β-Alanine
الأسماء
اسم أيوپاك
3-Aminopropanoic acid
أسماء أخرى
β-Alanine 3-Aminopropionic acid
المُعرِّفات
رقم CAS
ChEBI
ChEMBL
ChemSpider
DrugBank
ECHA InfoCard
100.003.215
رقم EC
KEGG
UNII
InChI=1S/C3H7NO2/c4-2-1-3(5)6/h1-2,4H2,(H,5,6)
Y Key: UCMIRNVEIXFBKS-UHFFFAOYSA-N
Y InChI=1/C3H7NO2/c4-2-1-3(5)6/h1-2,4H2,(H,5,6)
Key: UCMIRNVEIXFBKS-UHFFFAOYAL
الخصائص
الصيغة الجزيئية
C3 H7 NO2
كتلة مولية
89.08 g mol-1
المظهر
بلورات هرمية ثنائية بيضاء
الرائحة
عديم الرائحة
الكثافة
1.437 g/cm3 (19 °C)
نقطة الانصهار
قابلية الذوبان في الماء
54.5 گ/100 مل
قابلية الذوبان
يذوب فيالميثانول . لا يذوب في ثنائي إيثيل الإيثر ، الأسيتون
log P
-3.05
الحموضة (pK a )
3.63
المخاطر
خطر رئيسي
Irritant
صفحة بيانات السلامة
[1]
NFPA 704 (معيـَّن النار)
الجرعة أو التركيز القاتل (LD , LC ):
1000 mg/kg (rat, oral)
ما لم يُذكر غير ذلك، البيانات المعطاة للمواد في
حالاتهم العيارية (عند 25 °س [77 °ف]، 100 kPa).
Y verify (what is Y N ?)
مراجع الجدول
Chemical compound
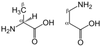
البيتا ألانين β-Alanine (أو beta-Alanine)، هو حمض أميني بيتا ، والذي يعتبر حمض أميني تكون فيه مجموعة الأمين على موقع-بيتا من مجموعة الكربوكسيلات (على سبيل المثال، ذرتان بعيدتان، انظر الشكل 1). اسم اليوپاك للبيتا ألانين هو 3-aminopropanoic acid . على عكس نظيره ألفا ألانين ، ليس للبيتا ألانين مركز فراغي . للبيتا ألانين دور في تكوين ثنائي الببتيد المسمى كارنوسين بالاشتراك مع الهستيدين وكذلك له دور في تكوين حمض البانتوثينك (فيتامين ب5 ) وبذلك فهو يساهم في تكوين البروتين وبالتالي في الأنشطة الحيوية بشكل غير مباشر لأن الكارنوسين الذي يسهم هذا الحمض في إنتاجه يوجد بتراكيز عالية في أنسجة الدماغ والعضلات وبهذا فإن وجود حمض البيتا-ألانين مهم لجسم الإنسان.
التخليق الحيوي والصناعي
الوظيفية البيوكيميائية
شكل 1: مقارنة بيتا ألانين (يمين) مع الحمض الأميني (chiral) الاعتيادي L-α-آلانين (يسار)
تحسين الأداء الرياضي
الأيض
المصادر
وصلات خارجية
Receptor (ligands )
GlyR
Positive modulators: Alcohols (e.g., brometone , chlorobutanol (chloretone) , ethanol (alcohol) , tert -butanol (2M2P) , tribromoethanol , trichloroethanol , trifluoroethanol )
Alkylbenzene sulfonate
Anandamide
Barbiturates (e.g., pentobarbital , sodium thiopental )
Chlormethiazole
D12-116
Dihydropyridines (e.g., nicardipine )
Etomidate
Ginseng constituents (e.g., ginsenosides (e.g., ginsenoside-Rf ))
Glutamic acid (glutamate)
Ivermectin
Ketamine
Neuroactive steroids (e.g., alfaxolone , pregnenolone (eltanolone) , pregnenolone acetate , minaxolone , ORG-20599 )
Nitrous oxide
Penicillin G
Propofol
Tamoxifen
Tetrahydrocannabinol
Triclofos
Tropeines (e.g., atropine , bemesetron , cocaine , LY-278584 , tropisetron , zatosetron )
Volatiles /gases (e.g., chloral hydrate , chloroform , desflurane , diethyl ether (ether) , enflurane , halothane , isoflurane , methoxyflurane , sevoflurane , toluene , trichloroethane (methyl chloroform) , trichloroethylene )
Xenon
Zinc
Antagonists: 2-Aminostrychnine
2-Nitrostrychnine
4-Phenyl-4-formyl-N-methylpiperidine
αEMBTL
Bicuculline
Brucine
Cacotheline
Caffeine
Colchicine
Colubrine
Cyanotriphenylborate
Dendrobine
Diaboline
Endocannabinoids (e.g., 2-AG , anandamide (AEA) )
Gaboxadol (THIP)
Gelsemine
iso-THAZ
Isobutyric acid
Isonipecotic acid
Isostrychnine
Laudanosine
N-Methylbicuculline
N-Methylstrychnine
N,N-Dimethylmuscimol
Nipecotic acid
Pitrazepin
Pseudostrychnine
Quinolines (e.g., 4-hydroxyquinoline , 4-hydroxyquinoline-3-carboxylic acid , 5,7-CIQA , 7-CIQ , 7-TFQ , 7-TFQA )
RU-5135
Sinomenine
Strychnine
Thiocolchicoside
Tutin
Negative modulators: Amiloride
Benzodiazepines (e.g., bromazepam , clonazepam , diazepam , flunitrazepam , flurazepam )
Corymine
Cyanotriphenylborate
Daidzein
Dihydropyridines (e.g., nicardipine , nifedipine , nitrendipine )
Furosemide
Genistein
Ginkgo constituents (e.g., bilobalide , ginkgolides (e.g., ginkgolide A , ginkgolide B , ginkgolide C , ginkgolide J , ginkgolide M ))
Imipramine
NBQX
Neuroactive steroids (e.g., 3α-androsterone sulfate , 3β-androsterone sulfate , deoxycorticosterone , DHEA sulfate , pregnenolone sulfate , progesterone )
Opioids (e.g., codeine , dextromethorphan , dextrorphan , levomethadone , levorphanol , morphine , oripavine , pethidine , thebaine )
Picrotoxin (i.e., picrotin and picrotoxinin )
PMBA
Riluzole
Tropeines (e.g., bemesetron , LY-278584 , tropisetron , zatosetron )
Verapamil
Zinc
NMDAR
Transporter (blockers )