كڤلار
![]() | |
![]() | |
المُعرِّفات | |
---|---|
رقم CAS | |
الخصائص | |
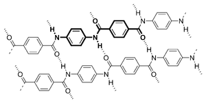
الصيغة الجزيئية | [-CO-C6H4-CO-NH-C6H4-NH-]n |
ما لم يُذكر غير ذلك، البيانات المعطاة للمواد في حالاتهم العيارية (عند 25 °س [77 °ف]، 100 kPa). | |
مراجع الجدول | |
ألياف كڤلار إنگليزية: Kevlar : هي علامة تجارية لألياف اصطناعية من البارا أراميد، قوية وخفيفة، وتشبه ألياف الأراميد الأخرى مثل نومكس وتكنورا.
طورت شركة دو پونت في عام 1965 ألياف كيفلر، واستخدم تجارياً لأول مرة في بدايات 1970 كبديل للفولاذ في دواليب سيارات السباق. استخدامه النموذجي يتم بغزله إلى حبال أو نسجه إلى أقمشة، ثم استخدامه كمكون أساسي في المواد المركبة. يوجد الآن عدة تطبيقات لألياف كيفلر، من دواليب الدراجات الهوائية، وزوارق السباق الشراعية، وتقوية هياكل الأجسام، وذلك لخصائصه المميزة مقارنة بوزنه، حيث يعتبر أقوى بخمسة أضعاف من الفولاذ بنفس الوزن.
يوجد نوع آخر من الألياف يسمى تويرون بنفس البنية الكيمائية تقريباً، يصنع الآن من قبل شركة تايجين (Teijin).
تاريخه
خصائصه
عندما تغزل ألياف كيفلر تنتج ألياف ذات مقاومة شد كبيرة (3000 ميجاباسكال)، ذات كثافة نسبية (1.44)، وعند استخدامه كمواد منسوجة، فإنه مناسب لحبال إرساء السفن، وتطبيقات أخرى تحت الماء.
يوجد ثلاثة أنواع من ألياف كيفلر: كيفلر، كيفلر-29، كيفلر-49. تستخدم ألياف كيفلر بشكل أساسي لتدعيم الدواليب. تستخدم ألياف كيفلر-29 في صناعة الكابلات، وكبديل للأسبستوس، وبطانة المكابح، وتصنيع السترات الواقية. تتميز ألياف كيفلر-49 بأكبر مقاومة شد بين أنواع ألياف الأراميد، وتستخدم كمواد بلاستيكية داعمة لهياكل القوارب والطائرات والدرّاجات. إن الأشعة فوق البنفسجية لضوء الشمس تحلل وتفكك ألياف كيفلر، بما يعرف بالانحطاط بالأشعة فوق البنفسجية. ولذلك لا تستخدم ألياف كيفلر في الاستخدامات الخارجية بدون حماية من ضوء الشمس.
إنتاجه
خصائصه الكيميائية
تتألف ألياف الكيفلر من سلاسل جزيئية طويلة مصنّعة من PPTA (poly-paraphenylene terephthalamide). تكمن قوة ألياف كيفلر في الروابط الكيميائية المتعددة بين السلاسل الجزيئية. كما يأتي جزء من قوة ألياف كيفلر العالية من الروابط الهيدروجينية لسلاسل البوليمير المتجاورة المتشكلة بين زمرة زمر الكاربونيل والبروتونات من سلاسل البوليمير المجاورة وروابط تكدس الحلقات العطرية للبنزينوئيد بين الفروع المتراصة. إن لهذه الروابط تأثير أكبر على ألياف كيفلر من قوى فان دير فالس وطول السلسلة الذي يؤثر على خصائص بوليميرات وألياف تركيبية أخرى مثل داينيما. إن وجود بعض الأملاح والشوائب، وخصوصاً الكالسيوم أثناء التصنيع، يمكن أن يؤدي لدخولها في الروابط بين السلاسل الجزيئية، لذلك تؤخذ الحيطة أثناء إنتاجه. تتألف بنية كيفلر من جزيئات صلبة نسبياً تميل لتشكيل بنى مسطحة صفائحية تشبه البروتين في الحرير.
الخصائص الحرارية
إن المقاومة الحرارية للكيفلر عالية مقارنة بالبوليمرات الأخرى، كما أنه يحافظ على قوة الشد ورجوعيته في درجات حرارة منخفضة تصل إلى -196°م. ومن الملاحظ أن قوة الشد له تزداد بشكل طفيف في درجات الحرارة المنخفضة. عند ارتفاع درجة الحرارة عن حد معين، تبدأ مقاومة الشد في الانخفاض بما يصل إلى 10-20%، وتزداد هذه النسبة عند التعريض للحرارة العالية لعدة ساعات. على سبيل المثال فإن الكيفلر يفقد 10% من قوة الشد عند تعريضه لدرجة حرارة 160°م لمدة 500 ساعة، أما عند تعريضه لـ260°م فإنه يفقد 50% من مقاومة الشد بعد 70 ساعة فقط.
يتسامى الكفلار عند درجة 450°م.
تطبيقاته
المواد المركبة
اقرأ أيضا
- أراميد
- صدرة ضد الرصاص
- دو بونت (الشركة التي اخترعت وصنّعت ألياف كيفلر)
- Interceptor body armor
- نومكس
- حرير العنكبوت
- توارون
- البولي إثيلين فائق الوزن الجزيئي المرتفع
- انحلال بالأشعة فوق البنفسجية
- Soap Shoes
- Fire dancing
- ستفاني كوولك (مخترعة كڤلار)
وصلات خارجية
- الموقع الرسمي لكفلر
- ألياف الأراميد
- Kevlar - Design Dictionary. Illustrated article about Kevlar
- Matweb material properties of Kevlar
- براءة اختراع
- Kevlar
- تركيب كيفلر
- Aberfeldy Footbridge over the River Tay
ثبت المراجع
- Kadolph, Sara J. Anna L. Langford. Textiles, Ninth Edition. Pearson Education, Inc 2002. Upper Saddle River, NJ
- D. Tanner, J. A. Fitzgerald, B. R. Phillips (1989). "The Kevlar Story - an Advanced Materials Case Study". Angewandte Chemie International Edition in English. 28 (5): 649–654. doi:10.1002/anie.198906491.
{{cite journal}}
: CS1 maint: multiple names: authors list (link) - E. E. Magat (1980). "Fibers from Extended Chain Aromatic Polyamides, New Fibers and Their Composites". Philosophical Transactions of the Royal Society of London Series A. 294 (1411): 463–472.
- Ronald V. Joven. Manufacturing Kevlar panels by thermo-curing process. Los Andes University, 2007. Bogotá, Colombia.