حمض البنزويك
Skeletal formula
Ball-and-stick model
Pile of benzoic acid crystals.jpg
الأسماء
اسم أيوپاك المفضل
Benzoic acid[1]
اسم أيوپاك النظامي
Benzenecarboxylic acid
أسماء أخرى
  • Carboxybenzene
  • E210
  • Dracylic acid
  • Phenylmethanoic acid
  • BzOH
المُعرِّفات
رقم CAS
3D model (JSmol)
3DMet
مرجع بايلستاين 636131
ChEBI
ChEMBL
ChemSpider
DrugBank
ECHA InfoCard 100.000.562 Edit this at Wikidata
رقم EC
  • 200-618-2
E number E210 (preservatives)
مرجع Gmelin 2946
KEGG
عناوين مواضيع طبية MeSH {{{value}}}
رقم RTECS
  • DG0875000
UNII
الخصائص
الصيغة الجزيئية C7H6O2
كتلة مولية 122.11 g mol-1
المظهر Colorless crystalline solid
الرائحة Faint, pleasant odor
الكثافة 1.2659 g/cm3 (15 °C)
1.0749 g/cm3 (130 °C)[2]
نقطة الانصهار
نقطة الغليان
قابلية الذوبان في الماء 1.7 g/L (0 °C)
2.7 g/L (18 °C)
3.44 g/L (25 °C)
5.51 g/L (40 °C)
21.45 g/L (75 °C)
56.31 g/L (100 °C)[2][3]
قابلية الذوبان soluble in acetone, benzene, CCl4, CHCl3, alcohol, ethyl ether, hexane, phenyls, liquid ammonia, acetates
قابلية الذوبان في methanol 30 g/100 g (-18 °C)
32.1 g/100 g (-13 °C)
71.5 g/100 g (23 °C)[2]
قابلية الذوبان في ethanol 25.4 g/100 g (-18 °C)
47.1 g/100 g (15 °C)
52.4 g/100 g (19.2 °C)
55.9 g/100 g (23 °C)[2]
قابلية الذوبان في acetone 54.2 g/100 g (20 °C)[2]
قابلية الذوبان في olive oil 4.22 g/100 g (25 °C)[2]
قابلية الذوبان في 1,4-Dioxane 55.3 g/100 g (25 °C)[2]
log P 1.87
ضغط البخار 0.16 Pa (25 °C)
0.19 kPa (100 °C)
22.6 kPa (200 °C)[4]
الحموضة (pKa)
القابلية المغناطيسية -70.28·10−6 cm3/mol
معامل الانكسار (nD) 1.5397 (20 °C)
1.504 (132 °C)[2]
اللزوجة 1.26 mPa (130 °C)
البنية
البنية البلورية Monoclinic
الشكل الجزيئي planar
Dipole moment 1.72 D in dioxane
الكيمياء الحرارية
الإنتالپية المعيارية
للتشكل
ΔfHo298
-385.2 kJ/mol[2]
الانتالبية المعيارية
للاحتراق
ΔcHo298
-3228 kJ/mol[4]
Standard molar
entropy
So298
167.6 J/mol·K[2]
سعة الحرارة النوعية، C 146.7 J/mol·K[4]
المخاطر
خطر رئيسي Irritant
صفحة بيانات السلامة JT Baker
ن.م.ع. مخطط تصويري الرمز التصويري في Globally Harmonized System of Classification and Labelling of Chemicals (GHS)The exclamation-mark pictogram in the Globally Harmonized System of Classification and Labelling of Chemicals (GHS)[7]
ن.م.ع. كلمة الاشارة Danger
H318, H335[7]
P261, P280, P305+P351+P338[7]
NFPA 704 (معيـَّن النار)
Flammability code 1: لابد أن يكون ساخناً مسبقاً قبل أن يحدث اشتعال. نقطة الوميض فوق 93 °س (200 °ف). مثل زيت الكانولاHealth code 2: التعرض الشديد أو المتواصل ولكن ليس بمزمن قد يتسبب في عجز مؤقت أو جرح بُحتمل بقاؤه. مثل الكلوروفورمReactivity code 0: مستقر في العادة، حتى تحت ظروف التعرض للنار، ولا يتفاعل مع الماء. مثل النيتروجين السائلSpecial hazards (white): no codeNFPA 704 four-colored diamond
1
2
0
نقطة الوميض 121.5 °C (250.7 °F; 394.6 K)[8]
571 °C (1،060 °F; 844 K)[8]
الجرعة أو التركيز القاتل (LD, LC):
1700 mg/kg (rat, oral)
مركبات ذا علاقة
carboxylic acids ذات العلاقة
Hydroxybenzoic acids
Aminobenzoic acids,
Nitrobenzoic acids,
Phenylacetic acid
مركـّبات ذات علاقة
Benzaldehyde,
Benzyl alcohol,
Benzoyl chloride,
Benzylamine,
Benzamide
ما لم يُذكر غير ذلك، البيانات المعطاة للمواد في حالاتهم العيارية (عند 25 °س [77 °ف]، 100 kPa).
YesY verify (what is YesYX mark.svgN ?)
مراجع الجدول

حمض البنزويك أو حمض الصمغ الجاوي مركب عضوي له الصيغة الكيميائية C7H6O2 أو C6H5COOH ، وهو أبسط الأحماض الكربوكسيلية العطرية. The name is derived from gum benzoin, which was for a long time its only source. Benzoic acid occurs naturally in many plants[9] and serves as an intermediate in the biosynthesis of many secondary metabolites. Salts of benzoic acid are used as food preservatives. Benzoic acid is an important precursor for the industrial synthesis of many other organic substances. The salts and esters of benzoic acid are known as benzoates []ˈbɛnz.t[].

التاريخ

اكتـُشف حمض البنزويك في القرن السادس عشر. التقطير الجاف للبنزوين الراتنجي وصفه لأول مرة نوستراداموس (1556)، ثم تبعه ألكسيوس پدمونتانوس (1560) وبليز ڤيجنير (1596).[10]

يوستوس فون لايبگ وفريدريش ڤولر حددا بنية حمض البنزويك في 1832.[11] كما بحثا في كيفية ارتباط حمض الهيپوريك بحمض البنزويك.

وفي 1875، اكتشف سالكوسكي القدرات المضادة للفطريات لحمض البنزويك، والتي اُستـُخدِمت لزمن طويل في حفظ فواكه التوت البري المحتوية على البنزوات.[12]

لقد عرف التأثير الحافظ لحمض البنزويك لأول مرة بواسطة العالم H. FLECK في عام 1875 الذي حاول إيجاد بديل لحمض الساليسيليك , وهذا العالم هو الذي ربط بين فاعلية كل من الحامضين وفاعلية الفينولات ولم يكن إنتاج حمض البنزويك بكميات كبيرة متاحاً بشكل صناعي , لذا فإن استخدامه في حفظ الأغذية بدأ فقط مع بداية القرن الماضي حيث أصبح من أكثر المواد الحافظة استخداماً على مستوى العالم بأسره .

يستخدم حمض البنزويك في صورته الطبيعية ومن المعروف أن هذا الحمض يوجد بشكل طبيعي في بعض الأغذية كالتوت البري , كما يمكن استخدامه على صورة أملاح الصوديوم أو البوتاسيوم أو الكالسيوم , أما البنزوات على هيئة بارا هيدروكسي بنزوات الصوديوم فهي أكثر فعالية من أملاحه سابقة الذكر , كذلك تعد أسترات البارا هيدروكسي بنزوات ( ميتيل – بروبيل – بيتيل ) أكثر تأثيراً من الباراهيدروكسي بنزوات .

التعريف

حمض البنزويك حمض عضوي متبلور. لا يذوب في الماء،ويذوب في الكحول والكلوروفورم والأثير والدهون والزيوت. يوجد في حمض السنامكي، في بنزوين المطاط.ويركب من هيدروكربون قطران الفحم الحجري ؛ التولين.

الاستخدامات

يستخدم كحافظ ومطهر في علاج الدودة السعفة وفي علاج التهاب القصبات المقشع.[13].

ويستخدم حمض البنزويك وأملاحه بشكل واسع في حفظ الأغذية الحامضية وذلك كون البنزوات تمارس فعاليتها ضد الأحياء الدقيقة بشكل أكبر على درجة حموضة مرتفعة في حين تنخفض هذه الفعالية بانخفاض الحموضة واقترابها من الاعتدال. وفي المقابل يمكن استخدام حمض البنزويك في حفظ المرجرين على الرغم من عدم كونه المادة الحافظة المثلى لأن درجة الحموضة للمارجرين تقع في آخر المجال الذي يعطي فيه حمض البنزويك أعلى فاعليته، حيث يتراوح التركيز المستخدم بين 0.08-0.15% ويوضع حمض البنزويك في الوسط الدهني أو بنزوات الصوديوم في الوسط المائي.

كما يستخدم حمض البنزويك في حفظ المايونيز وذلك على هيئة خليط من بنزوات الصوديوم وسوربات البوتاسيوم الأمر الذي يؤدي إلى إعطاء قدرة أعلى ضد البكتريا المنتجة للحموضة , ويستخدم حمض البنزوات بتراكيز 0.8-1.2% في حفظ صفار البيض السائل المملح وغير المملح , كما يستعمل حمض البنزوات في حفظ بيوض الأسماك وفي حفظ عصير الفاكهة والشرابات ورب البندورة والمخللات وذلك بنسبة أقل من 0.1% .

أما بالنسبة لإسترات حمض باراهيدروكسي بنزويك وبخاصة إسترات الميثيل والبروبيل ومشتقاتها الصودية فإن لها فائدة مضاعفة نظراً لانحلاليتها الجيدة وحساسيتها الضعيفة لدرجة الحموضة مما يسمح باستعمالها في أوساط قريبة من الاعتدال، حيث تمتاز هذه المركبات بفعاليتها الكبيرة ضد الخمائر والفطريات وبدرجة أقل ضد البكتريا وبخاصة سالبة الجرام. لكن في المقابل تمتاز هذه المركبات بفاعليتها الكبيرة تجاه البكتريا موجبة الجرام مقارنة بحمض البنزويك وحمض السوربيك وذلك نتيجة لوجود مجموعة الهيدروكسيل الفينولية. [14].

التحضير

صناعياً يحضر حمض البنزويك من أكسدة التولوين بوجود حفاز من الكوبالت أو من نفثينات المنگنيز.

الكيمياء

تفاعلات حمض البنزويك يمكن أن تحدث إما عند حلقة عطرية أو عند مجموعة كربوكسيل:

يتراوح الوزن الجزيئي لحمض البنزوات 121.11 وهو عبارة عن بلورات إبرية أو ورقية بيضاء اللون لامعة , تنصهر على درجة حرارة 122مْ , وتتراوح درجة انحلاليته في الماء 0.34جرام ⁄ 100جرام ماء , بينما ينحل 1-2 جرام من حمض البنزويك في 100جرام زيت , وفي المقابل يتراوح الوزن الجزيئي لبنزوات الصوديوم 144.11 وتتراوح انحلاليتها 63جرام ⁄ 100جرام ماء .

تعتمد فاعلية حمض البنزويك ضد الأحياء الدقيقة على عدة تفاعلات مع التركيب الأنزيمي للخلية الميكروبية , حيث يعمل حمض البنزويك على تثبيط الأنزيمات لتي تتحكم في تمثيل حمض الخليك وفي إضافة حمض الفسفور عن طريق الأكسدة , كما يقوم حمض البنزويك بالتدخل في دورة حمض الستريك وذلك في أماكن متعددة وخصوصاً في أنزيمات الهيدروجينيز مثل α-Ketoglutaric and succinic acid dehydrogenases , كما أن حمض البنزويك يمنع تكاثر الخلية الخضرية قبل عملية التبوغ.


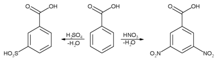
حلقة عطرية

تفاعلات الحلقة العطرية لحمض البنزويك تفاعلات مجموعة حمض البنزويك

المصادر

  1. ^ Nomenclature of Organic Chemistry : IUPAC Recommendations and Preferred Names 2013 (Blue Book). Cambridge: The Royal Society of Chemistry. 2014. p. 745. doi:10.1039/9781849733069-00648. ISBN 978-0-85404-182-4.
  2. ^ أ ب ت ث ج ح خ د ذ ر "benzoic acid". chemister.ru. Retrieved 24 October 2018.
  3. ^ Seidell, Atherton; Linke, William F. (1952). Solubilities of Inorganic and Organic Compounds. Van Nostrand. Retrieved 2014-05-29.
  4. ^ أ ب ت قالب:Nist
  5. ^ Harris, Daniel (2010). Quantitative Chemical Analysis (8 ed.). New York: W. H. Freeman and Company. pp. AP12. ISBN 9781429254366.
  6. ^ Olmstead, William N.; Bordwell, Frederick G. (1980). "Ion-pair association constants in dimethyl sulfoxide". The Journal of Organic Chemistry. 45 (16): 3299–3305. doi:10.1021/jo01304a033.
  7. ^ أ ب ت Sigma-Aldrich Co., Benzoic acid. Retrieved on 2014-05-23.
  8. ^ أ ب خطأ استشهاد: وسم <ref> غير صحيح؛ لا نص تم توفيره للمراجع المسماة GESTIS
  9. ^ "Scientists uncover last steps for benzoic acid creation in plants". Purdue Agriculture News.
  10. ^ Neumüller O-A (1988). Römpps Chemie-Lexikon (6 ed.). Stuttgart: Frankh'sche Verlagshandlung. ISBN 3-440-04516-1. OCLC 50969944.
  11. ^ لايبگ ي.، Wöhler F (1832). "Untersuchungen über das Radikal der Benzoesäure". Annalen der Chemie. 3: 249–282. doi:10.1002/jlac.18320030302.
  12. ^ Salkowski E (1875). Berl Klin Wochenschr. 12: 297–298. {{cite journal}}: Missing or empty |title= (help)
  13. ^ "حمض البنزويك". القاموس الطبي العربي.
  14. ^ "حمض البنزويك". منتدى زراعة نت. 2008.

قراءات اضافية

  • Cosmetic Ingredient Review Expert Panel Bindu Nair (2001). "Final Report on the Safety Assessment of Benzyl Alcohol, Benzoic Acid, and Sodium Benzoate". Int J Tox. 20 (Suppl. 3): 23–50. doi:10.1080/10915810152630729.

وصلات خارجية

قالب:Anti-arthropod medications