فيتامين ب3

(تم التحويل من نياسين)
فيتامين ب3
Niacin structure.svg
Niacin3D.png
الأسماء
اسم أيوپاك
nicotinic acid
أسماء أخرى
pyridine-3-carboxylic acid, nicotinic acid, nicotinamide, niacinamide, vitamin B3
المُعرِّفات
رقم CAS
3D model (JSmol)
ChemSpider
ECHA InfoCard 100.000.401 Edit this at Wikidata
عناوين مواضيع طبية MeSH {{{value}}}
الخصائص
الصيغة الجزيئية C6H5NO2
كتلة مولية 123.11 g/mol
نقطة الانصهار
نقطة الغليان
ما لم يُذكر غير ذلك، البيانات المعطاة للمواد في حالاتهم العيارية (عند 25 °س [77 °ف]، 100 kPa).
YesY verify (what is YesYX mark.svgN ?)
مراجع الجدول

نياسين Niacin ، ويـُعرف كذلك بإسم فيتامين ب<sub>3 أي vitamin B3 أو حمض النيكوتينيك nicotinic acid. ويمكن الحصول على فيتامين بي3 في الأغذية التالية: الخضراوات الورقية والطماطم والجزر والبلح واللحوم الحمراء واللبن والبيض والأسماك والدواجن.

تاريخ

النياسين وصفه لأول مرة هوگو ڤايدل في عام 1873 في دراسته حول النيكوتين.[1]

ويـُطلق على النياسين اسم ڤيتامين ب3 Vitamin B3 لأنه كان ثالث فيتامينات ب في ترتيب الاكتشاف. وتاريخياً يشار إليه باسم "ڤيتامين پ vitamin PP."

الاحتياجات الغذائية


أهميته الحيوية

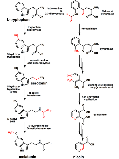
الصورة النشطة من النياسين هي الأدينين ثنائي النيوكليوتيد (NAD+) والأدينين ثنائي النيوكليوتيد فوسفات (NADP+) الموجودان في السيتوسول cytosol في معظم الخلايا (وهو الجزء من السيتوبلازم الخالي من العضيات) ويلعبان دور مهم كعوامل مساعدة للعديد من الإنزيمات النازعة للهيدروجين في السيتوسول والميتوكوندريا. وهذه الإنزيمات مثل لاكتات ديهيدروجينيز lactate dehydrogenase ومالات ديهيدروجينيز malate dehydrogenase أساسية في أيض اللبيدات والكربوهيدرات والأحماض الأمينية. يمكن تصنيع الناياسين من الحمض الأميني الأساسي تربتوفان بنسبة 1 ملليجرام ناياسين لكل 60 ملليجرام تربتوفان بالعديد من التفاعلات التي يبدأها إنزيم ترپتوفان پيروليز tryptophan pyrrolase وهو إنزيم هيموبروتيني. يستخدم الناياسين علاجياً لخفض مستوى الكوليسترول في البلازما عن طريق تثبيط تدفق الأحماض الدهنية الحرة من الأنسجة الدهنية.

السمية

الأشخاص المتعاطون لجرعات دوائية من النياسين (1.5 - 6 ج في اليوم) غالباً ما يعانون من متلازمة من الأعراض الجانبية التي قد تتضمن واحد أو أكثر من مما يلي:[2]

الثج (احمرار الوجه) هو أكثر الأعراض الجانبية شيوعاً.[3]

الجرعات الأكثر من 2 ج في اليوم تم ربطها تسمم الكبد hepatotoxicity, وخصوصاً مع الصيغ بطيئة الإطلاق slow-release. [4]

الجرعات العالية من النياسين قد ترفع أيضاً سكر الدم, مما يضاعف مرض السكري.[5] فرط حمض يوريك الدم Hyperuricemia هو عرض جانبي آخر لتعاطي جرعات عالية من النياسين; لذلك فالنياسين قد يفاقم من النقرس gout[بحاجة لمصدر].

النياسين بجرعاته المستخدمة في خفض الكولسترول قد ثبت ارتباطه بعيوب خلقية لدى الولادة في حيوانات المعامل ولا يجب تعاطيه للنساء الحوامل.[6]

التخليق الحيوي

Biosynthesis: Tryptophankynurenine → niacin


Biosynthesis


الأعراض الجانبية

نقص الناياسين يحدث عادةً عند تناول أغذية فقيرة في كلاً من الناياسين والتربتوفان وذلك في أغذية مثل خيز الذرة ولذلك كان منتشر في دلتا النيل في مصر وفي الأماكن التي يتم فيها تناول الأذية سابقة الذكر. وهذا النقص يؤدي إلى مرض البلاجرا.

تناول كميات كبيرة من فيتامين بي3 يؤدي إلى توسيع الأوعية الدموية واحمرار الجلد والصداع وازدياد تدفق الدم داخل المخ والإسهال والقئ وعلى المدى الطويل تحدث الصفراء وأضرار بالكبد.

الأغذية المتواجدة فيها

منتجات حيوانية: فواكه وخضروات: بذور: فطريات:

المراجع

Harper’s Biochemistry

http://www.emedicine.com

http://www.en.wikipedia.org

  1. ^ Weidel, H (1873). "Zur Kenntniss des Nicotins". Justus Liebig's Annalen der Chemie und Pharmacie. 165: 330–349. doi:10.1002/jlac.18731650212.
  2. ^ J.G. Hardman et al., eds., Goodman and Gilman's Pharmacological Basis of Therapeutics, 10th ed., p.991.
  3. ^ NIH Medline Plus: Niacin. http://www.nlm.nih.gov/medlineplus/ency/article/002409.htm.
  4. ^ J.G. Hardman et al., eds., Goodman and Gilman's Pharmacological Basis of Therapeutics, 10th ed., p.992.
  5. ^ J.G. Hardman et al., eds., Goodman and Gilman's Pharmacological Basis of Therapeutics, 10th ed., p.991.
  6. ^ J.G. Hardman et al., eds., Goodman and Gilman's Pharmacological Basis of Therapeutics, 10th ed., p.992.

وصلات خارجية

الكلمات الدالة: